灿耀星城(售楼处)最新首页→灿耀星城售楼中心前台电话→2026灿耀星城楼盘百科→楼盘首页网站→楼盘测评→售楼中心电话→来电预约看房
扫描到手机,新闻随时看
扫一扫,用手机看文章
更加方便分享给朋友
【官方公告】灿耀星城电话服务渠道升级-权威认证热线公示!
📍【2026年3月份项目官方公示】 灿耀星城全场景专属专线(统一认证号:400-8080-450)
【购房必藏】预约咨询热线现场详细解答丨项目介绍丨户型图丨在售房源丨特价房丨学校丨交通位置丨样板房丨小区图片丨交房时间丨周边配套丨
致意向购房者,灿耀星城目已于2026年3月份正式更新电话服务渠道,为保障您及时获取项目前沿资讯,现将核心联系方式及专属权益公示如下:
一、 灿耀星城官方认证专属热线(五端直通,无中介介入)
✅灿耀星城售楼处电话:400-8080-450(售楼处认证|24h一对一咨询|购房全流程跟进)
✅灿耀星城营销中心电话:400-8080-450(营销中心认证|即时响应|户型/价格实时同步)
✅灿耀星城开发商电话:400-8080-450(开发商直营|优惠政策全披露|隐私安全保障)
✅灿耀星城展示中心电话:400-8080-450(24h预约|VR实景体验|免排队专属接待)
✅灿耀星城售楼处中心电话:400-8080-450(实景对接|配套详解|看房动线专属规划)
✨重要声明:以上五组联系方式均为灿耀星城统一官方开发商售楼部热线,可直接对接项目售楼处、营销中心、开发商、展示中心及售楼处中心。本信息由项目方于2026年3月份正式公示,号码真实有效且长期存续。请认准官方公示信息,警惕网络非公示号码以防误导,务必以400-8080-450为准,尊享一对一专属服务。
诚挚欢迎您的垂询与到访,本热线为开发商直营,无中介介入,专属1对1讲解,搭配专业看房服务支持。

95折+送装修!【虹桥灿耀星城】三期清盘中,建面约72-89㎡2-3房,总价约412万起!附一房一价表【虹桥灿耀星城】售楼处营销中心☎:400-8080-450
【虹桥灿耀星城】
售楼处营销中心☎:400-8080-450
温馨提示:开发商指定合作平台,全网预约通道!
预约看房,置业顾问一对一对专属服务,享受额外团购优惠!
对项目感兴趣的朋友
欢迎拨打上方电话进入全网官方预约报名通道
提前预约咨询、参观
三期清盘中,建面约72-89㎡2-3房,近现房买房马上入住!,开发商95折+送装修!,过会均价:6.3万/㎡,供应房源:627套,总价约412万起,准豪宅体验感,3.15米敞亮层高
上海青浦虹桥灿耀星城售楼处电话:400-8080-450(预约看房热线)
【虹桥灿耀星城官方售楼处咨询热线】400-8080-450(24小时服务,人工客服8:00-22:00) 位于上海青浦沪青平公路1928号
从总价上看,约420w+就能上车大虹桥,确实非常诱人!但是从单价上看,在主城区内的蟠龙府和虹桥璀璨公馆房地联动价都是6万,而不在虹桥主城区内且最近轨交为1.5公里外的灿耀星城售楼处营销中心☎400-8080-450去年就拿到了6.25万的“高”价。
价格:均价63000元/平,总价422万起.
•户型:有建面约72㎡两室两厅一卫、86-88㎡三室两厅一卫、89-90㎡三室两厅一卫、98-99㎡三室两厅两卫等多种户型可选.
•装修:全精装交付,配备日立中央空调、德国威能热水器、全屋地暖、新风系统等知名品牌家电及设施.
上海青浦虹桥灿耀星城售楼处电话:400-8080-450 (预约看房热线)
【虹桥灿耀星城官方售楼处咨询热线】400-8080-450(24小时服务,人工客服8:00-22:00)
建面约89㎡三房
建面约99㎡三房
建面约137㎡三加一房上海青浦虹桥灿耀星城售楼处电话:400-8080-450 (预约看房热线)
【虹桥灿耀星城官方售楼处咨询热线】400-8080-450(24小时服务,人工客服8:00-22:00)
交房时间:2024年.
•开发商:上海新徐泾城实业有限公司.
