静安玺樾首页官方网站-静安玺樾售楼处电话-静安玺樾楼盘详情-交房时间-地址-最新房价户型图-小区环境-楼盘详情-交房时间-周边配套-售楼处电话

搜狐焦点孝感站 2025-12-30 22:19:00
用手机看
扫描到手机,新闻随时看

扫一扫,用手机看文章
更加方便分享给朋友

静安玺樾售楼处:400-8787-740

✨ 静安玺樾✨✽✽✽✽

💎 静安玺樾售楼处电话☎:400-8787-740【售楼处认证】⭐⭐⭐⭐

⭐在售户型图⭐项目介绍⭐最新房源⭐周边配套详细解

⭐*开发商营销中心诚挚邀请,一键预约,尊享内部折扣!匠心独运的精品项目,恭候您的品鉴与选择!

✅为给您更好的看房体验请提前来电预约(给您预留现场销售和停车位)

✅注意:本项目不收任何费用,售楼中心〢欢迎来电咨询〢

「静安玺樾」

静安内环内高得房率

建面约97-165㎡2-4房

紧邻1/3/4/8号线地铁四轨交通

均价约12.4W准现房发售

静安玺樾售楼处:400-8787-740

��静安玺樾售楼处:400-8787-740

静安玺樾售楼处:400-8787-740

地库实拍

��静安玺樾售楼处:400-8787-740

��静安玺樾售楼处:400-8787-740

��静安玺樾售楼处:400-8787-740

��静安玺樾售楼处:400-8787-740

��静安玺樾售楼处:400-8787-740

作为静安内环为数不多的新盘之一,已经现房状态,实景样板房开放

项目立面/地库/园林/样板间公开!

��静安玺樾售楼处:400-8787-740

众所周知,示范区是整个项目未来品质的超前剧透,它究竟为你带来了怎样的惊喜呢?

它没有去考验业主的想象力,而是把生活场景、规划的蓝图提前搬到了面前,不惜成本给业主优先带来了一波产体验。

��静安玺樾售楼处:400-8787-740

据悉这一次开放,整个项目的立面、地库、园林、样板间将全部亮相此次示范区。这意味着窥其一二,全貌都可“一览无余”。

从入口的奢石,到里面的水景、雕塑、水池池底的海派拼花铺装,再到廊下水轴,未来都将在社区中找到类似的身影,把“翡光礼境”概念具象化,切实感受到开发商打造社区的匠心品质!

��静安玺樾售楼处:400-8787-740

��静安玺樾售楼处:400-8787-740

��静安玺樾售楼处:400-8787-740

静安玺樾售楼处:400-8787-740

美学示范区实景,实际以交付为准

与常规社区的三重归家礼序不同的是,「静安玺樾」创造出升级版“四轴”归家体系:气派入口门楼,精致艺术的归家廊厅,全区花园式入户以及仪式水系轴线空间。让你从社区大门开始就能感受到身为业主的尊崇感~

��静安玺樾售楼处:400-8787-740

��静安玺樾售楼处:400-8787-740

美学展示区,非交付标准

1市区内环内永不落幕

回顾近两年年度热词,大多数人都学会了“悦己”。

悦己型消费渐成“刚需”,人们越来越注重生活品质的升级和享受自我,悦己型人群也逐渐扩大。

��静安玺樾售楼处:400-8787-740

而人类最基本的生活资料就是房子,所以,想要生活悦己最基础的就是买到舒服的房子,体验生活的魅力,城市的魅力!

有人说:“城市的魅力只有在城市中心才能感同身受,”也有人说:“在上海,不住在市区,生活将毫无意义。”

��静安玺樾售楼处:400-8787-740

市区,永远难以替代!

便捷的生活、繁华的商业氛围、商业中心和金融中心的集聚地,无限机遇在这里无限放大;

几乎第一时间享受到完善的公共设施,文化艺术的盛宴在这里尽情绽放,情绪价值永远丰满。

静安玺樾售楼处:400-8787-740

上海,图源网络

当所谓的"鄙视链"和内环内新房供应紧缺的情况碰到了一起,静安玺樾的出现显得尤为珍贵!

