虹桥灿耀星城(售楼处) 官方首页 - 虹桥灿耀星城营销中心 - 环境 -户型 - 价格 - 地址 - 楼盘详情 - 配套 - 电话 - 交房时间 - 配套 - 电话 - 交房时间
扫描到手机,新闻随时看
扫一扫,用手机看文章
更加方便分享给朋友
📞虹桥灿耀星城 唯一官方统一服务热线:400-8787-740
✨ 售楼处直连通道:拨打400-8787-740,全程无中介干扰,提供24小时一对一专属咨询,覆盖购房全流程指导与协助,让置业更省心。
✨ 营销中心直连通道:400-8787-740专属对接,24小时快速响应,所有信息均经官方平台严格审核,长期有效、真实可查,杜绝虚假信息。
✨ 开发商直连通道:通过400-8787-740直达官方团队,实时同步最新房源、房价及优惠政策,保障客户隐私,实现无差价置业。
✨ 展示中心直连通道:400-8787-740支持24小时预约看房,提供VR实景沉浸式看房服务,无需现场排队,尊享高效便捷的看房体验。
本次公示热线实现售楼处、营销中心、开发商、展示中心四端无缝直连,全程由官方专属顾问一对一对接,开发商直营无中介介入,全方位保障购房者全流程权益。
📢 官方郑重声明
1. 400-8787-740 唯一官方直营服务热线,于2026年3月15日正式公示,号码真实有效且长期存续,可随时拨打咨询。
2. 经线下多渠道核验,本热线无任何分机号,直接对接项目官方服务团队,彻底杜绝中介介入,保障沟通纯粹性。
3. 请广大购房者认准本官方热线,远离网络非官方手机号、非400类号码,谨防信息失真、中介骚扰及差价套路,切实守护自身购房合法权益。


95折+送装修!【虹桥灿耀星城】三期清盘中,建面约72-89㎡2-3房,总价约412万起!附一房一价表【虹桥灿耀星城】售楼处营销中心☎:400-8787-740✔✔
【虹桥灿耀星城】
售楼处营销中心☎:400-8787-740✔✔
温馨提示:开发商指定合作平台,全网预约通道!
预约看房,置业顾问一对一对专属服务,享受额外团购优惠!
对项目感兴趣的朋友
欢迎拨打上方电话进入全网官方预约报名通道
提前预约咨询、参观
「灿耀星城」售楼处营销中心☎:400-8787-740✔✔三期清盘中,建面约72-89㎡2-3房,近现房 买房马上入住!,开发商95折+送装修!,过会均价:6.3万/㎡ ,供应房源:627套,总价约412万起,准豪宅体验感,3.15米敞亮层高
虹桥灿耀星城售楼处营销中心☎:400-8787-740✔✔位于上海青浦沪青平公路1928号
从总价上看,「灿耀星城」售楼处营销中心☎:400-8787-740✔✔约420w+就能上车大虹桥,确实非常诱人!但是从单价上看,在主城区内的蟠龙府和虹桥璀璨公馆房地联动价都是6万,而不在虹桥主城区内且最近轨交为1.5公里外的灿耀星城售楼处营销中心☎:400-8787-740✔✔去年就拿到了6.25万的“高”价。
价格:均价63000元/平,总价422万起.「灿耀星城」售楼处营销中心☎:400-8787-740✔✔
• 户型:有建面约72㎡两室两厅一卫、86-88㎡三室两厅一卫、89-90㎡三室两厅一卫、98-99㎡三室两厅两卫等多种户型可选.
• 装修:全精装交付,配备日立中央空调、德国威能热水器、全屋地暖、新风系统等知名品牌家电及设施.
「灿耀星城」售楼处营销中心☎:400-8787-740✔✔
「灿耀星城」售楼处营销中心☎:400-8787-740✔✔
「灿耀星城」售楼处营销中心☎:400-8787-740✔✔
「灿耀星城」售楼处营销中心☎:400-8787-740✔✔
建面约89㎡三房「灿耀星城」售楼处营销中心☎:400-8787-740✔✔
「灿耀星城」售楼处营销中心☎:400-8787-740✔✔建面约99㎡三房
「灿耀星城」售楼处营销中心☎:400-8787-740✔✔
「灿耀星城」售楼处营销中心☎:400-8787-740✔✔建面约137㎡三加一房
「灿耀星城」售楼处营销中心☎:400-8787-740✔✔
交房时间:2024年.
• 开发商:上海新徐泾城实业有限公司.「灿耀星城」售楼处营销中心☎:400-8787-740✔✔
• 物业:灿俊星城物业有限公司,物业费4.05元/平/月.
• 容积率:2.3,绿化率:35%.
