2025上海建发联发青云上-首页网站丨建发联发青云上售楼处地址_户型_楼盘详情
扫描到手机,新闻随时看
扫一扫,用手机看文章
更加方便分享给朋友
建发联发青云上售楼处电话:400-9966-940✔✔✔
上海建发联发青云上售楼处地址:400-9966-940 【官方认证】
建发联发青云上,浦东热盘! 总价450万起,
国企品质+东方美学社区!附官方预约通道!
建发联发青云上」
浦东曹路地铁全新盘
建面约95-116㎡3房户型
房源共计448套 精装修
均价5.15万/㎡ 总价450万起
样板间线上火热预约
建发联发青云上售楼处电话:400-9966-940✔✔✔
建发联发青云上售楼处电话:400-9966-940✔✔✔
5.1热销场景:
建发联发青云上售楼处电话:400-9966-940✔✔✔
01.项目基础信息
【青云上】项目是2023年7月13日,联发+联发联合体以总价13.365亿元竞得的浦东新区曹路基地15-01地块,楼板价28369元/㎡,溢价率10%,房地联动价51500元/㎡,成交总价13.365亿!

建发联发青云上售楼处电话:400-9966-940✔✔✔
项目规划6栋总层高16层的可售住宅,共448套,主力户型是约95和116㎡,根据出让要求,中小套户型不得低于60%,项目需配建5%以上的保障性住房,全装修比例50%,容积率2.0,限高50米!

建发联发青云上售楼处电话:400-9966-940✔✔✔
社区品质方面,该项目为非人车分流,内部规划有健身点和儿童活动场地,1梯2户,仅12、15F带连廊,楼间距约37-54米!
02.国企品牌背书 买的放心住的安心
选对一家值得信赖的房企品牌非常重要,尤其是近几年,国企越来越受购房者欢迎。
一方面是因为国企整体的品牌、资金实力更强。
另一方面是因为国企品牌,往往附带其他价值,比如社区安全、园林环境……
【建发联发·青云上】由世界500强国企建发集团旗下两大核心房产集团匠心打造。
建发集团 实力国企,2023年《财富》世界500强第69位年营收超8400亿元,资产规模超7200亿元(数据来源于《财富》2022年世界500强排名、建发集团官网)业务涵盖供应链运营、城市建设与运营、旅游会展、医疗健康、新兴产业投资等
建发联发青云上售楼处电话:400-9966-940✔✔✔
联发集团系建发集团旗下核心企业聚焦房地产开发、物业服务、代建业务及城市更新、产业运营等领域连续16年上榜中国房地产百强企业。
一、连续16年上榜中国房地产百强企业
二、2022中国房地产百强企业TOP33
三、布局全国28座城市
四、2022中国房地产公司品牌价值(国企)TOP10
建发联发青云上售楼处电话:400-9966-940✔✔✔
曹路板块地处浦东新区的东部,与产业聚集区域金桥、外高桥、唐镇相邻。
金桥开发区聚焦于三大产业——未来车、新通信、智能造,以浦东1/50的土地贡献了浦东1/4、上海1/15的工业经济规模;外高桥保税区是中国第一个保税区;唐镇北部为上海重点打造的金融信息服务产业基地。
受周边板块辐射影响,曹路板块的发展前景十分广阔。

建发联发青云上售楼处电话:400-9966-940✔✔✔
03.以“诗意东方”美学社区兑现现代理想舒居
在项目的打造上,建发和联发更是携手给出了令人耳目一新的答案!
不同于常规住宅产品的中规中矩,项目自有独一无二“诗意东方“的风格,用8个字来形容就是:
具古以化,去形留意。
阶段性过程效果图,仅供参考

建发联发青云上售楼处电话:400-9966-940✔✔✔
无论是建筑还是景观,既有东方美学的雅致,也有现代审美的潮流元素。让我们具体了解一下:
01 建筑上,东方飞檐+三段式设计,尽显美学气质
项目建筑外立面主色调为香槟金色与灰色相结合,单元入口部位使用蓝眼睛石材及香槟金色金属;更独特的是,项目将东方飞檐元素融入现代美学立面,形成不落俗套,气质清闲,典雅高贵的现代建筑形象,截取现代潮流元素的同时,亦不失东方大气恢弘之势。
阶段性过程效果图,仅供参考