项目位于内环内静安中兴城社区,是城市更新区域中备受瞩目的整体开发片区。商业体量巨大、多家跨国企业总部汇聚于此,生活在本片区就是真正的上海芯生活,与国际接轨。

日常生活中,项目周边拥有众多的沿街商铺、菜场,便捷度十足。

��静安玺樾售楼处:400-8787-740

直线距离2KM范围内拥有静安大悦城、万象天地、百万中兴城等商业配套

直线距离4KM范围内商圈可通过多种交通方式直达:四轨一横,双高架四隧道,轻松直达4大黄金商圈——人民广场、南京西路、陆家嘴、静安寺商圈。

��静安玺樾售楼处:400-8787-740

四轨:8号线中兴路、1号线中山北路;3/4号线宝山路站;

一横:上海东西走向的第二条大动脉北横通道;

双高架:南北高架、内环高架;

四隧道:延安东路隧道、新建路隧道、人民路隧道、大连路隧道,直达陆家嘴。

��静安玺樾售楼处:400-8787-740

静安玺樾售楼处:400-8787-740

静安大悦城

为什么有人说:“城市的魅力只有在城市中心才能感同身受?”

因为城市中心不仅能满足日常生活所需,休闲娱乐,还能拥有更优质的教育资源,为家庭下一代保驾护航。

项目周边的教育资源十分丰富(学校对口情况须在本小区交付后以政府教育主管部门及校方的最新政策为准):

��静安玺樾售楼处:400-8787-740

幼儿园:育婴堂幼儿园、金鹭幼儿园、吉的堡永盛双语幼儿园;

小学:静安区永兴路第二小学、中山北路小学、静安区闸北第三中心小学、民办杨波外国语小学;

中学:市北初级中学(一梯队)、市北中学高中部、民办扬波中学、青云中学、静安区实验中学。

��静安玺樾售楼处:400-8787-740

2稀缺的十万方“纯净”住宅

去年整个四季度,静安仅出让2块土地(1批次中兴社区商住地块联动价12.1万/㎡;3批次中兴社区商住地块高层联动价12.5万/㎡),静安地块仅约占上海全年地块供应量的3%,整体供应量稀缺,入住静安越来越难!

静安玺樾售楼处:400-8787-740

数据来源于上海土地交易市场

数据来源于上海土地交易市场

静安地块供应量本就稀少,本项目还是今年截止目前唯一的供应,1/65(今年新房已公示3个批次,共65个项目),稀缺性直接拉满!

在这样的情况下,本项目还是100%的纯商品住宅社区。

��静安玺樾售楼处:400-8787-740

以静安区2023年集中出让地块为准,可以发现去年唯二出让的地块都是住宅+商业的综合产品项目。

综合产品最难的就是边界问题,如何让住宅区业主感受静谧,不受商业行为是最重要的。

��静安玺樾售楼处:400-8787-740

而本项目是纯商品住宅社区,在源头上杜绝了其他因素的干扰,舒适度极高。

如果说稀缺是它的优势,那么项目还有一个大招——性价比!

同板块最近一次土拍价格高层价格稳居12.5万/㎡,未入市新房拉个平均数的话会发现平均价格是12.7万/㎡,这只选取了部分数据,还没算上顶级豪宅。

��静安玺樾售楼处:400-8787-740

这样看来12.5万/㎡已经是当前板块的静态价格了,在新房价格逐渐看涨的情况下,本项目的性价比是非常高的。

静安玺樾售楼处:400-8787-740

项目价格来源于上海土地交易市场

在这样的市场条件下,项目带来的惊喜远不止稀缺这一点,景观、物业都可圈可点!

��静安玺樾售楼处:400-8787-740

项目本就是超低能耗住宅,比起传统住宅更加绿色宜居。

在此基础上,项目更充满了精致的味道,海派气息浓郁,处处体现对生活品质提升的追求。

园林规划“翡色五境”五大空间氛围,匠造融入时光、人文海派、自然与艺术、家庭与邻里的“四轴、三园、五区、一所”四大功能空间,设计“春赏花、夏赏绿、秋赏叶、冬赏姿”四季有景的长效花园,惬意的生活从园林开始。

��静安玺樾售楼处:400-8787-740

翡廊境:尊享连廊的归家体验;

翡林境:绿荫包裹的林下漫步;

翡溪境:舒适惬意的绿意溪径;

翡湾境:放空归静的心灵港湾;

翡屿境:欢乐温馨的家庭氛围。

静安玺樾售楼处:400-8787-740

项目效果示意图,仅供参考

四大轴线:三个入口轴线和中心水轴;

三大花园空间:中心港湾花园、水溪花园,西入口归家花园;

五大运动活力系统:热身区、定制主题儿童活动区、老年健身区、活力健身区和休憩缓冲区,并由约400M跑道串联;

