建发海宸(售楼处)- 建发海宸销售中心(营销中心)- 建发海宸楼盘欢迎您-小区环境-户型-价格-地址-楼盘详情-周边配套-售楼处电话-交房时间
扫描到手机,新闻随时看
扫一扫,用手机看文章
更加方便分享给朋友
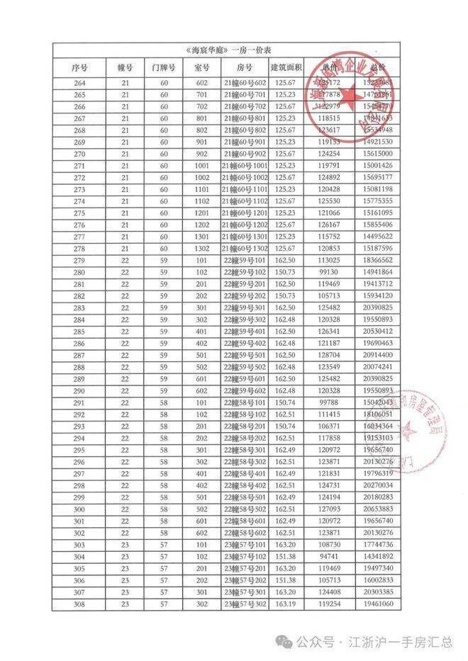
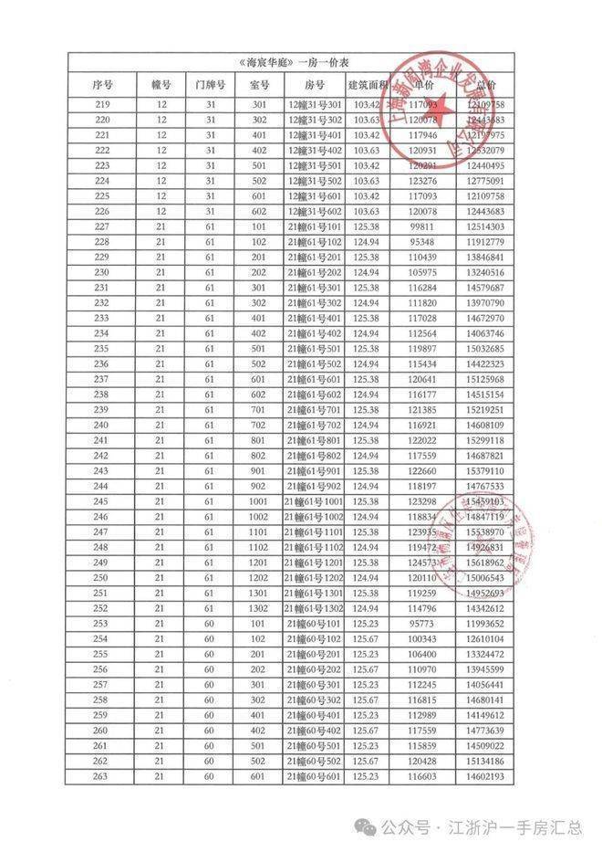
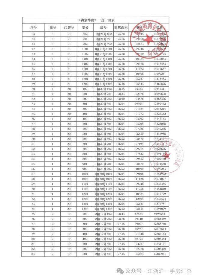
建发海宸售楼处电话☎:400-8787-740【预约☎】最新消息落址新江湾芯、一线水岸1.55超低容积率高定新江湾滨水低密社区建发海宸建面约105-250㎡瞰景奢宅样板开启接待 敬邀宸赏当代海派奢范本首批均价价约11.07万/㎡今天认筹,建发海售楼处电话☎:400-8787-740【预约☎】案场预约制看房,请提前来电预约登记

建发海宸售楼处电话☎:400-8787-740【预约☎】
发海宸售楼处电话☎:400-8787-740【预约☎】
发海宸售楼处电话☎:400-8787-740【预约☎】
发海宸售楼处电话☎:400-8787-740【预约☎】
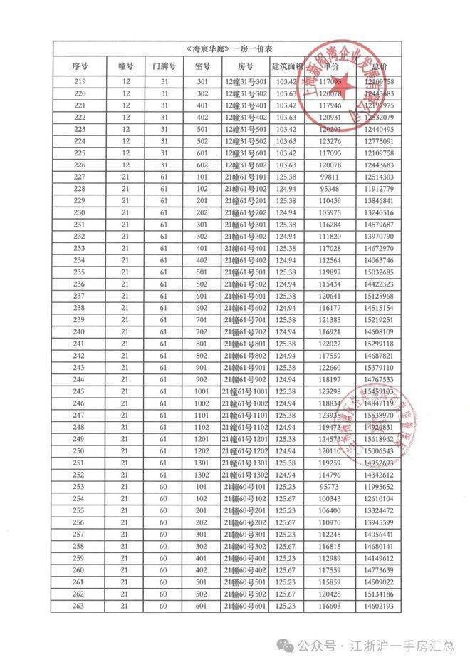
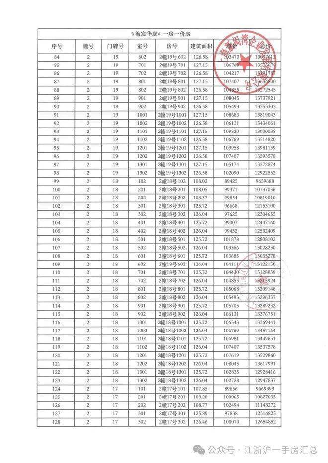
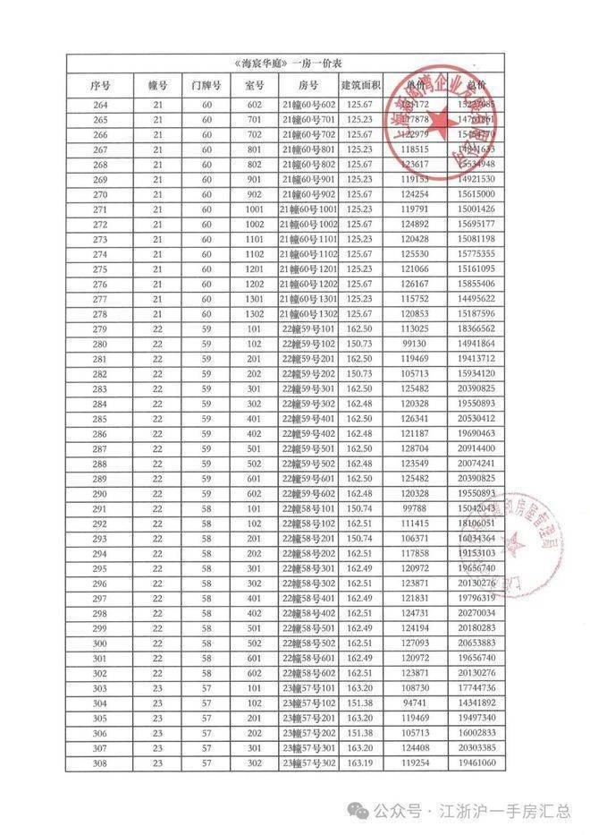
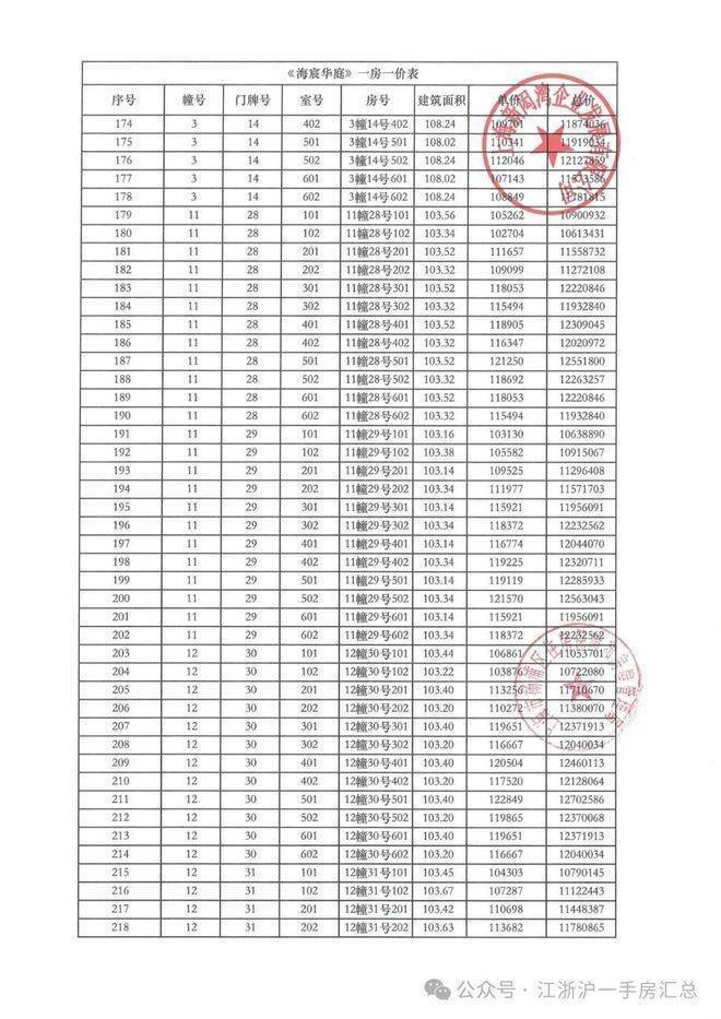
项目户型图如下:发海宸售楼处电话☎:400-8787-740【预约☎】
发海宸售楼处电话☎:400-8787-740【预约☎】
125㎡户型样板间图片和视频如下:发海宸售楼处电话☎:400-8787-740【预约☎】
作为上海主城罕见的成片开发的生态住区,发海宸售楼处电话☎:400-8787-740【预约☎】新江湾城自2019年后便再无宅地供应,这一别便是5年之久。
好在建发海宸即将面世,这片沉寂5年的新江湾城将再度成为上海楼市的焦点。
对于偏爱自然逸居的购房者而言,发海宸售楼处电话☎:400-8787-740【预约☎】这次补仓可谓重大利好,毕竟,在寸土寸金的上海,能同时坐拥“湿地公园+主城副中心+名校教育+低密规划”等全维高配的新江湾天生就是孤品。