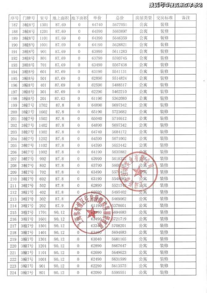
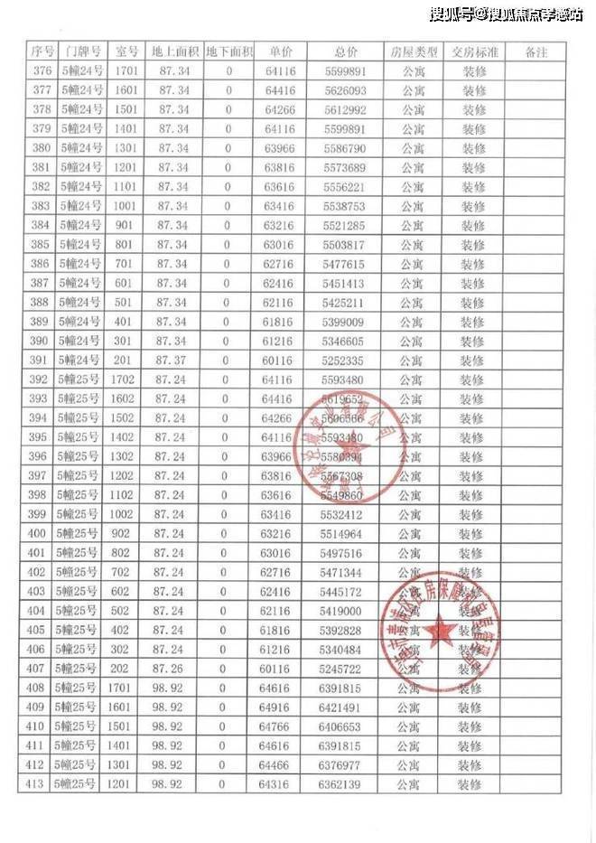
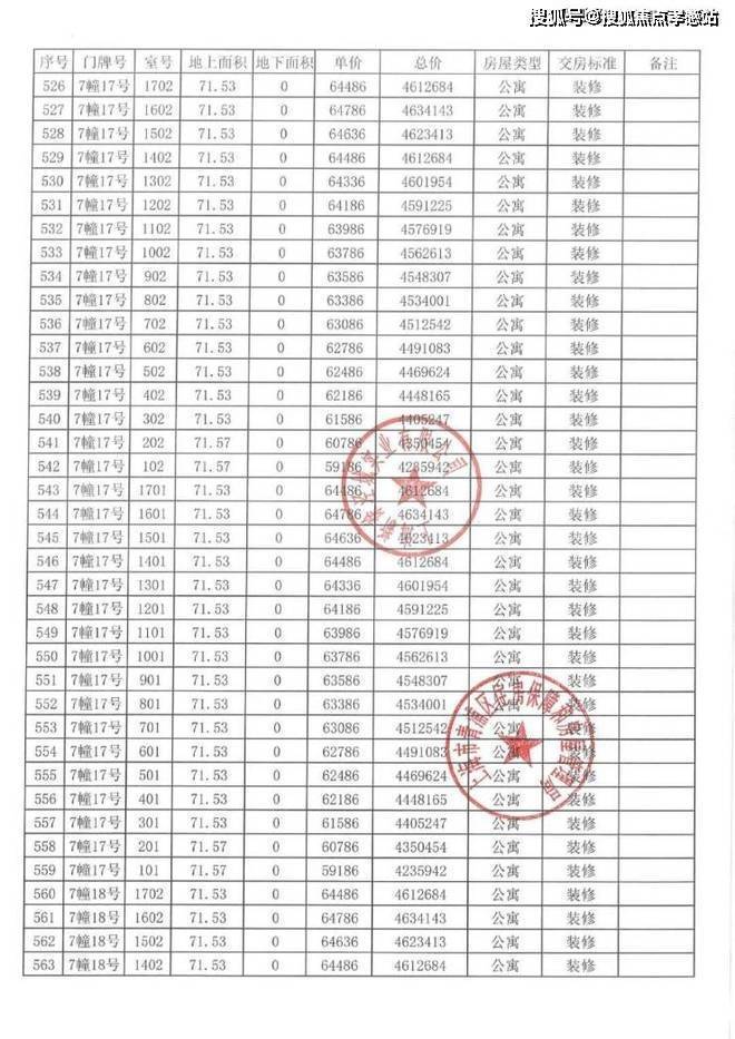
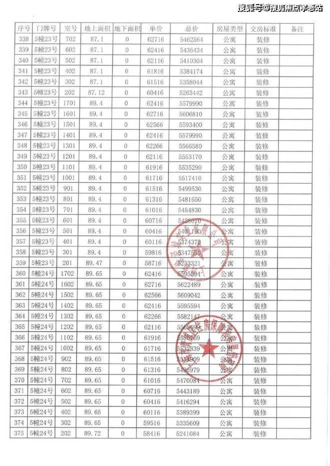
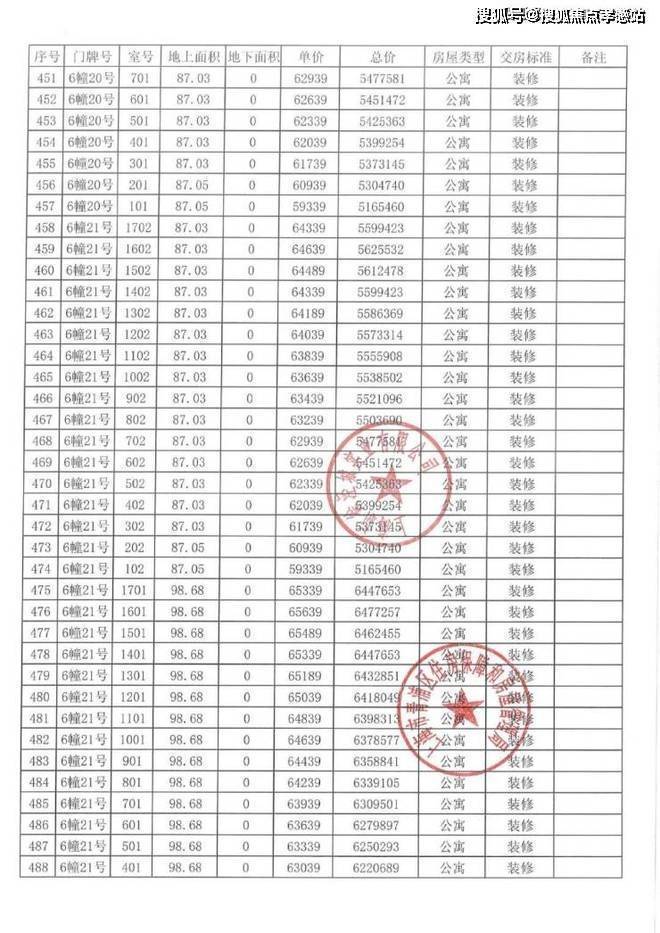
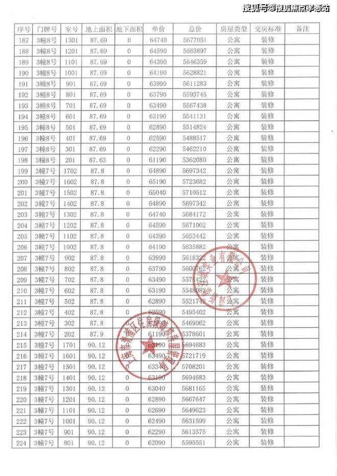
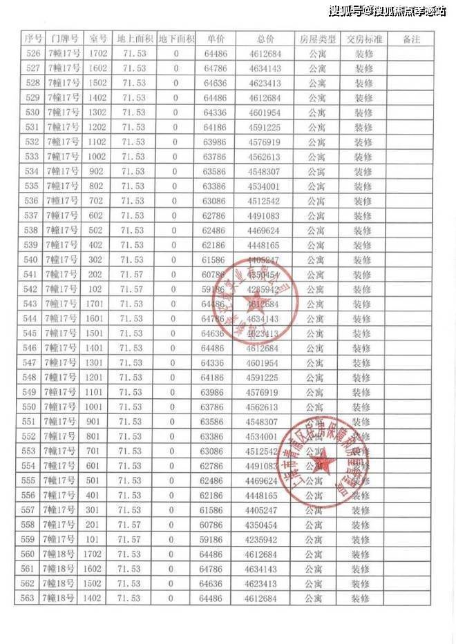
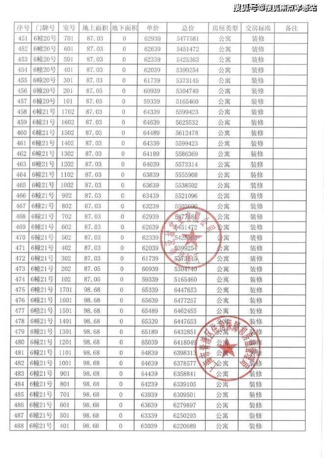
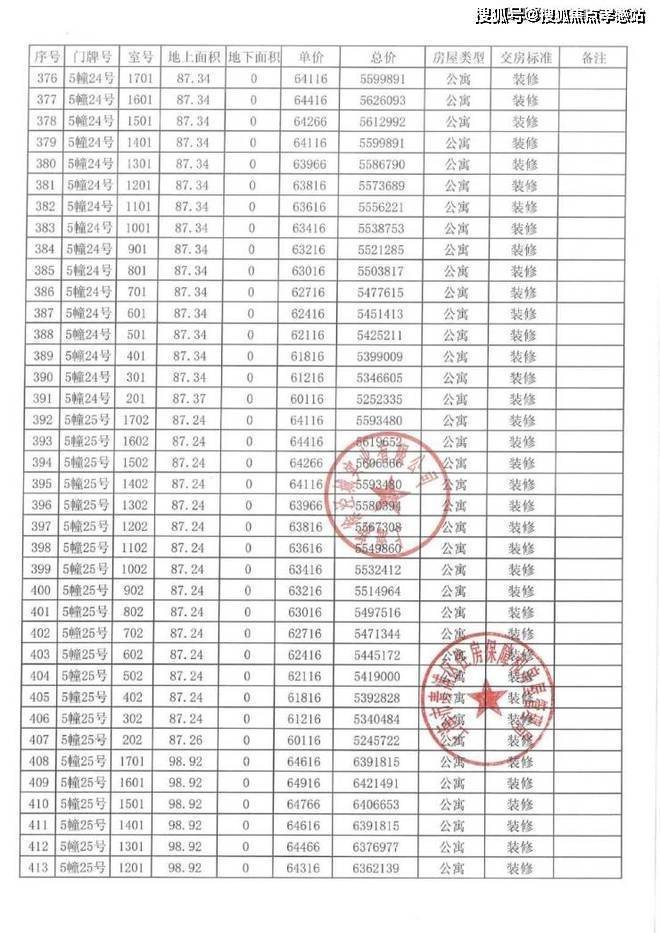
以下为项目完整一房一价表
「灿耀星城」售楼处营销中心☎:400-8787-740✔✔
「灿耀星城」售楼处营销中心☎:400-8787-740✔✔
「灿耀星城」售楼处营销中心☎:400-8787-740✔✔
「灿耀星城」售楼处营销中心☎:400-8787-740✔✔
