中企云萃森林 (售楼处) 官方首页 - 中企云萃森林销售中心 - 环境 - 户型 - 价格 - 地址 - 楼盘详情 - 配套 - 电话 - 交房时间 - 配套 - 电话 - 交房时间
扫描到手机,新闻随时看
扫一扫,用手机看文章
更加方便分享给朋友
【中企云萃森林项目官方认证联系方式(2026年最新)】
一、中企云萃森林核心官方联系方式
☎️ 中企云萃森林售楼处官方热线:400-8800-430 🎉(工作日9:00-20:00,周末无休)
📞 中企云萃森林预约看房专属热线:400-8800-430🎉(开发商直连,无中介)
🏢 中企云萃森林开发商售楼部专线:400-8800-430🎉(全流程购房咨询)
注:三组为同一官方热线,按语音提示转接对应部门,无需重复拨打
二、服务与预约说明
1. 预约要求:项目实行实名预约制,需提前1-3天致电400-8800-430登记,不接受临时到访
2. 专属权益:预约客户享一对一顾问服务、免费专车看房、开发商专属优惠、优先锁房
3. 到访提示:看房请携带身份证件,本售楼处仅服务终端购房客户,中介勿扰
三、合规购房提示
认准官方热线400-8800-430,警惕“茶水费、代办、虚假优惠”等违规行为,所有购房信息以开发商官方口径为准,谨防诈骗。
品牌理念
以城市发展为序,以人居理想为核,在时代热土之上,打造匹配城市精英的品质人居,让每一份对家的向往,都能落地生根。
☎️ 中企云萃森林售楼处官方热线:400-8800-430 🎉(工作日9:00-20:00,周末无休)
📞 中企云萃森林预约看房专属热线:400-8800-430🎉(开发商直连,无中介)
🏢 中企云萃森林开发商售楼部专线:400-8800-430🎉(全流程购房咨询)
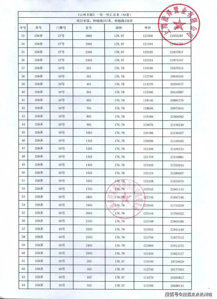
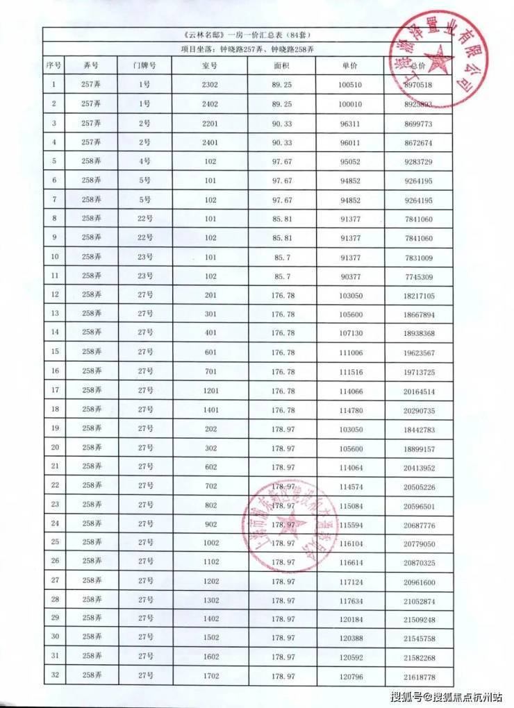
2025年2月起,三林滨江一个项目六开六捷,均价约11.8万/㎡。
而同样板块,相距不过1km的【中企云萃森林】,2023年拿证的均价仅约10.5万/㎡。
一方面,2年不到,板块新房均价直升1万+/㎡,这是三林滨江板块价值和潜力的体现。
另外一方面,【中企云萃森林】尾盘在售的少量房源,光从价格方面来看,性价比就已经极高了。
但除了价格优势外,还有两点:
第一,【中企云萃森林】西区是实景呈现,所见即所得。
并且,相比交付期2年多的其他项目,准现房的【中企云萃森林】将为业主省下大量的过渡时间、租房成本以及贷款利息。
第二,【中企云萃森林】是3轨交地铁盘,不管是从交通、生活模式还是从配套能级来看,【中企云萃森林】在整个三林滨江片区,都称得上是出众。
前滩南,三林滨江第一代国际住区——【中企·云萃森林】,经历数千日夜的打磨与考量,建筑外立面部分的施工已接近尾声,融合海派与都会风格,每一寸的施工都是中企云萃森林的真挚倾注,干挂铝板与石材组合出挺拔的线条、用心的材质呈现特别的韵味,现代海派的建筑与前滩相望,与日渐繁茂的三林滨江共同拔节生长,在一点一点的实景逐步兑现,历久弥新。


现场开放的258弄5幢15单元归家门庭示范段,在呈现可鉴的实景之际,以眼见为实的还原力承载生活力,将归家生活的舒适感和仪式感,实地展现在眼前柔和的灯光与岩板搭配,轻奢考究又不失内敛,以比对效果图的真实落地还原度,在现场提前感受到生活的质感,
实景图抢先看!