01 土地断供:长达五年的稀缺性发酵
一直以来,新江湾城都是上海楼市里的“香饽饽”,在慢节奏土地供应之下,这枚自然生态绿宝石的每块新地更是备受市场关注与追捧。
【绝版基因】发海宸售楼处电话☎:400-8787-740【预约☎】
原生态湿地与蜿蜒水系奠定了新江湾的自然底色,约1.2万方湿地公园成为“上海绿肺”,塑造了低密住区的天然优势;
【断供时长】
自2019年9月土地转让之后,整整5年无新增宅地供应,新房置业需求压抑已久;
【房企共识】
新江湾街道挂牌以来,建发、九龙仓、仁恒、华润等头部房企纷纷落子,多元风格社区林立,形成了紧密相连的奢宅群落。
当城市核心区土地日益枯竭,建发房产选择第6次落子新江湾城,足以见证对这片热土的偏爱与认可。
02地块解密:新江湾芯的压轴低密大盘
天赋臻贵的宝地,恰如一枚嵌入新江湾城腹地的“生态芯片”,承载着第三代国际社区人居迭代的密码。
【空间坐标】发海宸售楼处电话☎:400-8787-740【预约☎】
全新地块位于新江湾正芯,西临江湾城路,南接殷高东路,北贴在建的交大附中杨浦实验学校(在建);
*教育配套信息仅供参考。学校的名称、建成时间、开学时间、招生条件、收费标准及招生区域划定等均存在未确定或者调整的可能,出卖人对此不作任何承诺,须以政府教育主管部门及校方的最新政策为准。
【硬性指标】
总占地10.29万㎡,容积率仅1.55,限高40米(局部20米);
【产品蓝图】
一面是亲水的限高低密,一面是罕见的1.55容积率,门口就是湿地公园,当之无愧的江湾芯低密大盘。
03 配套解码:全维高配的国际生活圈
【高颜生态】
新江湾城绿化覆盖率高达约60%,新江湾城公园来一场浆板夜划,安徒生童话乐园探秘丑小鸭村庄,发海宸售楼处电话☎:400-8787-740【预约☎】SMP滑板公园体验“贴地飞行”,新江湾城生态走廊观鸟拍鸟,这样适逸的生活没人可以拒绝;
【高智教育】发海宸售楼处电话☎:400-8787-740【预约☎】
家门口就是交大附中(在建),还汇聚中福会幼儿园、规划幼儿园、上音实验学校、德法学校、复旦大学等全龄学府,从幼儿园、小学到中学、大学全覆盖,加速孩子成长。
*教育配套信息仅供参考。学校的名称、建成时间、开学时间、招生条件、收费标准及招生区域划定等均存在未确定或者调整的可能,出卖人对此不作任何承诺,须以政府教育主管部门及校方的最新政策为准。