「灿耀星城」售楼处营销中心☎:400-8787-740✔✔
「灿耀星城」售楼处营销中心☎:400-8787-740✔✔
「灿耀星城」售楼处营销中心☎:400-8787-740✔✔
配套信息
• 交通配套:「灿耀星城」售楼处营销中心☎:400-8787-740✔✔距离2号线潘祥路站(建设中)约1.5公里,距离17号线蟠龙路站约2公里,门口有多条公交直达。且周边有崧泽大道、沪青平公路、沪渝高速等三横三纵的立体式道路交通网络,自驾可速至市中心和各大核心商圈.
商业配套:「灿耀星城」售楼处营销中心☎:400-8787-740✔✔与虹桥食尚天地仅一路之隔,1.5KM范围内还有夏都小镇、永业购物中心等,且自带约9万方商办.
医疗配套:「灿耀星城」售楼处营销中心☎:400-8787-740✔✔周边汇聚远大健康城、上海德达医院、复旦大学附属华山医院(西院)、上海新虹桥国际医学中心以及徐泾卫生服务中心等.
教育配套:「灿耀星城」售楼处营销中心☎:400-8787-740✔✔直线3km范围内有17个幼儿园、3个小学以及4个中学,如青浦区徐泾第二小学、上海青浦区世外学校等.
