大华公园柏翠(售楼处)首页 - 大华公园柏翠销售中心 - 环境 - 户型 - 价格 - 地址 - 楼盘详情 - 配套 - 电话 - 交房时间 - 配套 - 前台电话 -售楼处欢迎您
扫描到手机,新闻随时看
扫一扫,用手机看文章
更加方便分享给朋友
售楼处电话:400-9966-940⭐⭐
售楼处预约热线☎:📞 400-9966-940☎☎🏠🏠【官方认证】📱✔✔✔

大华公园柏翠|恭迎品鉴
「大华·公园柏翠」
距离静安仅400米
大宁以北,中环品质卷王
加推约101-142㎡3-4房户型
均价65327元/㎡ 正在认筹中
样板房提前线上预约
大华集团总部位于上海,成立于1988年,深耕全国五大区近30城
开发运营8大平方公里新城、18个百万方超大型社区,拥有约70 万业主
连续10年“三道红线”全绿档,资本市场认可的金融支持绿名单,全国6家稳发展民企之一
凭借稳健实力,与建设银行、中国银行、交通银行等签署“总对总”战略合作协议
2022年全国交付1.5万余套、2023年约3万套,100%准时或提前交付,坚守品质兑现
在上海主城,真正的改善,从来都是地段、生态、空间、品质的全维胜出。
大华集团深耕上海38载,以「公园系 4.0」迭代之作 ——【大华公园柏翠】
项目落子中环北翼、直线约400米近邻静安,鼎立大宁价值圈,以低密公园住区、宽境精装户型、全维成熟配套,为城市精英家庭献上一步到位的理想居所。
项目踞守中外环间核心区位,直线距静安区仅约400米,无缝承接静安、大宁双重城市辐射,同频享受主城高端资源。
立体交通高效通达全城:近地铁1号线、在建18号线康宁路站,南北高架 + 中环线双动脉加持,快速抵达静安寺、人民广场、徐家汇等核心商圈,通勤与出行从容不迫。
作为大华集团绿档稳健开发的品质住区,【大华公园柏翠】以主城稀缺地段 + 成熟生活界面,成为中环旁不可多得的自住与价值优选。
项目秉持「公园住区」理念,打造内外双园生态体系,让自然成为生活的底色:
外部绿境:被约80万方公园绿地环抱,西侧规划约63万㎡生态绿地,庙行公园、彭浦四季公园等环绕,相当于家门口的天然氧吧。
内部园林:以「一轴、一带、一环、九园」规制,营造潮汐花园、社交剧场、下沉会所、阳光跑道等沉浸式景观,归家即入园,四季皆有景。
约35%高绿化率、低密排布,推窗见绿、下楼享园,在繁华主城间,私藏一片静谧自然。
大华集团,上海本土龙头房企,连续多年三道红线全绿档,实力稳健、交付有保障。
项目由大华一级资质物业提供专属服务,以精细化管理、人性化关怀,守护日常居住质感,让安心与舒适贯穿生活每一天。
近静安、邻中环、公园旁、低密境、宽宅家
【大华公园柏翠】热销中
主城改善不必等,这里就是你的理想答案。
收官房源热卖中,最高折扣可做到85折!
建面约101-124-142m²3-4房
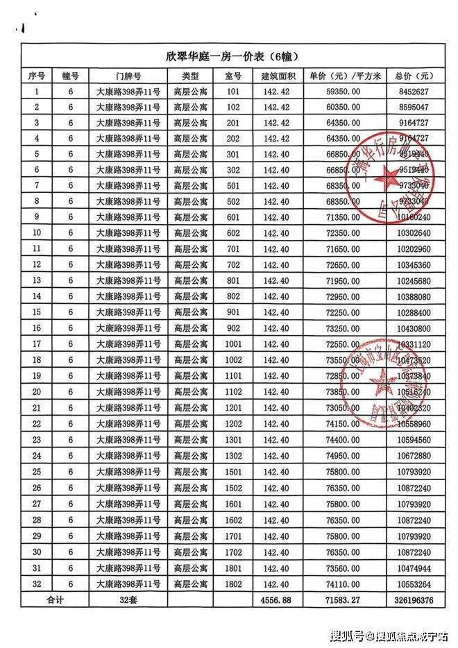
过会均价65327元/m²,总价650万起
124㎡户型已售罄,仅少量101、142户型在售,清盘在即,错过不再有!