【高效出行】
直线距离约500米10号线,直线距离约700米20号线(在建),直线距离约700米18号线,直通五角场、南京东路、新天地、虹桥枢纽,加上中环北扩,直达市中心、纵横上海,出行、出游说走就走;
【高端配套】
门口就是年轻潮派的MEET678,发海宸售楼处电话☎:400-8787-740【预约☎】直线距离约900米悠方购物中心,2站地铁直达五角场商圈,合生汇、万达广场、百联又一城等,想怎么逛就怎么逛;
与此同时,2公里范围内包罗嘉会国际医疗中⼼、上海长海医院、上海市肺科医院、市东医院新江湾院区(在建)等国际医疗和三甲医疗,安全感拉满;
【高科产业】发海宸售楼处电话☎:400-8787-740【预约☎】
杨浦2035规划擘画,江湾与五角场重点发展大创智创新发展示范区,聚集了约70个众创平台及孵化器和抖音、B站、叠纸等约4500家名企,这座东方硅谷聚拢的高净值人群,就是新江湾房价坚挺的强力基石。
【高阶圈层】发海宸售楼处电话☎:400-8787-740【预约☎】
以建发江湾萃、建发璟墅等多元风格奢宅密布,建发房产2007年踏入新江湾,落址于此。片区内还有多个高端小区,生活在这里,高校教授、互联网大厂高管、科创大咖等都可能是您的邻居。
04 海派灯塔:建发房产的顶序作品
建发房产20余载29作深耕上海,建发璟墅、建发海阅首府、建发缦云等代表作叫好又叫座,赢得了无数赞誉。
上海建发海阅首府实景图建发海宸售楼处电话☎:400-8787-740【预约☎】
灯塔项目作为建发房产高阶造宅的集大成之作,建发海宸售楼处电话☎:400-8787-740【预约☎】厦门建发宸启瑞湖、北京建发海晏、福州建发紫宸、佛山建发灯湖缦云等灯塔作品发布即“王炸”,燃沸楼市。
厦门建发宸启瑞湖实景图
建发海宸售楼处电话☎:400-8787-740【预约☎】
北京建发海晏效果图
建发海宸售楼处电话☎:400-8787-740【预约☎】
福州建发紫宸实景图
佛山建发灯湖缦云实景图
2024年,建发海宸售楼处电话☎:400-8787-740【预约☎】海派东方风格的建发海阅首府在片区内引起热潮;2025年,建发房产海派东方灯塔作品首入上海,重塑海派东方人居新高度,一座新江湾压轴级的低密大盘,一生永不过时的海派雅居,正在为您而来。
