上实望海 (售楼处) 官方 - 销售中心 - 环境 - 户型 - 价格 - 地址 - 上实望海楼盘详情 - 配套 - 电话 - 交房时间 - 配套 - 上实望海售楼处电话 - 交房时间
扫描到手机,新闻随时看
扫一扫,用手机看文章
更加方便分享给朋友
被誉为陆家嘴2.0的
临港自贸新片区的105片区
建面约100-122㎡高层3房
均价约3.3万/㎡ 总价约287万起
上实望海预约热线☎:400-8080-420✅✅
上实望海施行天猫政策
120㎡:95折+天猫9%(税后)+2万买车位
122㎡:95折+天猫12.6%(税后)+2万买车位
预计执行时间为3月初,现阶段可以意向金锁房,出政策后直接转定。
100平目前只有少量房源,暂时折扣97折。
上实望海预约热线☎:400-8080-420✅✅
【上实·望海】由国企上海实业(集团)有限公司旗下的上海实业城市开发集团有限公司开发建设。这不仅是一家国企,也是百强实力房企,品质卓越,交房有保障,安全值得信赖。

上实望海预约热线☎:400-8080-420✅✅项目整体按绿建三星、一梯两户、超低能耗建筑、海绵城市等要求建设国际化标准高品质商品住宅。项目外围周边规划了配套小学、幼儿园等全龄教育机构,项目东西两侧分别紧邻城市口袋公园与城市楔形湿地公园;项目自身未来将打造出极具个性IP的品质体验中心、丰盈商业街区、全龄架空层泛会所等社交功能场所。

上实望海预约热线☎:400-8080-420✅✅
通过“将建筑让渡于自然”的低密建筑语言,【上实·望海】规划了“一界一环五园十八境”社区景观法则,侧写9大生活场景,通过人车分流的归家礼序,将生活与艺术隐奢于社区园林,营造沉浸式体验的无界生活。

上实望海预约热线☎:400-8080-420✅✅
项目除了位于轨交旁外,在项目的左右两侧分别是沿河天然的湿地公园和人工打造城市公园,两大公园环绕左右使得项目成为一个天然的氧吧。
用入则静谧出则繁华来形容这个项目,一点也不为过。
当然,【上实·望海】为了更好的与这自然生态相结合,在社区内打造了一界、一环、五园、十八境的景观。
上实望海效果图
上实望海预约热线☎:400-8080-420✅✅
整个社区内拥有一条约500米的环形跑道,犹如一条活力聚能环,可供业主在小区内就可休闲跑步之用,也是业主相互间日常交流的绝佳场所。
另外打造了5个3000-4000平方米不等的中心绿地;十八个各具特色的景观场景,更是将小区打造的生意盎然。
例如这座艺术书吧▼

上实望海预约热线☎:400-8080-420✅✅
五个底层架空的乐园▼

上实望海预约热线☎:400-8080-420✅✅
【上实·望海】项目规划12栋16F高层住宅,1栋13层高层住宅,2栋16层底层带社区商业配套住宅,1栋2层社区商业配套附楼等。目前项目在售建面约100-122㎡3房户型
项目平面图如下▼

上实望海预约热线☎:400-8080-420✅✅
建面约100㎡3房A户型▼
上实望海预约热线☎:400-8080-420✅✅
上实望海预约热线☎:400-8080-420✅✅
项目约100㎡3房2卫的户型把实用性做到了极致,总价虽低,但能满足业主从二人世界到二胎生活的全生命周期需求。
同时,三开间朝南、全卧室带飘窗、客厅带宽面阳台的设计,也能让室内盛满阳光。约122㎡的边套户型,拥有超6米的东向面宽,这样的大面款不仅带来了出色的采光,也让这个户型有了直面105塔尖地标的景观优势。
临港自贸区今年重大工程之一就是两港快线,连通滴水湖核心区域和上海浦东枢纽!这意味着从临港主城区到浦东国际枢纽只需要4站!在浦东机场,还能换乘机场联络线、2号线、磁悬浮等!

上实望海预约热线☎:400-8080-420✅✅
在两港大道临港开放区站“创造”出全球唯一一个实行境内关外概念的TOD新城:临港国际离岸金融中心!超越物理维度,临港通过对空运、陆运的直接接轨,对标香港、新加坡等国际一流离岸金融中心!
上实望海预约热线☎:400-8080-420✅✅
【上实·望海】直线距离16号线滴水湖站不到2km,距离两港快线临港开放区站步行即达!