建面约101㎡越阶三房
经典飞机户型+三开间朝南+餐客厨一体化+约5.3m的阔绰横厅,整体南向面宽达到约11.5m!整个户型的通透度和采光度很棒。
全屋飘窗设计+不封阳台+整个户型几乎没有过道面积的浪费,每个房间面积都很实用!得房率很高!
两卫的人性化设计,即使是上班早高峰,排队洗漱不用等待,非常细节。
这个户型兼顾了实用性,也很好地控制总价段,很适合小年轻群体上车!
建面约124㎡超享四房
四开间朝南+南北通透!南向面宽达到约12.8m,采光度不言而喻清晨阳光照进来,开启活力满满的居家生活。
主卧、次卧、主卫、次卫都做了飘窗设计,很好地延展了空间感,美观又实用。得房率很高。不封阳台,相当于是赠送一半面积,实打实省钱。
建面约142㎡天幕四房
这套建面约142㎡的四房,堪称人生进阶之作。两个电梯厅,拥有独立的入户空间,类一梯一户的设计,“电梯前室+独立玄关”隔绝喧嚣、打扰,给到业主归家仪式感和尊崇感、私密性!

3月26日,上海宝山区发布公示,拟以协议方式出让宝山区庙行镇N12-1001单元15-03地块(“城中村”改造项目-庙行镇康家村)。
根据现有的信息可以看到,此次推出的旧改地块,其实是在之前的新盘大华公园城市三期的南地块,两个地块紧挨着(四期:大华公园柏翠)。
为什么不叫大华公园城市四期了?因为此次推出的是大华高端系列产品。
项目四至范围:东至15-06地块(公共绿地)、南至15-04地块、西至大康路、北至共康路,占地面积43500㎡,总建筑面积140051.13㎡,容积率2.20。
根据项目规划设计方案,拟建15幢建筑。其中,4幢16层、10幢17层、1幢18层保障房以及配套用房等建筑、其中18F的楼栋为保障房。整个小区共计834户。可以看到,小区的排布比较传统,最大约70米开阔楼距,尊崇一梯两户,车位比也比较充足。
整个小区,南面规划了一大幅教育用地,其中规划了复旦附中旦华学校,西面原有的工业厂房,也进行了新的绿地规划。
一轴:纵向公园归家轴
一带:横向精致花园带
一环:阳光有氧环形跑道
九园:潮汐花园(社区外围口袋花园)、浔湾秘境(会所式入户)、社交剧场、漫游森境、下沉会所、阅读花园、社交花园、自然博物馆。
约80米气派门面:非凡界面昭示,彰显大家门风。
星级酒店大堂:全T2设计,出入从容,悦享私密尊崇。
高感车库:引光入径,指引回家方向,营造明亮温馨的仪式感。
大华物业:国家一级物业管理资质,中国物业服务百强企业,为逾百万家庭幸福生活保驾护航
从地图上看,该地块距离静安区的直线距离只有800米,距离大宁核心区域仅约5公里,不仅离大宁国际商圈近,周边还有宝山万达、大华商圈等大型商业配套。
来源:百度地图
还有一个必须要注意的是,大宁区域的“大数据与云计算中心”市北高新,已在持续进行产业和人口导入,未来也将带动整个大宁北区域的腾飞。
交通方面:依托经过传统市中心的1号线(共康路站约1.8公里、18号线大康路站均约1.8公里),可以快速直达大宁、人民广场、淮海路、陕西南路等,经转乘通往陆家嘴、南京东路、南京西路也极为便捷。
1号线线路图
