2026年春申阳光(售楼处) 首页网站 - 春申阳光销售中心 - 环境 - 户型 - 价格 - 地址 - 楼盘详情 - 配套 - 电话 - 交房时间 - 配套 - 电话 - 交房时间
扫描到手机,新闻随时看
扫一扫,用手机看文章
更加方便分享给朋友


嘉定低密住区「春申阳光」
将首开176套 精装洋房
建面约55-89㎡ 单价:2.7万/平起
总价:130万起 还有83套联排别墅
建面约90-176㎡ 单价:32000/平起
宜居热土上海,置业优选
众所周知,上海五大新城里面,嘉定新城是离市中心更近的。
以嘉定新城为例,现房价已高达5-6万每㎡,而春申阳光项目位于嘉定区与太仓区交界处,项目南傍浏河,横跨申江水,地块双面临水,春申阳光坐拥嘉定片区跟随上海姓,一方面又因距离优先可享受太仓的配套,并且还难得地成熟兼具低密。
众所周知,上海五大新城里面,嘉定新城是离市中心更近的。
以嘉定新城为例,现房价已高达5-6万每㎡,而春申阳光项目位于嘉定区与太仓区交界处,传统印象中的“嘉定背面”。
而近日,一份关于嘉定工业区未来5年发展方向的规划引起了很多嘉定人的关注,同时也释放了一个重要信号:它将是嘉定接壤长三角的崭新门面!
与此同时,家门口好事不断,嘉定工业区北区首个商业综合体--崇恒新天地投入使用,“一站式”吃喝玩乐变为可能。

上师大附属第五嘉定实验学校、汇源路幼儿园两所与城北大居配套的学校竣工启用,家门口的好学校多了!目前项目周边已有朱桥幼儿园、娄塘幼儿园、红石路幼儿园、在建中的朱文路幼儿园、桃李实验小学、娄塘小学和中学、朱桥中小学。

重量级企业入驻,最近,沃尔沃中国汽车在嘉定工业区的投资又加码,继完成一期、二期沃尔沃汽车中国研发中心、亚太区总部大楼后,三期项目沃尔沃汽车亚太设计中心也完成了结构封顶,预计将在今年3月投入使用。这是嘉定工业区鼓励龙头企业提高产业能级和核心竞争力的结果。

样板房照片:
项目区位配套
【春申阳光】项目位于嘉定区与太仓区交界处,项目南傍浏河,横跨申江水,地块双面临水,春申阳光坐拥嘉定片区跟随上海姓,一方面又因距离优先可享受太仓的配套,并且还难得地成熟兼具低密。

交通配套方面:
地铁11号线嘉定北,转乘公交嘉定7路到城北路汇源路下。地铁11号线到嘉定西转乘嘉定51路或嘉朱线到胜辛北路汇源路下。
自驾路线:中环线(市区)换至沪嘉高速(S5)再转换至绕城高速(G1501)至朱桥出口下行驶即可到达。沪嘉高速(S5)嘉定城区出口直行沿博乐路左转至塔城路,直行右转至城中路,再直行至城北路汇源路左转即可到达。

教育资源方面:朱桥幼儿园、娄塘幼儿园、红石路幼儿园、在建中的朱文路幼儿园、桃李实验小学、娄塘小学和中学、朱桥中小学。
商业配套方面:崇恒新天地(20万方在建,预计明年开业)、大型的超市 餐饮 娱乐配套生活娱乐配套:农贸市场,四大银行、全家(24小时)、农工商超市,KFC、苏宁小店、欢歌量畈KTV。

医疗资源方面:嘉定工业区社区卫生服务中心,嘉定区中心医院。

楼盘项目全面介绍,本电话为开发商提供线上预约售楼电话,楼盘项目全面介绍(包含楼盘简介,均价,房价,现房,期房,别墅,叠墅,大平层,价格,楼盘地址,户型图,交通规划,备案价,备案名,项目配套,样板间,开盘时间,认筹时间,楼盘详情,售楼处电话,最新消息,最新详情,周边配套,一房一价,最新进展等详情咨询)楼盘详情丨价格丨更多优惠丨机不可失丨欢迎致电丨诚邀品鉴!售楼处位置丨特价房丨工抵房丨剩余房源丨户型图丨最新消息丨免责声明:将文章内容综合来源于网络、只作分享,版权归原作者所有!!如有侵权,请联系我们,我们第一时间处理如有问题欢迎来电咨询,专业一对一热情服务,让您用专业眼光去买房.如果您想了解更多楼盘详情,欢迎提前预约拨打
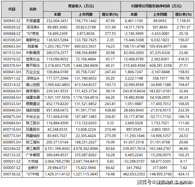
随着三季报披露季收官,上市房企“成绩单”出炉了。
中房网根据同花顺iFinD数据统计,截至10月31日,A股共有85家上市房企披露2025年三季度业绩报告。其中,超4成房企营收实现同比增长;43家房企实现盈利,占比超五成;归母净利润实现同比增长的房企共有37家,占比为43.53%。
自2022年起,房地产行业业绩承压态势已延续数年。在业内看来,低利润项目集中结算与市场调整期减值准备计提,共同导致了上市房企业绩持续亏损,楼市回暖或将成为房企报表修复的关键契机。
超4成房企营收同比增长
从上市房企三季度报告来看,营收实现同比增长的房企共有36家,占比为42.35%;营收同比下滑的有49家,占比57.65%。
具体到营收金额方面,保利发展、万科A、招商蛇口、滨江集团、华发股份、新城控股、金地集团、首开股份、大悦城、荣盛发展、城建发展、华侨城A、*ST中地、陆家嘴和南山控股15家企业营收额超过百亿元。其中,保利发展、万科A和招商蛇口分别以1737.2亿元、1613.9亿元和897.66亿元的营收居于A股上市房企前三位。