泛会所:位于5#架空层。

��静安玺樾售楼处:400-8787-740

项目效果示意图,仅供参考

静安玺樾售楼处:400-8787-740

项目效果示意图,仅供参考

静安玺樾售楼处:400-8787-740

项目效果示意图,仅供参考

静安玺樾售楼处:400-8787-740

项目效果示意图,仅供参考

静安玺樾售楼处:400-8787-740

外立面风格与园林风格保持和谐统一,采用新海派风格,结合三段式经典格局(石材、真石漆、铝板),让整个建筑立面透出典雅精致的品质感。

静安玺樾售楼处:400-8787-740

项目效果图,仅供参考

静安玺樾售楼处:400-8787-740

项目效果图,仅供参考

物业采用的是万科物业,我们一直坚信好物业是能够影响业主对物业公区投入的态度的。

好物业为业主营造更舒适的生活环境,同样的业主也能爱护公区,这才是一个良性循环。

��静安玺樾售楼处:400-8787-740

3高品质准现房 即将交付

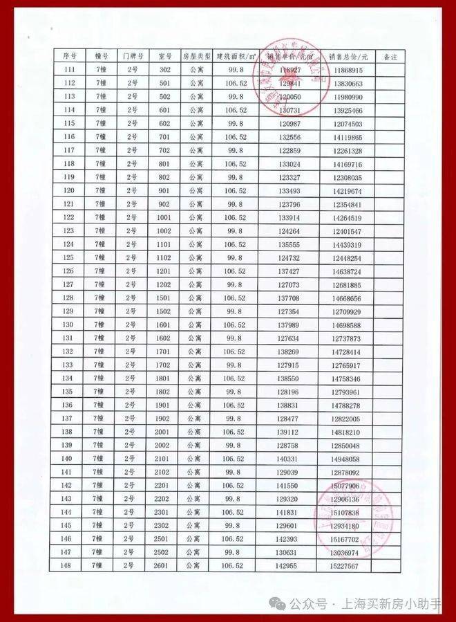
位于静安内环,「静安玺樾」准现房,即将交付!凭借着1站苏河湾+2站人民广场的超核心地理位置!建面94-165㎡在售中

��静安玺樾售楼处:400-8787-740

划重点:2号楼位置极佳,南侧有小区景观廊道,推窗即享绿意;同时,前面3号楼比较低,加推楼栋的中高区前方无遮挡,景观视野和采光条件极佳!7号楼更是拥有绝版景观资源,中高区视野无遮挡,可直接看陆家嘴三件套!

��静安玺樾售楼处:400-8787-740

静安玺樾售楼处:400-8787-740

7号楼内实地拍摄的窗景图

��静安玺樾售楼处:400-8787-740

产品端有三大独家竞争力:

第一,得房率达75-79%。

目前市面新房平均得房率在约74%,而项目得房率若按多出5%算,建面约100㎡就能多出5㎡使用面积,这都是实打实的真金白银。

大多数都是在追求百平小三房,户型也都差不多没什么新意,整体感觉就是小,喜欢睡大床的人都没办法选,甚至小房间有时候连一张床都放不下,更别谈收纳空间了。

所以,本项目推出的98㎡2房才令我惊喜,想要住的舒服,空间是最基础的,改善生活品质,从不盲目追求多居室开始。

��静安玺樾售楼处:400-8787-740

��静安玺樾售楼处:400-8787-740

项目还有104-122-134-165㎡等户型可选。

��静安玺樾售楼处:400-8787-740

��静安玺樾售楼处:400-8787-740

��静安玺樾售楼处:400-8787-740

��静安玺樾售楼处:400-8787-740

98平样板房如下

��静安玺樾售楼处:400-8787-740

静安玺樾售楼处:400-8787-740

客餐厅阳台一体化设计,进一步放大了社交空间的从容感。

��静安玺樾售楼处:400-8787-740

��静安玺樾售楼处:400-8787-740

项目的第二个惊喜就是装标!

室内精装体系堪称奢华,厨卫电器、橱柜、水槽、龙头等均采用国际一线大牌,国际口碑品牌中央空调、地暖与新风系统齐备。非凡城心视野,越级改善尺度,名品高定奢装,敬献海派菁英一代。

静安玺樾售楼处:400-8787-740

项目装标,实际以交付为准

第三个令人安心的惊喜是国企交付有保障!

本项目是由上海静安城市更新投资发展有限公司开发的,是上海北方集团(上海北方企业(集团)有限公司)全资子公司。整个静安区约90%的城市更新项目均有参与,包括苏河湾片区、中兴路板块的城市更新,同时,北方集团还是万科翡翠雅宾利四期的股东方,开发经验非常丰富。

��静安玺樾售楼处:400-8787-740

声明:本文由入驻焦点开放平台的作者撰写,除焦点官方账号外,观点仅代表作者本人,不代表焦点立场。