而在建筑主体上采用了传统中式建筑的三段式手法,运用香槟金色和米白色线条对建筑立面比例进行划分,以非对称的设计赋予建筑灵动与美感,纵横线条交织,次序分明;基座处的入户单元门头,也是独具精工细节,给人以尊贵的入户体验。
阶段性过程效果图,仅供参考

02 景观上,中心大花园+阔绰楼间距,生活更具诗意
为了保证每栋楼具有更好的采光、生活舒适度,项目更是将建筑与景观相融合,以一条中心景观轴线贯通社区,倾力打造超大中庭景观花园,多样化的景观设计,移步异景,也让归家入户增添更多诗意。
阶段性过程效果图,仅供参考

建发联发青云上售楼处电话:400-9966-940✔✔✔
同时项目楼栋之间还坐拥阔绰的楼间距,不仅让室内拥有更多阳光,更有效利用景观资源,给予业主更开阔的观景视野,推窗即景,尽赏诗意园林。
03 匠心惊艳示范区,所见既所得,美好就在身边
而更能让人深刻感受项目匠心的是,项目精工打造的示范区!
对于一个楼盘来说,给购房者呈现的最近“品质感”,就是实景示范区的开放,可以让购房者所见既所得,更能触摸到未来生活的场景。
而建发联发青云上匠心打造“三进四境”多样景观,未来交付后,可以让我们看到一个令人惊艳的生活场景!
一进:登门望府阶段性过程效果图,仅供参考

建发联发青云上售楼处电话:400-9966-940✔✔✔
主入口结合中国传统府邸的空间礼序规制,“门庭”采用中国古典建筑形制的斗拱结构作为装饰,传承中式美学,尽显东方诗意。
入口松石相抱,结合特色跌水水景、精选造型树等,再加上入口三级台阶的设计,营造出更具品质感、尊贵感的江南大宅形象。
于此便可步入展示中心,在最高处可以眺望到一片面积达约250㎡的水景,宛如镜面般波光粼粼的水景,在未来交付后也将成为业主的日常。
二进:沁心水镜-烟波桥-高山流水
阶段性过程效果图,仅供参考