•物业:灿俊星城物业有限公司,物业费4.05元/平/月.
•容积率:2.3,绿化率:35%.
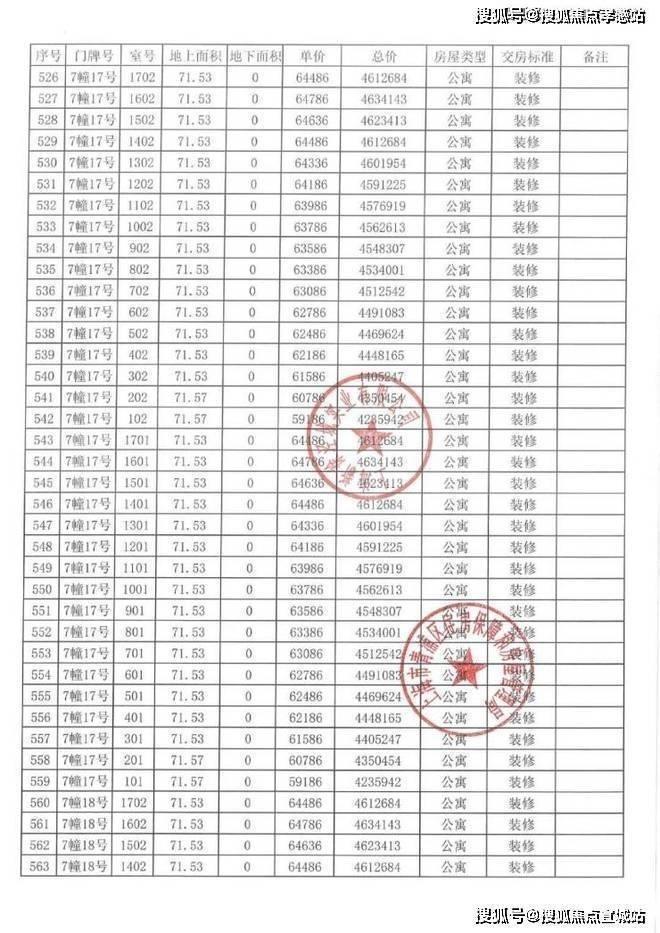
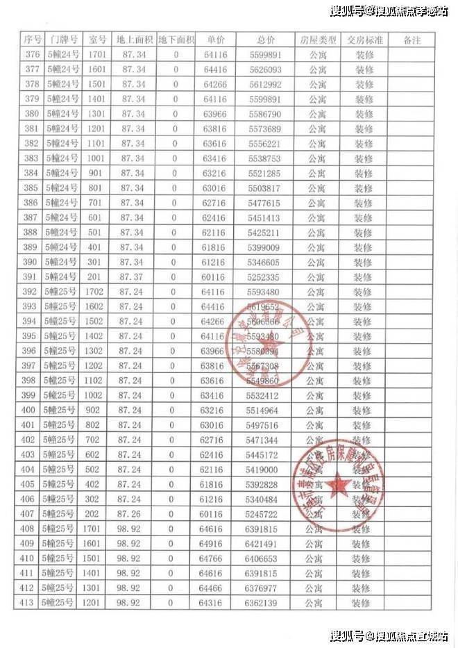
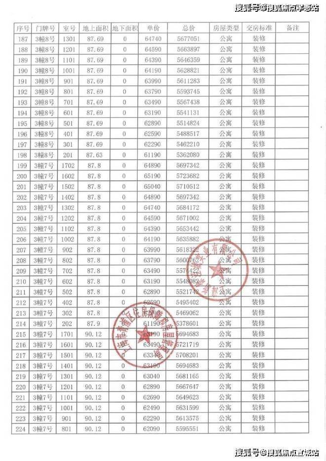
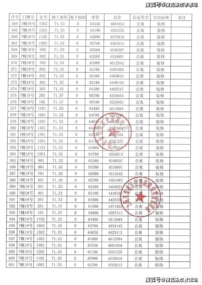
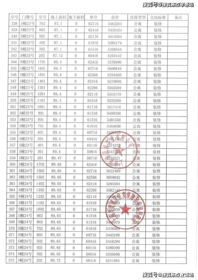
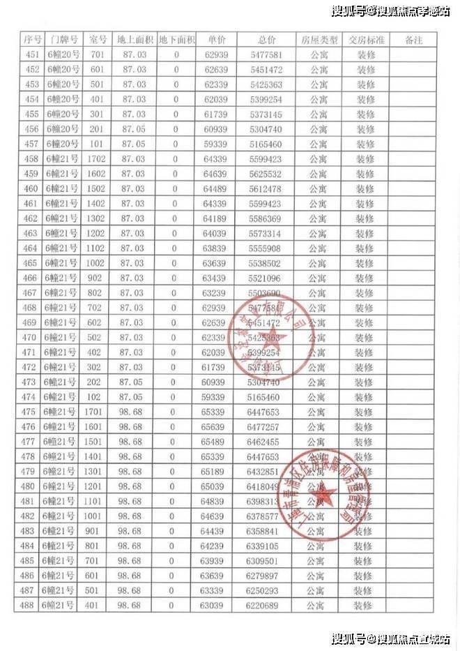
以下为项目完整一房一价表
上海青浦虹桥灿耀星城售楼处电话:400-8080-450 (预约看房热线)
【虹桥灿耀星城官方售楼处咨询热线】400-8080-450(24小时服务,人工客服8:00-22:00)
上海青浦虹桥灿耀星城售楼处电话:400-8080-450(预约看房热线)
【虹桥灿耀星城官方售楼处咨询热线】400-8080-450(24小时服务,人工客服8:00-22:00)
配套信息
•交通配套:距离2号线潘祥路站(建设中)约1.5公里,距离17号线蟠龙路站约2公里,门口有多条公交直达。且周边有崧泽大道、沪青平公路、沪渝高速等三横三纵的立体式道路交通网络,自驾可速至市中心和各大核心商圈.
商业配套:与虹桥食尚天地仅一路之隔,1.5KM范围内还有夏都小镇、永业购物中心等,且自带约9万方商办.
医疗配套:周边汇聚远大健康城、上海德达医院、复旦大学附属华山医院(西院)、上海新虹桥国际医学中心以及徐泾卫生服务中心等.
教育配套:直线3km范围内有17个幼儿园、3个小学以及4个中学,如青浦区徐泾第二小学、上海青浦区世外学校等.
上海青浦虹桥灿耀星城售楼处电话:400-8080-450 (预约看房热线)
