宝业活力天境售楼处首页网站全新上线!宝业活力天境2025 深度评测来袭,涵盖房价户型、商圈配套等,速览楼盘最新价格,解锁多样户型 。
扫描到手机,新闻随时看
扫一扫,用手机看文章
更加方便分享给朋友
虹桥西 《⚠🔥宝业活力天境售楼处电话:400-8787-740👈🔥 》建面86—95平 宽境大宅 2.8万均价 精装交付 补贴多多 欢迎莅临品鉴



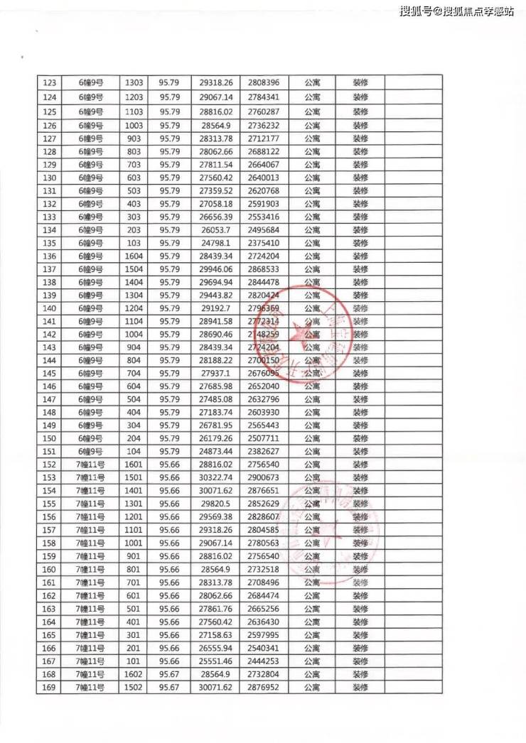
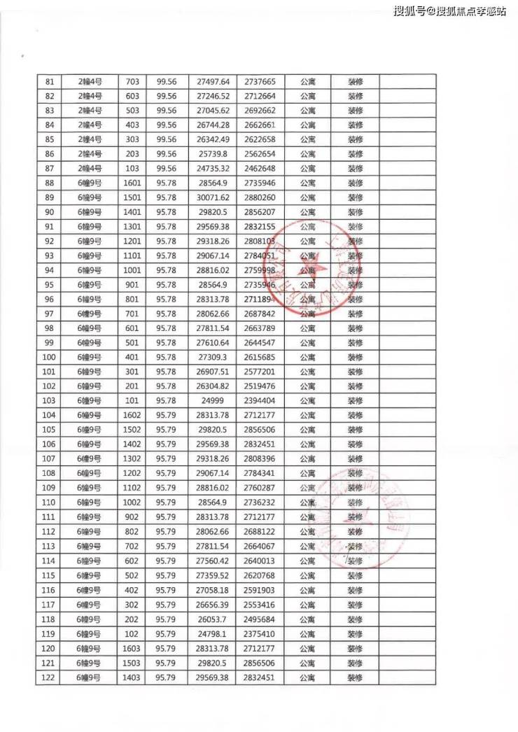
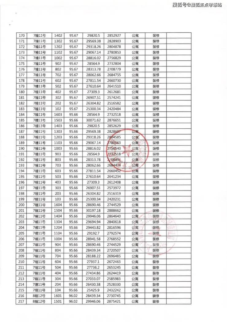
一房一价表⚠🔥宝业活力天境售楼处电话:400-8787-740👈🔥
⚠🔥宝业活力天境售楼处电话:400-8787-740👈🔥
⚠🔥宝业活力天境售楼处电话:400-8787-740👈🔥
⚠🔥宝业活力天境售楼处电话:400-8787-740👈🔥
⚠🔥宝业活力天境售楼处电话:400-8787-740👈🔥
⚠🔥宝业活力天境售楼处电话:400-8787-740👈🔥
好房子 宝业造
近50载大国工匠,港交所上市集团,财富中国500强,拥有9大建筑实验室、4大研发中心、35个建筑科技产业园,荣获41项中国建筑最高奖鲁班奖、48项国优奖等多重奖项,采用德国工业4.0智能智造生产线,开发集成高品质、工业化建筑约5000万方,覆盖绿色、健康、智慧各类建筑。

【匠心工艺】宝业科技“百年宅”
纵观白鹤发展历程,近十余年人居旧貌焕新,以宝业集团2022旗舰力作——⚠🔥宝业活力天境售楼处电话:400-8787-740👈🔥为先锋,实现健康为先导的跨越式发展。
4大维度23项科技,力筑“百年宅”