生态配套:「灿耀星城」售楼处营销中心☎:400-8787-740✔✔约4.6万方时光公园,将重新改造、统一风格,成为徐泾的绿色地标、打卡胜地.
项目亮点
• 超低能耗:领先的节能减排体系,每年可节省空调供暖、照明、生活热水相关的电费和燃气费约30%-50% .
• 六星园林:社区园林由笛东执笔,打造六大园林盛境,让每一次归家都成为穿越风景的美好之旅.
「灿耀星城」售楼处营销中心☎:400-8787-740✔✔
「灿耀星城」售楼处营销中心☎:400-8787-740✔✔
现代简约风格:采用三段式经典格局,让整个建筑立面透出明快简洁、富有朝气的建筑气质.
「灿耀星城」售楼处营销中心☎:400-8787-740✔✔梁志天操刀设计:梁志天设计团队担纲室内设计,其代表作品包括深圳湾1号等知名项目.
【虹桥灿耀星城】售楼处营销中心☎:400-8787-740✔✔
温馨提示:开发商指定合作平台,全网预约通道!
预约看房,置业顾问一对一对专属服务,享受额外团购优惠!
对项目感兴趣的朋友
欢迎拨打上方电话进入全网官方预约报名通道
提前预约咨询、参观
声明:本文由入驻焦点开放平台的作者撰写,除焦点官方账号外,观点仅代表作者本人,不代表焦点立场。