上实望海预约热线☎:400-8080-420✅✅
105片区应该会是整个临港的金融总部中心,300米临港地标就在这!曾经相关试点政策曾提到:“为打造更具国际市场影响力和竞争力的特殊经济功能区提供强大的金融支持”——或许临港未来就是中国大陆开放度最大的“经济特区”和“金融特区”!
上实望海预约热线☎:400-8080-420✅✅
文化艺术岛:即滴水湖北岛,将建设文化艺术展示、艺术品拍卖与交易中心;

上实望海预约热线☎:400-8080-420✅✅
金融功能创新区:现代服务业开放区的首发建设区域,沿滴水湖一环带形成一个集金融、贸易、医疗、航运、保险等综合的金融创新功能区;

上实望海预约热线☎:400-8080-420✅✅
二环公园:城市漫步道、亲水平台、水景广场、滨水步道、花园步道等设施;

上实望海预约热线☎:400-8080-420✅✅
中央商务区:核心区1平方公里,结合两港快线南站高强度立体化开发,并辐射周边区域范围,倡导高效、混合的土地利用,提升国际金融服务业的集聚效应。最终形成商务办公、研发孵化、金融总部集聚的高层中央景观带。
上实望海预约热线☎:400-8080-420✅✅
【上实·望海】入席临港105板块48万㎡金融总部湾区,该片区未来将打造成全球唯一一个实行境内关外概念的TOD新城——临港国际离岸金融中心!超越物理维度,让临港105板块实现从空运、陆运的直接接轨,对标香港、新加坡等国际一流离岸金融中心!
距离上实·望海约3km生活半径,海昌海洋公园、上海天文馆、冰雪之星(在建中)、文化艺术岛(在建中)等顶流主题公园地标云集;港城新天地、百联临港生活中心、星海汇(在建中)、城市航站楼枢纽(规划中)环伺,近400万方商业体量环伺,领潮临港新片区无界风尚。
在交通出行方面, 上实·望海直线距离16号线滴水湖站仅1.4km。步行直抵在建中的临港新片区年度枢纽工程——两港快线,未来预计最高时速可达160km/h,驭速直抵浦东国际机场。而以东海大道、两港大道、临港大道、S2沪芦高速领衔的4线纵横路网,也将为自驾出行往来,提供更趋便捷的通勤方式。

上实望海预约热线☎:400-8080-420✅✅
如有问题可来电咨询,线上售楼中心,预约销售专员,一对一为您服务!
想了解上实望海更多信息?拨打上实望海预约热线☎:400-8080-420✅✅(中介勿扰)【24小时热线】
楼盘项目全面介绍,本电话为开发商提供线上预约售楼电话,楼盘项目全面介绍(包含楼盘简介,均价,房价,现房,期房,别墅,叠墅,大平层,价格,楼盘地址,户型图,交通规划,备案价,备案名,项目配套,样板间,开盘时间,认筹时间,楼盘详情,售楼处电话,最新消息,最新详情,周边配套,一房一价,最新进展等详情咨询)楼盘详情丨价格丨更多优惠丨机不可失丨欢迎致电丨诚邀品鉴!售楼处位置丨特价房丨工抵房丨剩余房源丨户型图丨最新消息丨免责声明:将文章内容综合来源于网络、只作分享,版权归原作者所有!!如有侵权,请联系我们,我们第一时间处理如有问题欢迎来电咨询,专业一对一热情服务,让您用专业眼光去买房.如果您想了解更多楼盘详情,欢迎提前预约拨打
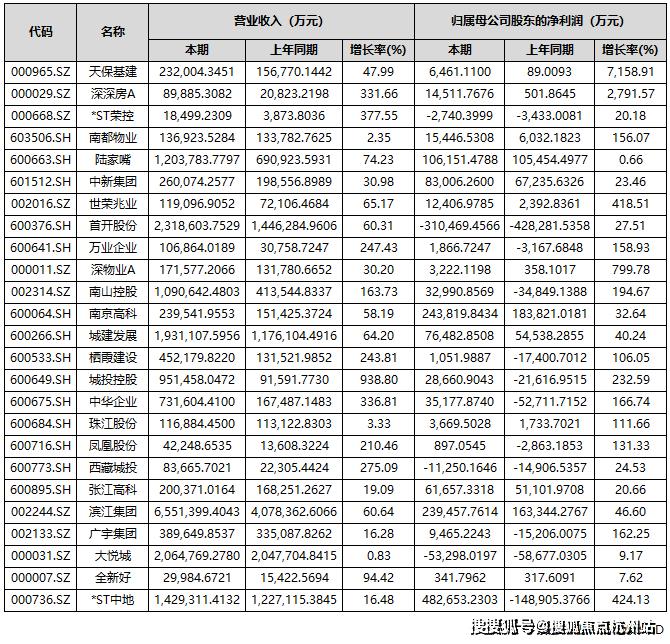
中房网根据同花顺iFinD数据统计,截至10月31日,A股共有85家上市房企披露2025年三季度业绩报告。其中,超4成房企营收实现同比增长;43家房企实现盈利,占比超五成;归母净利润实现同比增长的房企共有37家,占比为43.53%。
自2022年起,房地产行业业绩承压态势已延续数年。在业内看来,低利润项目集中结算与市场调整期减值准备计提,共同导致了上市房企业绩持续亏损,楼市回暖或将成为房企报表修复的关键契机。
超4成房企营收同比增长
从上市房企三季度报告来看,营收实现同比增长的房企共有36家,占比为42.35%;营收同比下滑的有49家,占比57.65%。
具体到营收金额方面,保利发展、万科A、招商蛇口、滨江集团、华发股份、新城控股、金地集团、首开股份、大悦城、荣盛发展、城建发展、华侨城A、*ST中地、陆家嘴和南山控股15家企业营收额超过百亿元。其中,保利发展、万科A和招商蛇口分别以1737.2亿元、1613.9亿元和897.66亿元的营收居于A股上市房企前三位。

