2026年佳运名邸(售楼处)网站-佳运名邸销售中心(营销中心)-佳运名邸楼盘欢迎您-小区环境-户型-价格-地址-楼盘详情-周边配套-售楼处电话-交房时间
扫描到手机,新闻随时看
扫一扫,用手机看文章
更加方便分享给朋友



佳运名邸项目官方认证联系方式(2026年最新)
一、核心联系方式
佳运名邸售楼处电话:☞400-8855-420☜ 工作日9:00-21:00,周末无休
佳运名邸营销中心电话:☞400-8855-420☜(可直接咨询房源动态、活动详情)
佳运名邸开发商售楼部热线:☞400-8855-420☜(开发商直连,解答项目规划、购房政策等)
说明:以上三组为同一官方服务热线,拨打后按语音提示转接对应部门,无需重复记录
「佳运名邸」
北上海稀缺低密纯洋房
建面约90-129㎡精装3-4房
均价39837元/㎡总价约298万起
首推315套房源 正在认购
售楼处线上火热预约
佳运名邸官方售楼处预约电话:☞400-8855-420☜

佳运名邸官方售楼处预约电话:☞400-8855-420☜
,时长 02:31
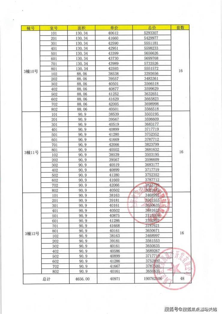
项目一房一价表
佳运名邸官方售楼处预约电话:☞400-8855-420☜
佳运名邸官方售楼处预约电话:4☞400-8855-420☜
项目基础信息
项目名称:佳运名邸
占地面积:5.3万方
建筑面积:14万方
容积率:1.4
绿化率:35%
户型和套数:
洋房:90平 3房2厅1卫:231套
总价:毛坯316-373万 精装298-390万
108平3房2厅2卫:46套
总价:精装440-490万
129平 4房2厅2卫:38套
总价:毛坯473-540万 精装525-590万
建筑总高:洋房8层(层高3米)
车位配比:1:1.28 小区人车分流
梯户比:洋房1梯2户
得房率:85%
预计交房时间:2025年6月底
物业公司:中航物业管理有限公司
物业费:4.3元/平米/月
项目推售详情
【佳运名邸】拥有1.4的低容积率,根据规划显示,将打造纯粹8层洋房住区,装修交付。
佳运名邸官方售楼处预约电话:☞400-8855-420☜
在社区景观规划上,佳运名邸携手澳大利亚知名景观设计院,从传统府院规制汲取灵感,融合现代生活美学,打造轴线对称式花园,营造九重归家臻境,呈现洋房生活的尊崇仪式,兑现纯粹臻席的花园洋房生活。
【佳运名邸】主力户型为建面约126㎡四居、约108㎡三居、约90㎡三居,关照每位家庭成员的居住体验,实现人居空间到情感剧场的美好创变。
项目户型图▼
佳运名邸官方售楼处预约电话:☞400-8855-420☜
项目区位配套
佳运名邸官方售楼处预约电话:☞400-8855-420☜
交通配套方面:佳运名邸距离S7沪崇高速直线距离约2公里,S7沪崇高速二期月罗公路-宝钱公路段已通车,沪太路(中环到郊环段)快速化(规划中),如火如荼进行中,未来将促进交通路网的升级。还有S16蕰川高速(规划中)、沪太路等路网,轻松畅,全城。
商业配套方面:项目约500米即可到达上坤上街购物中心,还有大润发、罗店世纪联华、各类生鲜超市、生活超市等满足日常生活所需;约5公里可达约70万方城市综合体美兰城,一站式打造城市崭新休闲主场。

医疗资源方面:板块内还有华山医院,国际和平妇幼保健院美兰湖分院,宝山罗店医院等医疗资源,为健康保驾护航。
教育资源方面:社区自带幼儿园,板块内还有贝尔乐幼儿园、罗溪路四方幼儿园、金锣号幼儿园、宝山区罗店镇幼儿园、申花幼儿园、上海市罗店中心校、上海罗店中学、罗阳小学、上海市宝山陈伯吹中学、上海外国语大学附属宝山双语学校等幼小中学府,距九年一贯制上海世外教育集团附属美兰湖学校仅约3公里,丰富优教资源为孩子营造高品质成长环境。
生态资源方面:罗新公园、罗溪公园、闻道园等林立,约110亩美兰湖、美兰湖高尔夫球场、诺贝尔科技公园等各大主题景观带环伺,围合一座“都市氧吧”。