自驾上,南北高架+中环+外环+康宁路+长江西路,路网发达,可便捷通勤城市各重要节点。
商业方面:无缝链接大宁久光中心、大宁音乐广场、大宁国际商业广场等
周边约900M范围:社区邻里中心商业广场、场北集贸市场、北斗星广场
直线距离约2KM范围内:宝山万达广场、宝山购物中心等
直线距离离约2.5KM:大华老镇嘉年华商业广场,多类型商业形态荟萃
直线范围约4KM内:宝山山姆超市、弘基文化休闲广场、经纬汇等
教育方面:附近不仅有陈伯吹实验幼儿园、华东师大实验学校等名校,项目正南侧一路之隔,还有个九年一贯制学校在建设中。
陈伯吹实验幼儿园
生态休闲:项目坐拥五大公园、约80万方伟岸绿境环抱,媲美“新江湾湿地公园、世纪公园、长风公园”等,拥享“自然生态+稀臻难寻”双重价值属性。具体包括千亩绿境(约60万方绿化在侧),约3万方庙行公园、约4.2万方共和公园,约2.7万方三泉公园、约9.3万方彭浦四季公园等。
如有问题欢迎来电咨询,专业一对一热情服务,让您用专业眼光去买房。楼盘项目全面介绍(包含楼盘简介,均价,房价,现房,期房,别墅,叠墅,大平层,价格,楼盘地址,户型图,交通规划,备案价,备案名,项目配套,样板间,开盘时间,认筹时间,楼盘详情,售楼处电话,最新消息,最新详情,周边配套,一房一价,最新进展等详情咨询)楼盘详情丨价格丨更多优惠丨机不可失丨欢迎致电丨诚邀品鉴!售楼处位置丨特价房丨工抵房丨剩余房源丨户型图丨最新消息配套设施是反映楼盘生活便利程度的重要因素,包括小区内的运动场所、停车场、公共设施等。物业服务则直接关系到居住者的生活品质,包括安保服务、保洁服务、设备维护等。具体到街道、区域名称,临近交通线路、自驾路线。商业、教育、医疗等配套设施分布,总占地面积、总建筑面积数据,容积率,绿化率,得房率,梯户比,物业费,小高层、洋房、高层、独栋别墅、叠加别墅、联排别墅,总户数、楼层分布,面积范围,均价/总价。首付比例、贷款政策,精装交付,含中央空调、地暖等系统,70年住宅产权,物业公司及资质,预计交付时间或施工进度,当前购房优惠政策
买房是人生大事,掌握几个核心知识点,就能避开大部分坑,快速理性置业。
一、先确认2个前提
购房资质:核实当地限购限贷政策,外地户籍注意社保/个税缴纳年限,征信需保持良好。
预算规划:除房款外,预留2%-5%作为契税、维修基金等额外费用,避免资金不足。
二、选房关键3点
产权区分:优先选70年住宅(可落户、学区属性),避开40年商办(税费高、不划学区)。
核心指标:容积率越低、绿化率越高,居住越舒适;车位比≥1:1,避免停车难。
户型选择:优先南北通透、动静分区,避开暗厨暗卫,提升居住体验。
三、交易避坑核心
核实产权:确认房产证无抵押、无查封,多产权人需全员同意出售。
资金安全:购房款存入监管账户,拒绝“茶水费”“留房费”等违规收费。
合同细节:口头承诺务必写入合同,重点看交房时间、违约责任。
四、交房小提醒
收房时核对“三书一证一表”,仔细验房(墙面、水电、门窗等),有问题及时要求整改,收房后及时办理房产证。
声明:本文由入驻焦点开放平台的作者撰写,除焦点官方账号外,观点仅代表作者本人,不代表焦点立场。