建发联发青云上售楼处电话:400-9966-940✔✔✔
行至烟波桥,沁心水镜,踏上烟波桥,项目精心打造的高山流水景墙便可呈现于眼前。
整个空间植入中国造园最基本的叠山理水设计手法,随形就势,削低见高,引水成池,筑土为山,使得水韵林烟景致山美如画,水秀如诗,小中见大,再现自然山水的靓丽风采。
沿烟波桥行至月亭,再回看展示中心,之间高山流水、水韵林烟悦然呈现。至此可一览展示中心的建筑风貌,有如“碧水连天石拱影,万山环绕翠岭长”之意境。
三进:冠云落影-月到风来亭-坐石临流
阶段性过程效果图,仅供参考
步入这里,屹立在眼前的是一座茶亭。项目以中式宫灯造型为灵感,将它作为中国传统文化的符号运用在景观中,与植物、置石组合运用现代手法的演绎出独特的气质。于此“宫灯”造型的茶亭,可以看到项目精心选用重达几吨的花岗岩原石手工切凿而成的茶台,未来可以约上三五好友临水而坐,把酒共饮,好不妙哉。
阶段性过程效果图,仅供参考
建发联发青云上售楼处电话:400-9966-940✔✔✔
一条清韵石径,挑选造型独特的石头、三两组合成景,搭配特选的造型植物,极具艺术美感。而清泉石流景墙背后,就是未来业主的生活区。
无论是项目的建筑、景观,亦或是示范区的打造,我们从中都可以感受到一股“诗意东方”的气质,而一处处精益求精的细节设计,也尽显项目对于当代人理想生活需求的深入思考。
04.项目推售详情
最新消息:浦东准轨交盘【建发联发·青云上】推出448套全部房源,共包含建面约95㎡经典3房和建面约116㎡轻奢3房,均价5.15万/㎡,已经开盘,可直接认购。
建面约95㎡3房2厅2卫▼
建发联发青云上售楼处电话:400-9966-940✔✔✔
主卧套房
独立卫浴,尊崇惬意起居生活
三开间朝南
让阳光与清风 交织心灵的温暖
餐客厅一体化
扩容活动空间,延伸家居享受
户型内引入U型厨房设计
空间更实用也更方便。
建面约95㎡样板房
两间卧室朝南,均带有飘窗,主卧自带独立卫浴,小户型也可以拥有酒店套房般的体验。北向房间设计双飘窗,这也就意味着拥有双向景观,给了生活更多一种的可能。
建面约95㎡样板房照片
建面约116㎡3房2厅2卫▼
建发联发青云上售楼处电话:400-9966-940✔✔✔
三卧室全飘窗
科学布局,悦享自然美好
南向宽境客厅
灵动设计书房/儿童乐园,延伸生活尺度
U型厨房
阔绰明亮,美好私厨时光
主卧套房设计
飘窗独卫,境见优雅生活
05.项目区位配套
三大产业高地环抱,无缝耦合金桥
曹路为金桥、外高桥、唐镇三大产业聚集区域环抱,区位优势得天独厚!
金桥定位现代智造创新中心,金桥开发区实际上横跨金桥曹路两镇,部分产业园区落在曹路范围内;外高桥定位国家进口贸易促进创新示范区,其中外高桥港区六期单元也位于曹路;唐镇当下的银行卡产业园二期单元部分也位于曹路!(信息来源:浦东新区曹路镇国土空间规划2035)
示意图,仅供参考
三大产业高地环抱,驱动曹路城市功能快速迭新,也将持续导入高薪高知人才,驱动曹路板块势能澎湃崛起!
在区位上,曹路更是与金桥形成锯齿形耦合,甚至金桥打造的申江地区中心——金鼎天地,相当部分土地就在曹路范围内!
处在金桥与曹路交汇处的金鼎天地,是一个总体量275万方的航母级城市综合体,将办公、商业、娱乐、生活等融合在一起,一站式满足所有需求。该项目商业规模接近30万方,另外打造两幢180米高的双子塔,被定义为“365天永不落幕的明日智慧之城”!(信息来源:浦东发布)
效果示意图,图片来源金桥集团官微

从「建发联发青云上」地块,经在建的轨交崇明线,2站即可到达金鼎天地!
轨交2站到金鼎,新房价格下降近3万/㎡
曹路已经有地铁9号线运营中。值得一提的是,作为上海东西轨交的交通动脉之一,地铁9号线的沿线商圈能级非常高,可以到达金桥、陆家嘴、徐家汇、漕河泾等科创产业高地。
而在建的轨交崇明线则让曹路进一步高效嵌入金桥及浦东地区的轨交网络。
崇明线线路走向图图,图源上海崇明官微

崇明线已经在建,预计2027年建成通车(来源:上海发布)。届时从凌空北路站2站即可到达申江路站,换乘12号线;3站到达金吉路站,可换乘9号线。
崇明线+12号线+9号线,曹路与浦东和上海市区各个重要节点建立了快速连接!
轨交线路示意图,仅供参考

从「建发联发青云上」地块,直线距离约800米(百度地图测距)即达凌空北路站,2站到申江路站和金鼎天地!
令人震惊的是,两站轨交,新房价格差了近3万/㎡!
示意图,仅供参考

金鼎天地配套住宅金鼎阅府,新房备案价格7.95万/㎡,且实际上更靠近崇明线宝高路站点,和「建发联发青云上」实际上就一个站的距离。「建发联发青云上」联动价仅5.15万/㎡!
1站轨交,新房价格差2.8万/㎡!一套100㎡的房子,总价差约280万!
这份性价比,「建发联发青云上」从拿地那一刻,就占据了优势
同价格段高性价比,同环线价格洼地
放在整个浦东范围内,「建发联发青云上」在地段上的优势十分明显:单价5万左右价格上段上的价值高地+外环线上的价格洼地。
从同总价板块来看:
示意图,仅供参考

