龙湖·御湖境售楼处-2025首页首发(龙湖·御湖境)龙湖·御湖境户型配套-最新楼盘测评
扫描到手机,新闻随时看
扫一扫,用手机看文章
更加方便分享给朋友
龙湖·御湖境售楼处电话:400-1010-064☎️☎️✅✅《已认证》龙湖·御湖境售楼处电话/地址:400-1010-064☎️☎️✅✅《已认证》奉贤新城 上海之鱼旁,建面约107-175㎡高层/洋房,均价4.55万/㎡ 总价430万起1500方海派会馆+低密滨湖墅境。龙湖·御湖境售楼处电话:400-1010-064☎️☎️✅✅《已认证》龙湖·御湖境售楼处电话/地址:400-1010-064☎️☎️✅✅《已认证》。
龙湖·御湖境售楼处电话:400-1010-064☎️☎️✅✅《已认证》龙湖·御湖境售楼处电话/地址:400-1010-064☎️☎️✅✅《已认证》
龙湖·御湖境售楼处电话:400-1010-064☎️☎️✅✅《已认证》龙湖·御湖境售楼处电话/地址:400-1010-064☎️☎️✅✅《已认证》
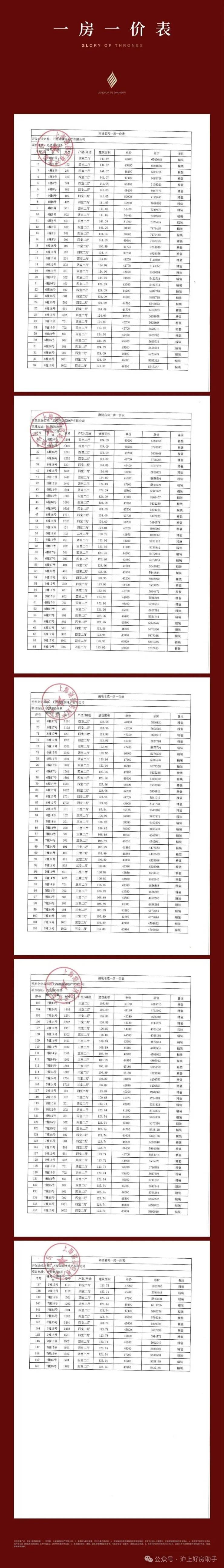
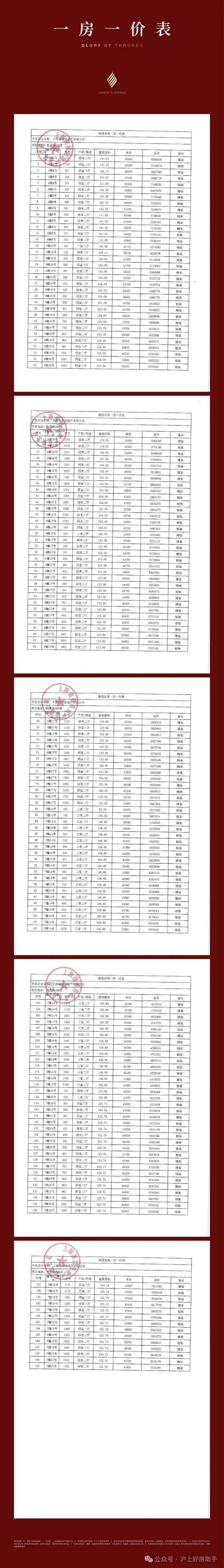
项目一房一价表:
龙湖·御湖境售楼处电话:400-1010-064☎️☎️✅✅《已认证》龙湖·御湖境售楼处电话/地址:400-1010-064☎️☎️✅✅《已认证》
近日,奉贤现象级红盘——龙湖·御湖境再次引发市场关注!
两开两捷,轰动奉贤楼市!首开十亿登顶奉贤,二开热销5亿续写热销传奇,造就 8月上海全市成交套数TOP3,8月外环外成交套数TOP1,荣居五大新城销量TOP1,持续霸榜奉贤成交套数面积金额三冠王,万众瞩目的沪上红盘!这印证了龙湖御湖境强大市场号召力及硬核产品力。