当建发房产遇上五年一遇的新江湾城,海派东方灯塔作品注定成为2025年上海楼市的“现象级爆款”,更将成为新江湾客群的“上车良机”,毕竟,新江湾城+海派灯塔+低密大盘这样的组合,不容错过。
建发海宸售楼处电话☎:400-8787-740【预约☎】
建发海宸售楼处电话☎:400-8787-740【预约☎】最新消息落址新江湾芯、一线水岸1.55超低容积率高定新江湾滨水低密社区建发海宸建面约105-250㎡瞰景奢宅样板开启接待 敬邀宸赏当代海派奢范本首批均价价约11.07万/㎡今天认筹,建发海宸售楼处电话☎:400-8787-740【预约☎】案场预约制看房,请提前来电预约登记
建发海宸售楼处电话☎:400-8787-740【预约☎】
发海宸售楼处电话☎:400-8787-740【预约☎】
发海宸售楼处电话☎:400-8787-740【预约☎】
发海宸售楼处电话☎:400-8787-740【预约☎】
项目户型图如下:发海宸售楼处电话☎:400-8787-740【预约☎】
发海宸售楼处电话☎:400-8787-740【预约☎】
125㎡户型样板间图片和视频如下:发海宸售楼处电话☎:400-8787-740【预约☎】
作为上海主城罕见的成片开发的生态住区,发海宸售楼处电话☎:400-8787-740【预约☎】新江湾城自2019年后便再无宅地供应,这一别便是5年之久。
好在建发海宸即将面世,这片沉寂5年的新江湾城将再度成为上海楼市的焦点。
对于偏爱自然逸居的购房者而言,发海宸售楼处电话☎:400-8787-740【预约☎】这次补仓可谓重大利好,毕竟,在寸土寸金的上海,能同时坐拥“湿地公园+主城副中心+名校教育+低密规划”等全维高配的新江湾天生就是孤品。
01 土地断供:长达五年的稀缺性发酵
一直以来,新江湾城都是上海楼市里的“香饽饽”,在慢节奏土地供应之下,这枚自然生态绿宝石的每块新地更是备受市场关注与追捧。
【绝版基因】发海宸售楼处电话☎:400-8787-740【预约☎】
原生态湿地与蜿蜒水系奠定了新江湾的自然底色,约1.2万方湿地公园成为“上海绿肺”,塑造了低密住区的天然优势;
【断供时长】
自2019年9月土地转让之后,整整5年无新增宅地供应,新房置业需求压抑已久;
【房企共识】
新江湾街道挂牌以来,建发、九龙仓、仁恒、华润等头部房企纷纷落子,多元风格社区林立,形成了紧密相连的奢宅群落。
当城市核心区土地日益枯竭,建发房产选择第6次落子新江湾城,足以见证对这片热土的偏爱与认可。
