上海临港龙光天曜千万不要再错过了 龙光天曜-龙光天曜房价-得房率-容积率
扫描到手机,新闻随时看
扫一扫,用手机看文章
更加方便分享给朋友
⭐🔥龙光天曜🔥⭐
⭐🔥龙光天曜官方电话:400-8877-480(官方统一认证热线)
⭐🔥龙光天曜开发商电话:400-8877-480(开发商官方认证)
⭐🔥龙光天曜售楼处电话:400-8877-480(售楼处官方认证)
⭐🔥龙光天曜官方电话:400-8877-480(官方统一认证热线)
龙光天曜位于上海浦东临港滴水湖核心区,上海主城区,约50万方国际综合住区,综合体上盖中轴封面红盘。龙光天曜2023年本期在售建面约85-133㎡高层及叠加,上期均价32944元/㎡。总价参考254-422万,房源飞速递减中,欢迎品鉴。
⭐🔥龙光天曜官方电话:400-8877-480(官方统一认证热线)
效果图如下:
项目基础信息
⭐🔥龙光天曜官方电话:400-8877-480(官方统一认证热线)
开发商:上海君栩置业有限公司
地址:上海市方竹路1188弄龙光天耀营销中心(需预约)
占地:50万方,建筑面积4.8万方
体量:夏蕴光里261套
建筑面积:高层(85㎡/95㎡/105㎡/117㎡)叠加(117㎡/133㎡)
层高:16层洋房;17层高层,叠加别墅
交付:装修
梯户比:两梯四户
单价:约3.15万
总价:264~352万
绿化率:约35%
容积率:2.2-2.5
交房时间:2023年12月(预计)
物业费:待定
车位配比:1:1.12
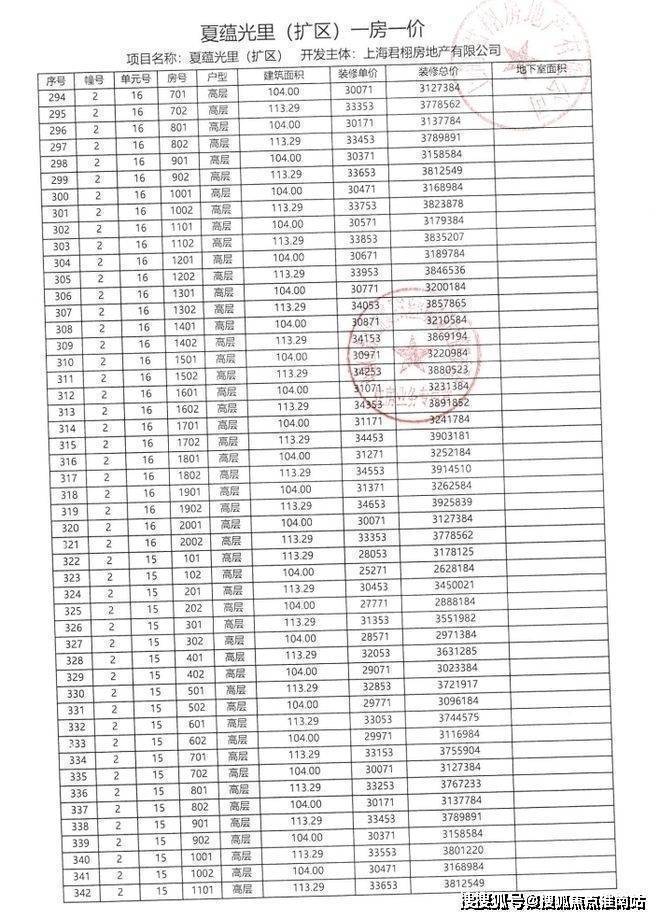