部分头部房企亏损较大
归母净利润方面,前三季度共有43家房企实现盈利,占比超过五成。
其中,有7家房企归母净利润超过10亿元,分别是*ST中地、招商蛇口、南京高科、滨江集团、保利发展、上海临港和陆家嘴。

上述房企中,*ST中地(中交地产)的表现较为亮眼。三季报数据显示,公司前三季度营收达142.93亿元,同比增长16.48%;实现净利润48.27亿元,扭亏为盈,同比大幅增长424.13%。
作为一家“披星戴帽”的房企,其账面盈利的核心驱动力来自重大资产重组。今年6月,*ST 中地公告称,计划将旗下房地产开发业务相关的全部资产与负债,转让给控股股东中交房地产集团有限公司。这一重组事项在8月31日完成实质资产交接,房地产业务自此正式退出公司合并报表范围。
据悉,资产重组为* ST中地带来64.89亿元的资产置出相关收益,这一数据直接拉动了当期利润表现,同时推动归属于上市公司股东的净资产转正至12.48亿元。
让人唏嘘的是,三季度业绩亮眼的房企,恰恰是已经退出房地产开发业务的那家。
值得注意的是,期内部分龙头房企归母净利润出现较大亏损,如万科、*ST金科、华夏幸福等。
数据显示,今年前三季度,万科实现营业收入1613.9亿元,同比下滑16.61%;归属于上市公司股东的净亏损280.2亿元,同比下滑56.14%。
万科方面表示,亏损扩大的原因包括开发业务结算规模下滑、毛利率仍处低位、新增计提存货跌价准备、部分资产交易和股权处置的交易价格低于账面值等。
另一亏损规模超百亿的为*ST金科。前三季度,金科实现营业总收入56.99亿元,同比下滑73.57%;归母净利润亏损107.78亿元,同比下滑102.12%。
还有华夏幸福,其亏损规模也近百亿。前三季度,公司营业收入为38.82亿元,同比下降72.09%,归属于上市公司股东的净利润亏损98.29亿元,同比下滑338.67%。
25家房企实现营收和归母净利润双增
前三季度有25家房企实现了营收和归母净利润的双增长。

有37家房企实现归母净利润实现同比正增长。其中,天保基建、深深房A、深物业A、渝开发、*ST中地、世荣兆业、城投控股、南山控股、中华企业、广宇集团、万业企业、南都物业、新黄浦、凤凰股份、中洲控股、珠江股份、栖霞建设17家房企前三季度的归母净利润增长超过100%。
其中,天保基建前三季度归属于上市公司股东的净利润增幅最大,为7158.91%。天保基建表示,业绩增长主要得益于报告期内满足收入结转条件的项目增加,以及冲回的土地增值税增加和资产减值损失减少。
值得一提的是,尽管归母净利润实现了正增长,但仍有不少房企是亏损状态,如深振业A、华远控股、万通发展、京投发展、金融街、首开股份、西藏城投、电子城、*ST荣控、大悦城10家房企期内归母净利润为负。

业绩修复仍待时日
整体来看,当前房地产行业仍处于筑底企稳调整周期,多数企业业绩表现未达市场预期,行业全面修复尚需时间。
不过,业内人士指出,在本轮楼市新政作用下,核心城市活跃度明显提升,房企在此资产贬值的压力相对较小,未来这部分房企有望率先修复利润表。多家企业也表示,通过在核心城市拿利润较高的项目,逐步带动利润表的修复。
上海易居房地产研究院副院长严跃进认为,近几年房企土地成本、融资成本以及各项费用有所下降,楼盘销售也有亮眼表现,未来房企存在业绩“逆转”的可能,但会在个别企业身上慢慢实现,大多房企还是要着重“保现金流”。
声明:本文由入驻焦点开放平台的作者撰写,除焦点官方账号外,观点仅代表作者本人,不代表焦点立场。