这般奇绩,源于龙湖超级的产品力+超前的兑现力,也是征服塔尖的本质与价值。
项目基本信息
项目名称:龙湖·御湖境
项目位置:奉贤新城
总套数:364户
产品:小高层&洋房
户型:建面约107㎡、123㎡、140㎡、175㎡
得房率:78%-82%
交付标准:精装&毛坯
均价:45200元/㎡
售价:430万起
梯户比:一梯两户
容积率:2.2
绿化率:35%
车位配比:1:1.3
开发公司:龙湖集团&建华地产
交付日期:2026年12月
01.产品规划
御湖境,地处奉贤芯绝版宅地,占据南奉公路+金海公路黄金十字中轴,距奉贤天街直线仅约 300 米,地铁 5 号线奉贤新城站、奉贤中学、奉贤中心医院等高能级配套如众星捧月环绕。该项目占地23460㎡,总建面51611.16㎡,容积率2.2,绿化率30%,规划330户品质住宅。

02.建筑设计
奉贤御湖境以“馆藏”为概念,重写顶级豪宅会所的表达规则。长约54米、高约8米的「殿堂级门扉」,两侧铺陈“奢石之王”蓝翡翠,磅礴气场扑面而来。举首仰望,约300㎡璀璨星空顶模拟出浩瀚银河的深邃意境。正面是由1286块浅米色瓷筒融合在地非遗“锔瓷”技艺打造的艺术瓷墙。

来到致敬金贝尔美术馆打造的「天穹光廊」,地面由蓝翡翠+汉白玉+温德姆灰3种奢石精细切割拼花而成,长廊尽头景墙精选龙纹绿奢石,中轴对称的庄严格局,仿佛漫步博物馆。

现代极简建筑,米白石材与深灰金属线条相得益彰,窗墙比0.45,部分楼栋更享270°全景视野,颜值与视野双重享受。
项目对标顶奢酒店礼序,项目前瞻性地打造「奉贤首座中央车站」,将社区地库与地下会所的接待序厅无缝衔接,车行道+人行道区隔设计,归家不受风雨影响,指尖轻抚源自非洲的卡里冰玉奢石,将每日必经之路升华为沉浸式美学体验。
深藏于建筑怀抱之中的下沉式「琉璃光院」,是历经数十版方案淬炼出的灵魂之作。御湖境标志性汉白玉玄月族徽,与高10米的蓝水晶奢石光幕,共同演绎“日月同辉”的震撼场景。庭院深处50年乌桕树王矗立。
一汪深邃的「宇宙之心」漩涡水景,灵感源自梵蒂冈博物馆举世闻名的双螺旋楼梯,模仿宇宙星系流转的宏大景象,纳藏天地万物生生不息的力量。