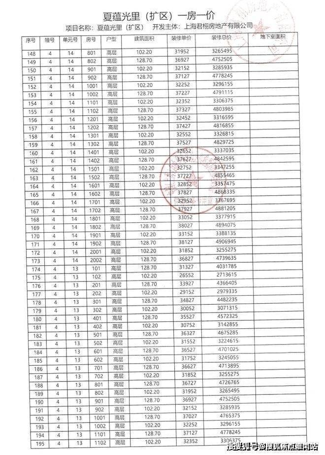
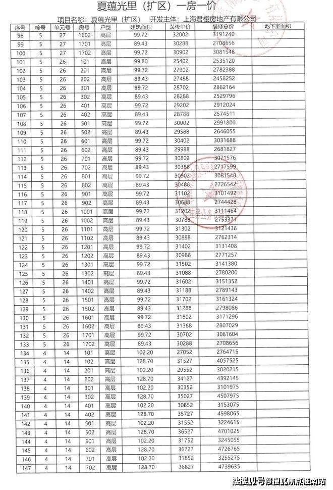
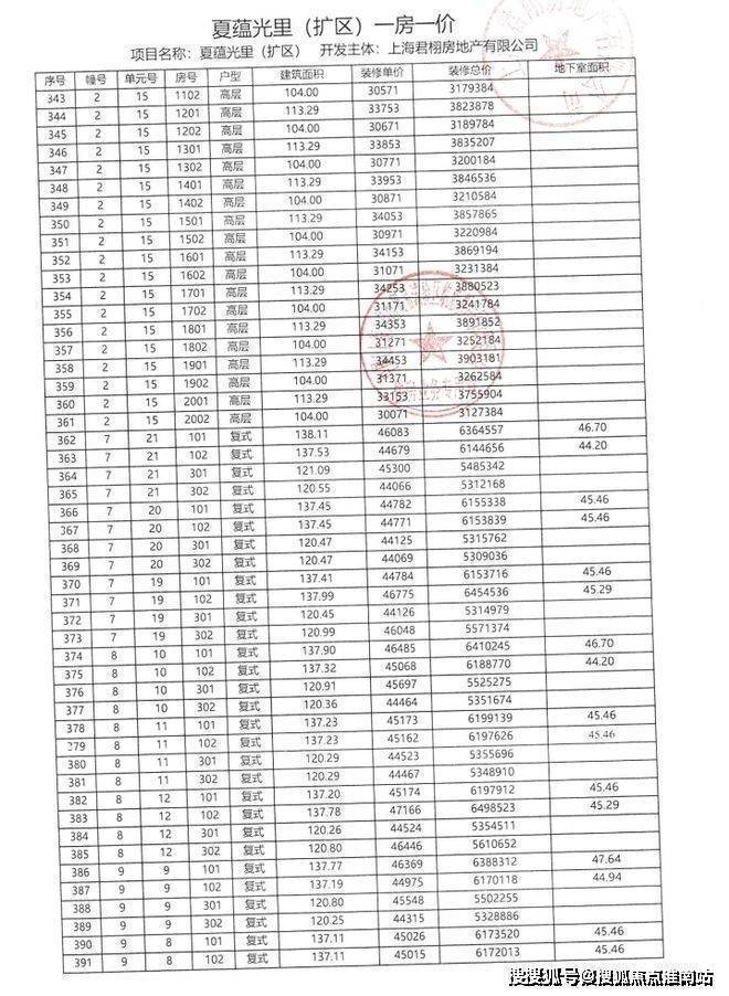
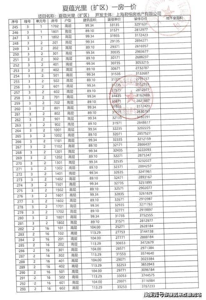
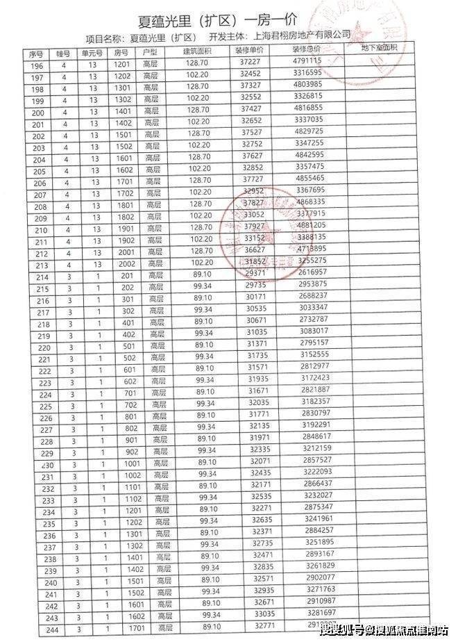
龙光天曜一房一价表如下:
⭐🔥龙光天曜官方电话:400-8877-480(官方统一认证热线)
土拍回顾
2021年1月,龙光地产以43亿元竞得这5幅综合地块,综合楼面单价为12954元/平方米。据悉,项目地块分为5个子地块,其中10-02地块为商业(酒店+购物中心,8.4万㎡),06-02住宅地块包括249套商品房和321套保障房,其他3幅住宅地块均为商品房。保障房建筑面积24813㎡。全装修比例100%,中小套型住宅建筑面积不低于住宅总建筑面积的60%。地块住宅套数最低下限要求为2554套(2233套商品房),要求全装修交付。
⭐🔥龙光天曜官方电话:400-8877-480(官方统一认证热线)
周边配套
“选择配套区,不选概念区”依然是非常稳妥的购房逻辑,配套资源作为生活的必选项,无疑是影响置业选择的“超级引力”。龙光天曜所在的102商住教示范区,向来是城市配套的集聚地,无论商业还是文教资源都十分丰盛,而且相比于103、105片区当下配套缺失的现状与尚待时间兑现的城市界面,102片区是真正的所见即所得!