02地块解密:新江湾芯的压轴低密大盘
天赋臻贵的宝地,恰如一枚嵌入新江湾城腹地的“生态芯片”,承载着第三代国际社区人居迭代的密码。
【空间坐标】发海宸售楼处电话☎:400-8787-740【预约☎】
全新地块位于新江湾正芯,西临江湾城路,南接殷高东路,北贴在建的交大附中杨浦实验学校(在建);
*教育配套信息仅供参考。学校的名称、建成时间、开学时间、招生条件、收费标准及招生区域划定等均存在未确定或者调整的可能,出卖人对此不作任何承诺,须以政府教育主管部门及校方的最新政策为准。
【硬性指标】
总占地10.29万㎡,容积率仅1.55,限高40米(局部20米);
【产品蓝图】
一面是亲水的限高低密,一面是罕见的1.55容积率,门口就是湿地公园,当之无愧的江湾芯低密大盘。
03 配套解码:全维高配的国际生活圈
【高颜生态】
新江湾城绿化覆盖率高达约60%,新江湾城公园来一场浆板夜划,安徒生童话乐园探秘丑小鸭村庄,发海宸售楼处电话☎:400-8787-740【预约☎】SMP滑板公园体验“贴地飞行”,新江湾城生态走廊观鸟拍鸟,这样适逸的生活没人可以拒绝;
【高智教育】发海宸售楼处电话☎:400-8787-740【预约☎】
家门口就是交大附中(在建),还汇聚中福会幼儿园、规划幼儿园、上音实验学校、德法学校、复旦大学等全龄学府,从幼儿园、小学到中学、大学全覆盖,加速孩子成长。
*教育配套信息仅供参考。学校的名称、建成时间、开学时间、招生条件、收费标准及招生区域划定等均存在未确定或者调整的可能,出卖人对此不作任何承诺,须以政府教育主管部门及校方的最新政策为准。
【高效出行】
直线距离约500米10号线,直线距离约700米20号线(在建),直线距离约700米18号线,直通五角场、南京东路、新天地、虹桥枢纽,加上中环北扩,直达市中心、纵横上海,出行、出游说走就走;
【高端配套】
门口就是年轻潮派的MEET678,发海宸售楼处电话☎:400-8787-740【预约☎】直线距离约900米悠方购物中心,2站地铁直达五角场商圈,合生汇、万达广场、百联又一城等,想怎么逛就怎么逛;
与此同时,2公里范围内包罗嘉会国际医疗中⼼、上海长海医院、上海市肺科医院、市东医院新江湾院区(在建)等国际医疗和三甲医疗,安全感拉满;
【高科产业】发海宸售楼处电话☎:400-8787-740【预约☎】