03.会所设计
御湖境斥巨资打造约1500㎡「海派泳池会馆」——泳池会所,涵盖健身、瑜伽、社交、阅读等八大功能空间,如同一座生活的博物馆,为奉贤顶层人物提供全方位奢享!
「奉贤首个无边际恒温泳池」是整个会所的灵魂所在。
泳池设计以“水韵织构”为核心理念,其视觉焦点在于穹顶,连续流畅的曲面拱顶如同被风吹皱的巨大水幕,又似凝固的海浪,与下方波光粼粼的泳池水面形成上下呼应的绝妙韵律,无边泳池又与琉璃光院在视觉上无缝衔接,在乌桕树的冠盖浓荫下恣意游弋,营造出泳池与天地共呼吸的震撼体验。
移步森氧无界全景健身房,顶级健身器械一应俱全。在负氧离子机创造的富氧森林般环境中挥汗如雨,欣赏着全落地窗外琉璃光院的如画景致,身心与视野同频升华,疲惫瞬间消解。
午后时分,邀二三挚友落座行政酒廊。暖阳斜照,在优雅的环境中洽谈要事,或细细品味一杯手冲瑰夏咖啡的精致花果香,或小酌珍藏年份的单一麦芽威士忌,琥珀色的酒液在杯中折射岁月的光芒。
项目推售详情
据悉,【龙湖·御湖境】规划2栋7层洋房、5栋14 - 17层小高层 ,共348户 ,居住密度低,舒适度直线拉满。现推出107-123-140-175四种户型,共150套房源,均价54200元/㎡,正在认购中,总价430万起!
龙湖御湖境,精装107㎡大三房,呈现跃级享受的奢华场景,打造PLUS超奢尺度,如约10.8米跃级南向采光,阔享市面120㎡户型的尺度感;约4.75m真横厅,从容聚会、开派对,大有排面,尽情摆阔。越是跃级,越是难求,精装107㎡大三房,只此最后一栋,限量34席!
约 123 ㎡全能四房 , 致献奉贤塔尖,以全能大四房的形态,重新定义实用主义天花板,约 45m ² LDKG 客餐厨全打通,约 6.4m 巨幕面宽,一键切换轰趴、闺蜜局、生日宴等模式。奢配博世厨电 4 件套,烟机、灶具、洗碗机、蒸烤一体机,百年德系经典,经久耐用,妥妥的满分爆款!
龙湖·御湖境售楼处电话:400-1010-064☎️☎️✅✅《已认证》龙湖·御湖境售楼处电话/地址:400-1010-064☎️☎️✅✅《已认证》
龙湖·御湖境售楼处电话:400-1010-064☎️☎️✅✅《已认证》龙湖·御湖境售楼处电话/地址:400-1010-064☎️☎️✅✅《已认证》
龙湖·御湖境售楼处电话:400-1010-064☎️☎️✅✅《已认证》龙湖·御湖境售楼处电话/地址:400-1010-064☎️☎️✅✅《已认证》
约 140 ㎡超配四房洋房,奢阔双厅南北通透,还可改造成约8m巨幕宽厅,
一线进口的博士厨电四件套,约 2 5 ㎡的臻奢套房主卧等高光标签,洋房更臻稀。
龙湖·御湖境售楼处电话:400-1010-064☎️☎️✅✅《已认证》龙湖·御湖境售楼处电话/地址:400-1010-064☎️☎️✅✅《已认证》
龙湖·御湖境售楼处电话:400-1010-064☎️☎️✅✅《已认证》龙湖·御湖境售楼处电话/地址:400-1010-064☎️☎️✅✅《已认证》
龙湖·御湖境售楼处电话:400-1010-064☎️☎️✅✅《已认证》龙湖·御湖境售楼处电话/地址:400-1010-064☎️☎️✅✅《已认证》
龙湖·御湖境售楼处电话:400-1010-064☎️☎️✅✅《已认证》龙湖·御湖境售楼处电话/地址:400-1010-064☎️☎️✅✅《已认证》
龙湖·御湖境售楼处电话:400-1010-064☎️☎️✅✅《已认证》龙湖·御湖境售楼处电话/地址:400-1010-064☎️☎️✅✅《已认证》
城芯 传世孤品175㎡ 大平层,整个奉贤新城 20-25 年供应 4 551 套新房, 1 50 ㎡以上仅 1 50 套,供应占比不足 3% 的,每一席皆稀贵。其一宅一格局,为奉贤大人物量身定制,可谓真正的传世孤品。
项目区位配套
交通方面:主出入口与轨交奉贤新城站1号口仅300米步行距离,真正实现“出家门即入站台”的地铁房标准。这里是上海首个三轨交汇的新城片区,分别是5号线、15号线延伸段、南枫线,未来30分钟可直达莘庄、前滩等城市副中心,45分钟贯通虹桥枢纽。
商业方面:项目东西两侧分别与龙湖天街、新世界休闲生活广场无缝衔接,形成“商业双核驱动”格局。其中龙湖天街作为区域旗舰商业体,已引入超200家品牌,从高端餐饮到亲子教育一应俱全。这种“下楼即繁华”的配置,即便放在中环内也属稀缺资源。
龙湖·御湖境售楼处电话:400-1010-064☎️☎️✅✅《已认证》龙湖·御湖境售楼处电话/地址:400-1010-064☎️☎️✅✅《已认证》
教育方面:背靠奉贤顶级学府奉贤中学,奉贤中学附属初中、奉贤中学附属小学、金海幼儿园,幼小初高教育资源环侧
医疗配套:奉贤中心医院、奉贤中医医院、上海交通大学医学院附属新华医院(即将开业)、国际妇幼和平保健院奉贤分院等

龙湖·御湖境售楼处电话:400-1010-064☎️☎️✅✅《已认证》龙湖·御湖境售楼处电话/地址:400-1010-064☎️☎️✅✅《已认证》
声明:本文由入驻焦点开放平台的作者撰写,除焦点官方账号外,观点仅代表作者本人,不代表焦点立场。