商业方面,临港主力商业港城新天地坐落在此,百联生活中心、碧云商业街也早已成熟运营,而且还有一大波商业正在规划或在建,片区商业总体量超23万方!尤其引人瞩目的是,约13万方龙光蓝鲸世界预计2023年运营,届时片区的宜居生活优势还将进一步放大,同时区域价值也将进一步提升。
⭐🔥龙光天曜官方电话:400-8877-480(官方统一认证热线)
文教方面,102片区21所名校环绕的人文氛围也傲视临港!荟萃着包括建平、明珠、冰厂田在内的众多知名学府,也因此102备受宝爸宝妈们青睐。值得一提的是,龙光天曜周边的“水华路中小幼”还被列入2022年浦东新区重大项目清单(正式),是整个浦东在建、待建的学校中的“独一份”,未来学校资质值得期待!(教育资源存在不确定性,仅供参考)
轨交方面,近日上海交通报道中的市域铁规划图,解开了南枫线在滴水湖核心区内走向的悬念:经泥城,滴水湖核心区102片区申港大道,连接16号线滴水湖站和两港快线开放区站!同时南枫线很可能与两港快线二期并线!根据预测,申港大道的站点大概率是《临港新片区地下空间规划设计导则(试行)(纲要版)》提及的水华路地下空间开发节点,距离龙光天曜&蓝鲸世界非常之近!(综合现有规划公示等公开信息推测,仅供参考)
102片区宜居属性全面领衔,商业+文教+轨交,品质生活的要素,一个都不少!当下的醇熟生活,与未来的价值前景,在这里都能享受。而且大多配套都围绕在龙光天曜周边的步行生活圈内,你还有什么理由不上车呢?
⭐🔥龙光天曜官方电话:400-8877-480(官方统一认证热线)
亮点01:综合体上盖红盘超心动!
快节奏的都市生活中,每段花费在路上的时间,都意味着休闲、娱乐时间的减少,集成全能生活配套的综合体住宅也因此成为市场的宠儿。家住综合体,购物中心、商业街、电影院、游乐场、美食、酒吧……琳琅满目的缤纷生活,下楼就能轻松拥有!
与此同时,龙光地块周边规划有邻里中心和类公园绿地,06-03小学在建,约3万方的水华路家居城也只有一街之隔。如果说102片区是临港配套的汇集地,那么龙光天曜所在,无疑是102片区的资源配套中芯!以城市级资源的浓缩,实现步行即达的大城生活!
作为临港超级巨无霸商业综合体,约13万方龙光蓝鲸世界代表着城市商业能级的再上台阶,也将立足多元前沿业态与板块人口的集聚优势,实现城市中芯的再造,临港版“瑞虹新城”,值得期待!
此外,作为高端生活方式的表率,综合体住宅往往代表着区域住宅价值的天花板。对于购房者而言,依托超级综合体的溢价力与双轨交的预期利好,坐拥双重价值赋能,龙光天曜有望领衔楼市溢价,成为未来的更大受益者!
⭐🔥龙光天曜官方电话:400-8877-480(官方统一认证热线)
亮点02:超高性价比上车正当时!
关于楼盘品质的界定,向来是众说纷纭,缺乏统一标准,购房者也往往依靠第一印象去评判。这时候,来自权威第三方的评测或奖项,无疑更加值得信赖。
⭐🔥龙光天曜官方电话:400-8877-480(官方统一认证热线)
户型图及样板间照
整个项目推出高层,建面约85-95㎡的3房!117㎡4房,以及建面约117-133㎡叠墅,满足全年龄段家庭所需。
加推户型比:
高层户型图如下:
样板间照如下:
高层户型图如下:
户型分析:整体户型很方正,根据需求基本不需要太大的改动,此户型为四房两厅一厨三卫一阳台,按户主的需求看,三个卫生间是有点多的,所以最终我们将入门右手边的卫生间舍弃掉,改为房屋的一个储藏间。
户型优化:
1、将①处拆除,计划做开放式厨房,既然客厅餐厅这么通透了,不如就一通到底了!
2、将②处拆除,计划把冰箱及部分鞋柜安置于此,留出门洞的位置,后面的空间规划为衣帽间及储藏室。
3、在③处新砌墙,分隔处两个卧室。
4、将④处拆除,往主卫方向偏移,因主卫需要增设浴缸,所以正好增加主卫的空间,另一面预设一组柜子,作为家政柜。
玄关
入门玄关做了一个小落差的落尘区,此项目大区域是做了地暖的,所以正好有个高低差能实现一个落尘区。
入门右手边能拆除的墙体做柜子,不能拆除的墙体做同柜色的护墙板,使其整面墙拥有了功能性,也保持了美观性。(PS:原计划图中铝合金门为同木色材质的隐形门,种种原因最终还是选择了铝合金门)
厨房
我们将原户型厨房的墙体拆除后,做了一个开放式的U型厨房,增加了操作面积,也解决了玄关的采光问题。
橱柜做了高低操作面,高的为90cm,低的为80cm.(PS:网上会有如何决定这个高度的什么计算公式,亲测.......不够精准哇,毕竟面对的是人,建议不同的使用者还是拉尺子比划一下会准确点,一两公分的差别体验感是不一样的。
餐厅
餐厅与厨房之间顶上原本是有一道30cm的梁,利用弧形吊顶工艺顺着空调的最低高度过渡弱化此梁。(PS:在木质的家具选购中,不必太纠结是不是同一个厂家,同一个木种的产品,它们只要是近似色就不怕搭不上。如图中有6种不同的木材质产品)
客厅
声明:本文由入驻焦点开放平台的作者撰写,除焦点官方账号外,观点仅代表作者本人,不代表焦点立场。