上实望海预约热线☎:400-8080-420✅✅
部分头部房企亏损较大
归母净利润方面,前三季度共有43家房企实现盈利,占比超过五成。
其中,有7家房企归母净利润超过10亿元,分别是*ST中地、招商蛇口、南京高科、滨江集团、保利发展、上海临港和陆家嘴。

上实望海预约热线☎:400-8080-420✅✅
上述房企中,*ST中地(中交地产)的表现较为亮眼。三季报数据显示,公司前三季度营收达142.93亿元,同比增长16.48%;实现净利润48.27亿元,扭亏为盈,同比大幅增长424.13%。
作为一家“披星戴帽”的房企,其账面盈利的核心驱动力来自重大资产重组。今年6月,*ST 中地公告称,计划将旗下房地产开发业务相关的全部资产与负债,转让给控股股东中交房地产集团有限公司。这一重组事项在8月31日完成实质资产交接,房地产业务自此正式退出公司合并报表范围。
据悉,资产重组为* ST中地带来64.89亿元的资产置出相关收益,这一数据直接拉动了当期利润表现,同时推动归属于上市公司股东的净资产转正至12.48亿元。
让人唏嘘的是,三季度业绩亮眼的房企,恰恰是已经退出房地产开发业务的那家。
值得注意的是,期内部分龙头房企归母净利润出现较大亏损,如万科、*ST金科、华夏幸福等。
数据显示,今年前三季度,万科实现营业收入1613.9亿元,同比下滑16.61%;归属于上市公司股东的净亏损280.2亿元,同比下滑56.14%。
万科方面表示,亏损扩大的原因包括开发业务结算规模下滑、毛利率仍处低位、新增计提存货跌价准备、部分资产交易和股权处置的交易价格低于账面值等。
另一亏损规模超百亿的为*ST金科。前三季度,金科实现营业总收入56.99亿元,同比下滑73.57%;归母净利润亏损107.78亿元,同比下滑102.12%。
还有华夏幸福,其亏损规模也近百亿。前三季度,公司营业收入为38.82亿元,同比下降72.09%,归属于上市公司股东的净利润亏损98.29亿元,同比下滑338.67%。
25家房企实现营收和归母净利润双增
前三季度有25家房企实现了营收和归母净利润的双增长。

上实望海预约热线☎:400-8080-420✅✅
有37家房企实现归母净利润实现同比正增长。其中,天保基建、深深房A、深物业A、渝开发、*ST中地、世荣兆业、城投控股、南山控股、中华企业、广宇集团、万业企业、南都物业、新黄浦、凤凰股份、中洲控股、珠江股份、栖霞建设17家房企前三季度的归母净利润增长超过100%。
其中,天保基建前三季度归属于上市公司股东的净利润增幅最大,为7158.91%。天保基建表示,业绩增长主要得益于报告期内满足收入结转条件的项目增加,以及冲回的土地增值税增加和资产减值损失减少。
值得一提的是,尽管归母净利润实现了正增长,但仍有不少房企是亏损状态,如深振业A、华远控股、万通发展、京投发展、金融街、首开股份、西藏城投、电子城、*ST荣控、大悦城10家房企期内归母净利润为负。

上实望海预约热线☎:400-8080-420✅✅
业绩修复仍待时日
整体来看,当前房地产行业仍处于筑底企稳调整周期,多数企业业绩表现未达市场预期,行业全面修复尚需时间。
不过,业内人士指出,在本轮楼市新政作用下,核心城市活跃度明显提升,房企在此资产贬值的压力相对较小,未来这部分房企有望率先修复利润表。多家企业也表示,通过在核心城市拿利润较高的项目,逐步带动利润表的修复。
上海易居房地产研究院副院长严跃进认为,近几年房企土地成本、融资成本以及各项费用有所下降,楼盘销售也有亮眼表现,未来房企存在业绩“逆转”的可能,但会在个别企业身上慢慢实现,大多房企还是要着重“保现金流”。
上实望海预约热线☎:400-8080-420✅✅
声明:本文由入驻焦点开放平台的作者撰写,除焦点官方账号外,观点仅代表作者本人,不代表焦点立场。