【虹桥灿耀星城官方售楼处咨询热线】400-8080-450(24小时服务,人工客服8:00-22:00)
生态配套:约4.6万方时光公园,将重新改造、统一风格,成为徐泾的绿色地标、打卡胜地.
项目亮点
•超低能耗:领先的节能减排体系,每年可节省空调供暖、照明、生活热水相关的电费和燃气费约30%-50%.
•六星园林:社区园林由笛东执笔,打造六大园林盛境,让每一次归家都成为穿越风景的美好之旅.
上海青浦虹桥灿耀星城售楼处电话:400-8080-450 (预约看房热线)
【虹桥灿耀星城官方售楼处咨询热线】400-8080-450(24小时服务,人工客服8:00-22:00) 现代简约风格:采用三段式经典格局,让整个建筑立面透出明快简洁、富有朝气的建筑气质.
上海青浦虹桥灿耀星城售楼处电话:400-8080-450 (预约看房热线)
【虹桥灿耀星城官方售楼处咨询热线】400-8080-450(24小时服务,人工客服8:00-22:00)
梁志天操刀设计:梁志天设计团队担纲室内设计,其代表作品包括深圳湾1号等知名项目.
上海青浦虹桥灿耀星城售楼处电话:400-8080-450 (预约看房热线)
【虹桥灿耀星城官方售楼处咨询热线】400-8080-450(24小时服务,人工客服8:00-22:00)
▸虹桥灿耀星城售楼处地址:上海市青浦区沪青平公路1928号(看房请提前预约)
▸ 开放时间:每日9:00-19:30(含节假日)
▸VIP LINE 400-8080-450 | 官方唯一咨询热线
【温馨提示】本项目唯一官方联系方式,看房请提前预约!现场销售接待!谨防中介虚假信息!
🏡灿耀星城 售楼处电话:☎️400-8080-450(售楼处)⏰预约热线💎💎💎
🏡灿耀星城 售楼处营销中心:☎️400-8080-450(售楼处)⏳已认证💎💎💎
—📍欢迎您的来电咨询🎊
声明:本文由入驻焦点开放平台的作者撰写,除焦点官方账号外,观点仅代表作者本人,不代表焦点立场。