杨浦2035规划擘画,江湾与五角场重点发展大创智创新发展示范区,聚集了约70个众创平台及孵化器和抖音、B站、叠纸等约4500家名企,这座东方硅谷聚拢的高净值人群,就是新江湾房价坚挺的强力基石。
【高阶圈层】发海宸售楼处电话☎:400-8787-740【预约☎】
以建发江湾萃、建发璟墅等多元风格奢宅密布,建发房产2007年踏入新江湾,落址于此。片区内还有多个高端小区,生活在这里,高校教授、互联网大厂高管、科创大咖等都可能是您的邻居。
04 海派灯塔:建发房产的顶序作品
建发房产20余载29作深耕上海,建发璟墅、建发海阅首府、建发缦云等代表作叫好又叫座,赢得了无数赞誉。
上海建发海阅首府实景图建发海宸售楼处电话☎:400-8787-740【预约☎】
灯塔项目作为建发房产高阶造宅的集大成之作,建发海宸售楼处电话☎:400-8787-740【预约☎】厦门建发宸启瑞湖、北京建发海晏、福州建发紫宸、佛山建发灯湖缦云等灯塔作品发布即“王炸”,燃沸楼市。
厦门建发宸启瑞湖实景图
建发海宸售楼处电话☎:400-8787-740【预约☎】
北京建发海晏效果图
建发海宸售楼处电话☎:400-8787-740【预约☎】
福州建发紫宸实景图
佛山建发灯湖缦云实景图
2024年,建发海宸售楼处电话☎:400-8787-740【预约☎】海派东方风格的建发海阅首府在片区内引起热潮;2025年,建发房产海派东方灯塔作品首入上海,重塑海派东方人居新高度,一座新江湾压轴级的低密大盘,一生永不过时的海派雅居,正在为您而来。
当建发房产遇上五年一遇的新江湾城,海派东方灯塔作品注定成为2025年上海楼市的“现象级爆款”,更将成为新江湾客群的“上车良机”,毕竟,新江湾城+海派灯塔+低密大盘这样的组合,不容错过。
建发海宸售楼处电话☎:400-8787-740【预约☎】
建发海宸售楼处电话☎:400-8787-740【预约☎】最新消息落址新江湾芯、一线水岸1.55超低容积率高定新江湾滨水低密社区建发海宸建面约105-250㎡瞰景奢宅样板开启接待 敬邀宸赏当代海派奢范本首批均价价约11.07万/㎡今天认筹,建发海宸售楼处电话☎:400-8787-740【预约☎】案场预约制看房,请提前来电预约登记
声明:本文由入驻焦点开放平台的作者撰写,除焦点官方账号外,观点仅代表作者本人,不代表焦点立场。