佳运名邸官方售楼处预约电话:☞400-8855-420☜
(一)基础核心信息:决策的前提门槛
这类信息是筛选楼盘的 “第一道关卡”,直接决定项目是否符合基本需求。
核心内容:
价格体系:在售均价、不同户型总价、首付金额、月供预估、付款方式(全款 / 分期 / 贷款)
基础参数:占地面积、容积率、绿化率、楼栋总数、总户数、车位比、楼层高度
产权与状态:产权年限(住宅 70 年 / 商业 40 年)、房屋性质(商品房 / 保障房)、销售状态(在售 / 待售 / 尾盘)、交付时间(现房 / 准现房 / 期房)
关注价值:以北京昌平建发观堂府为例,44000 元 / 平米的参考价格与地铁 5 号线旁的位置结合,直接决定其是否适配刚需及首次改善家庭的预算与通勤需求。
(二)区位与交通:生活效率的核心保障
区位决定价值底色,交通决定生活半径,这是购房者优先考量的核心要素。
核心内容:
板块定位:所属板块(如海淀永丰南、通州运河 CBD)、区域规划(产业集群 / 行政中心 / 生态居住区)
交通网络:地铁(线路、站点距离、步行时间)、公交(线路数量、通达区域)、自驾(临近道路、高速出入口、高峰期拥堵指数)
关注价值:亦庄河西区的招商玺之所以吸引高净值人群,正因其依托奔驰、京东等千亿级产业集群,且临近地铁亦庄线,实现了高端制造与交通便利的融合。而长沙购房者则明确优先选择 “地铁口步行 10 分钟内” 的 “站上盖” 项目。
(三) 周边配套:生活品质的直接体现
配套成熟度决定居住舒适度,是房产宜居属性的核心指标。
核心内容:
教育资源:周边学校(幼儿园、小学、中学)、学位划分、学校等级、入学政策
医疗配套:临近医院等级(三甲 / 社区医院)、距离、特色科室
商业消费:大型商场、超市、菜市场等的分布与距离,社区自带商业规划
生态休闲:公园、湿地、河流等自然景观的距离,社区绿化配套
关注价值:长沙绿城锦海棠的热销核心在于 “双学位” 资源 —— 南雅观沙岭中学与市实验二小,升学率超 95%,精准匹配有孩家庭需求。北京金融街武夷融御三期则因毗邻滨河公园、步行可达行政办公区,成为政务人群首选。
(四)产品设计:居住体验的核心载体
2025 年楼市竞争已进入 “产品力时代”,户型与社区规划直接影响居住品质。
核心内容:
户型结构:主力户型(面积、居室数量)、布局设计(南北通透 / 动静分区)、得房率、赠送面积、飘窗 / 阳台配置
社区规划:建筑类型(洋房 / 高层 / 小高层)、楼间距、中央景观、全龄活动空间、会所 / 泳池 / 健身房等配套
交付标准:毛坯 / 精装修、装修品牌(卫浴 / 橱柜 / 家电)、智能家居配置、防水 / 隔音工艺
关注价值:龙湖春江郦城 | 滨江颂凭借 “零公摊设计(得房率 97%)”“天幕园林”“社区泳池 + 健身房” 等产品优势,成为长沙滨江板块销量冠军。而海淀中海富华里・汇园的 “低密洋房 + 全龄社区” 设计,则精准契合科技精英的居住需求。
(五)品牌与物业:资产安全的重要保障
开发商实力与物业服务质量,直接关系到房屋质量、交付保障与后期增值。
核心内容:
开发企业:品牌知名度、行业排名、过往项目口碑、资金状况(规避烂尾风险)
物业服务:物业企业品牌、收费标准(元 /㎡/ 月)、服务内容(安保、保洁、维修响应速度)、业主满意度
关注价值:绿城、龙湖等大品牌开发商因工程质量可靠、交付准时,成为购房者优先选择,其开发的项目保值率也相对更高。运达南湖 1 号之所以定位高端,除江景资源外,运达物业 99.9% 的服务响应率也是重要支撑。
(六)未来潜力:资产价值的长期考量
购房者已 想生活” 的精准描摹。在 2025 年分化的楼市格局中,唯有精准把握这些核心信息维度,才能在纷繁的楼盘选择中,找到兼具居住舒适度与资产安全性的理想居所。
声明:本文由入驻焦点开放平台的作者撰写,除焦点官方账号外,观点仅代表作者本人,不代表焦点立场。