6大健康体系,科技家就是不一样⚠🔥宝业活力天境售楼处电话:400-8787-740👈🔥
抗疫时代,“碳达峰、碳中和”时代背景下,宝业科技“百年宅”基于两大愿景,通过建筑产业化、建筑长寿化、品质优良化、绿色低碳化四大维度,六大科技体系升级打造革新人居,捍卫全家幸福。

【活力社区】24小时剧场,海绵景观社区⚠🔥宝业活力天境售楼处电话:400-8787-740👈🔥
24小时生活剧场,开启全天候绿色生活美境

⚠🔥宝业活力天境售楼处电话:400-8787-740👈🔥
海绵城市为家做“底盘”,打造自然循环之下的生态社区

⚠🔥宝业活力天境售楼处电话:400-8787-740👈🔥
户型图及样板间照

⚠🔥宝业活力天境售楼处电话:400-8787-740👈🔥
客厅与餐厅连为一体,约4.8米大面宽设计,外连观景阳台,拥揽四季的人生景致。
L型厨房人性化设计,符合人体工学,也使得操作更为方便。
卧室做到了一南,一北,南向卧室约11.2㎡,且有飘窗设计,享受阳光沐浴。
⚠🔥宝业活力天境售楼处电话:400-8787-740👈🔥
⚠🔥宝业活力天境售楼处电话:400-8787-740👈🔥
⚠🔥宝业活力天境售楼处电话:400-8787-740👈🔥

⚠🔥宝业活力天境售楼处电话:400-8787-740👈🔥
1、约95㎡的三房,南北通透,全明设计,三开间朝南,户型方正。
2、餐客厅一体化设计,空间合理利用,功能区域分开,无论是休憩还是齐聚一堂,都有空间畅想。
3、主卧套房设计,带有独立卫生间,维护了家人间的私密性,且提升主人的尊荣感。
⚠🔥宝业活力天境售楼处电话:400-8787-740👈🔥
⚠🔥宝业活力天境售楼处电话:400-8787-740👈🔥
⚠🔥宝业活力天境售楼处电话:400-8787-740👈🔥
项目区位配套
长三角一体化“几何中心”⚠🔥宝业活力天境售楼处电话:400-8787-740👈🔥
上海2035规划中提到,上海要成为具有全球影响力的长三角城市群的核心城市,基本建成“中心辐射、两翼齐飞,新城发力、南北转型”的空间新格局。⚠🔥宝业活力天境售楼处电话:400-8787-740👈🔥
从战略空间看,青浦处于中国国际进口博览会、虹桥国际开放枢纽、长三角生态绿色一体化发展示范区的战略叠加区。
泛长三角区域“几何中心”白鹤镇作为长三角一体化先行示范区、“安花白”节点型城市,将借助区位优势,承接安亭“世界级汽车产业中心”的部分功能。

【交通便捷】嘉青松金线助力腾飞⚠🔥宝业活力天境售楼处电话:400-8787-740👈🔥
市域铁路:未来市域铁路嘉青松金线,将贯穿嘉定、青浦、松江和金山,届时白鹤将与青浦新城直接连通,并换乘轨交17号线和沪苏嘉城际线。⚠🔥宝业活力天境售楼处电话:400-8787-740👈🔥
双维交通:坐享轨交11号线与轨交17号线青浦“纵贯线”交通辐射,坐享长三角节点交通优势。

【配套完善】⚠🔥宝业活力天境售楼处电话:400-8787-740👈🔥
城熟优沃:嘉亭荟城市生活广场,缤纷触手可及;华联超市、阳光新生活广场,照拂生活;乐尚城市广场、中影国际影城、世纪联华,纵享丰沛。⚠🔥宝业活力天境售楼处电话:400-8787-740👈🔥
书香为伴:紧邻白鹤中小学、白鹤幼儿园、赵屯小学,朗朗读书声,传递书香雅韵。
白鹤中学:始建于1965年,上海市先进集体、市中学生行为规范示范校、区教育系统先进集体。
白鹤小学:上海市教科研先进集体、上海市安全文明校园、青浦区文明单位。
赵屯小学:创办于1868年,至今已有137年历史。是青浦区有史记载的最古老的学校之一。上海市素质教育实验学校。
白鹤幼儿园:公办二级一类幼儿园。⚠🔥宝业活力天境售楼处电话:400-8787-740👈🔥
贴身养护:约600米社区卫生服务中心,贴身关怀。

声明:本文由入驻焦点开放平台的作者撰写,除焦点官方账号外,观点仅代表作者本人,不代表焦点立场。