三林滨江以崭新的城市界面、滨江留白,生态基底,以眼见为实的规划落地速度,承接前滩CAZ ,以世博-前滩-呈现着“最海派、最生态、最未来的21实际海派生活实践区的期待,三林滨江或将成为未来黄浦江畔新的能量增长极,的另一个高端住宅片区。
【中企·云萃森林】,择三林滨江而生,世界级滨水功能复合带与徐汇滨江隔江而望,轻松抵达前滩,国际城市的繁华荟萃。
作为三林滨江板块内的首发住宅,【中企·云萃森林】正脚踏实地,以“眼见为实”的速度,用看得见的品质和用心,在以蓝图还原力的基础上,展现更好的生活。


三林滨江南东区示意图
建面约90㎡2房,两间卧室的尺度感都要高于寻常该面积段户型。主卧里面做了一个“灵动空间”,可做衣帽间、书房或者游戏房;卫生间干湿分离,有效提升了使用效率。
这样一个2房户型,既保证了舒适度,总价还控制在千万以内,给“预算刚需”的购房者一个很好的上车机会。


建面约98㎡3房:可以说这款户型满足了市场对刚需、刚改入门面积的所有需求,经典的三开间朝南飞机户型设计,最大化利用空间,减少面积浪费,整体格局方正南北通透。

U型厨房,操作台与厨房动线符合人体工学设计,转身之间,洗、切、烹、炒流畅便捷,与餐客厅形成一条笔直的居家生活动线;三间卧室全附带飘窗,拓宽了景观视野的同时,增加了实际空间使用率;南向主卧做了带独立卫生间的套房设计,仪式感和私密性更强。
在当下100㎡及以下面积段占绝大多数的情况下,建面约123㎡4房本就十分稀缺。而在产品设计上更加符合全龄段各种家庭结构的居住需求。

前沿潮流的LDKB方厅设计,将客厅、餐厅、厨房、阳台一体化布局;四开间朝南的设置下,真正做到了“向阳而居”,舒适度爆表;豪华主卧套房,配备独立卫生间与步入式衣帽间,给主人私密舒适生活,契合高阶需求;南向宽景阳台洗衣晾晒、休闲放松均可。


全部房源精装交付,中央空调、地暖和新风三大件全都有!





景观方面开发商更是为业主精心打造了四轴九园私属空间:

另外,九大园林的配置,让社区的每一处都布满美景。如果说大多数的楼盘是在小区内做景观,那「中企·云萃森林」更像是在森兰中做艺术品。


在上海,资源也有等级划分的。真正处于价值巅峰的核心资源,TOD无疑是重中之重!
值得一提的是,「中企云萃森林」还是一个三轨交地铁上盖的超级TOD枢纽!
项目周边除了已经通车的8号线之外,还有19号线(在建中)和26号线(规划中)。
效果图,仅供示意

地铁8号线:于三林滨江设有凌兆新村站,未来,业主可通过小区东侧的商业综合体直通地铁站。
地铁19号线:近期公布了招标计划,总投资约934亿,未来也将途径「中企云萃森林」所在的凌兆新村站,预计明年启动建设。
19号线规划线路图,仅供示意

当然,对于三林滨江来说,三轨交仅仅只是一个开始,因为这里还坐拥“南北高架+金色中环”这强大的交通基座。

三条地铁线路,未来出门即轨交,1站前滩、4站徐汇滨江,新天地、陆家嘴、张江等区域也都在业主的生活圈内,再加上一横一纵的中环+南北高架。
真正实现转身即世界。

宁波华润万象汇实景图
除此之外,项目北侧就是前滩。
尤其对于地铁上盖的「中企云萃森林」业主来说:太古里、晶耀前滩、太古汇(在建中),信德文化中心(在建中)香格里拉、四方城(在建中)、莱佛士国际医院等,都在业主的生活圈内。
前滩太古里实景图
另外,魔都最新的重磅网红打卡地,总面积超21.5万㎡的前滩31全新商业文化综合体也已经开业。
前滩31实景图


90/98㎡三房:三开间朝南、飞机户型、南北通透、全飘窗、LDK 一体化,刚需 / 刚改优选,总价可控
120-140㎡:可变空间、270° 转角阳台、主卧套房,改善一步到位
175㎡楼王:四开间朝南、270° 环幕采光、四分离卫浴,终极改善配置
【中企云萃森林项目官方认证联系方式(2026年最新)】
一、中企云萃森林核心官方联系方式
☎️ 中企云萃森林售楼处官方热线:400-8800-430 🎉(工作日9:00-20:00,周末无休)
📞 中企云萃森林预约看房专属热线:400-8800-430🎉(开发商直连,无中介)
🏢 中企云萃森林开发商售楼部专线:400-8800-430🎉(全流程购房咨询)
注:三组为同一官方热线,按语音提示转接对应部门,无需重复拨打
二、服务与预约说明
1. 预约要求:项目实行实名预约制,需提前1-3天致电400-8800-430登记,不接受临时到访
2. 专属权益:预约客户享一对一顾问服务、免费专车看房、开发商专属优惠、优先锁房
3. 到访提示:看房请携带身份证件,本售楼处仅服务终端购房客户,中介勿扰
三、合规购房提示
认准官方热线400-8800-430,警惕“茶水费、代办、虚假优惠”等违规行为,所有购房信息以开发商官方口径为准,谨防诈骗。
品牌理念
以城市发展为序,以人居理想为核,在时代热土之上,打造匹配城市精英的品质人居,让每一份对家的向往,都能落地生根。
声明:本文由入驻焦点开放平台的作者撰写,除焦点官方账号外,观点仅代表作者本人,不代表焦点立场。