建发联发青云上售楼处电话:400-9966-940✔✔✔
【建发联发青云上】房地联动价约5.15万/㎡,这个区位和交通捷程度,显然优于其他400-500万级,位于浦东南部的板块的项目
从同环线板块来看:
示意图,仅供参考

建发联发青云上售楼处电话:400-9966-940✔✔✔
【建发联发青云上】直线距离外环仅约3公里,通过北侧的五洲大道可直抵中环。
在目前浦东外环旁区域的新房价格体系中,三林约10万+、周浦约6万+、康桥约6.6万+、唐镇约7万+(来源:根据网上房地产公示数据整理),也就是说「建发联发青云上」从区位上看可以匹配约600-1000万才有的地段价值。
毗邻金桥唐镇外高桥三大产业区,800米到轨交站(在建,直线距离)、轨交2站到申江路站(可换乘12号线)及金鼎天地、3站到金吉路(可换乘9号线)及金桥开发区,新房价格只有5.15万/㎡,总价仅约450万起。
这份性价比已经是浦东其他板块和楼盘难以企及的高度!
建发房产和联发集团摘取这块土地后,带着满满的信心和诚意,将新一代“诗意东方“系列中式产品首次在此项目亮相,以“爆棚”的产品力,不负这块土地,打造区域人居标杆!
交通配套方面:轨道交通崇明线在建中,规划凌空北路站,距离本项目步行直线距离约 800 米。
崇明线一期预计2026年通车,地铁开通后2站申江路可换乘12号线、3站金吉路可换乘9号线,交通便利,可满足日常通勤需求。

商业配套方面:周边有荣欣广场、棠里广场、宝龙城市广场、金泰商业广场等满足日常生活所需。
教育资源方面:12-01地块东侧在建幼儿园,预计2023年7月份竣工,15-01地块南侧在建初中和小学,预计2024年6月份竣工备案完成移交教育局开办,预计招生时间2024年9月。(教育免责:政府不对预售房屋进行学区划分,项目对口学校最终以交房后教育主管部门公布为准)
在建小学实拍

在建初中实拍

医疗资源方面:上海长征医院(在建)、浦东肺科医院、上海市第七人民医院曹路门诊部等。
建发联发青云上售楼处电话:400-9966-940✔✔✔
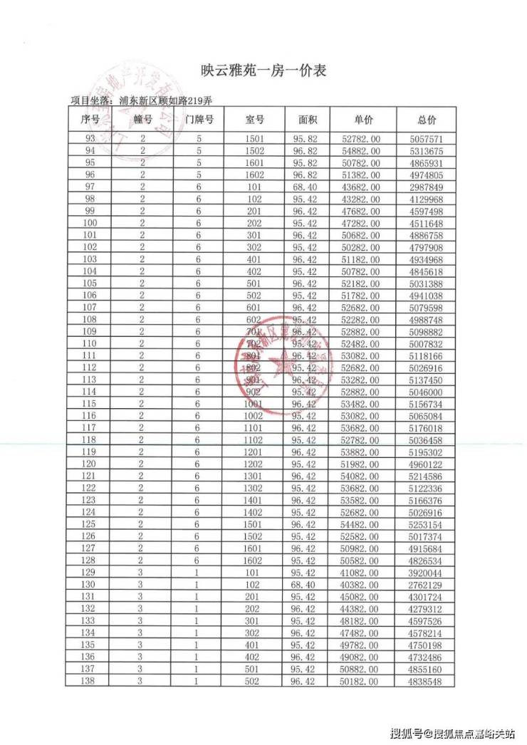
项目一房一价表▼
建发联发青云上售楼处电话:400-9966-940✔✔✔
建发联发青云上售楼处电话:400-9966-940✔✔✔
建发联发青云上
浦东曹路地铁全新盘
建面约95-116㎡3房户型
房源共计448套 精装修
均价5.15万/㎡ 总价450万起
样板间线上火热预约
建发联发青云上售楼处电话:400-9966-940✔✔✔
声明:本文由入驻焦点开放平台的作者撰写,除焦点官方账号外,观点仅代表作者本人,不代表焦点立场。
