2026年.上实云端-上海(上实云端)楼盘详情-上实云端房价-户型-容积率-小区环境
扫描到手机,新闻随时看
扫一扫,用手机看文章
更加方便分享给朋友



——上实云端——
上实云端售楼处电话:400-8855-420✨✨【最新预约】⭐⭐⭐⭐⭐
上实云端营销中心电话:400-8855-420✨✨【最新认证】⭐⭐⭐⭐⭐
上海上实云端官方售楼处电话:400-8855-420✨✨ VIPLINE✔✔✔【最新发布】⭐⭐⭐⭐⭐
如有问题可来电咨询,线上售楼中心,预约销售专员,一对一为您服务!
想了解上实云端更多信息?拨打售楼处营销中心热线:400-8855-420✨✨ (中介勿扰)【24小时热线】
上海新房成交的怎么样,哪个区域成交量最高,毫无疑问是大虹桥,大虹桥是国家战略定位,世界级虹桥商务区。
上实云端位于虹桥华新镇,属大虹桥拓展区,距离虹桥火车站约8公里,虹桥3-4公里范围内的新房均价都是6万+的,上实云端才45000/平,确实超高的性价比。
当下房地产市场比较萧条是该买还是不该买呢,12.14上海新政的3大重磅利好,就是让你上车的好机会。

虹桥主城区旁+地铁25号线
上实·云端
一楼实景院落示范区,大美呈现!
建面约95㎡准现房洋房
均价4.5万/平,总价412万起
火爆热销中,欲购从速!
青浦华新早已今非昔比,蛰伏多年后凭借大虹桥发展红利,成长为具有一定规模的商业居住区,如今正值价值迸发之际。
上实云端位于华新板块核心,与虹桥前湾地区核心直线距离不过2公里,与虹桥核心区直线距离不过8公里,可谓是近水楼台先得月。

区位示意图,以实际为准
二手房方面,青浦华新的次新房已有成交数据,恒文星尚湾二手房成交价高达65746元/平,虹桥金茂悦也有58264元/平。

区位示意图,二手房数据来源于链家
新房方面,去年四批次土拍出让的华新项目,容积率为1.5、2.0,首推地块规划有13-16F住宅,联动价约4.7万/㎡。
上实云端整体容积率1.5,规划有7-8F电梯洋房,均价约4.57万/㎡,产品舒适度更高,肉眼可见的性价比!

区位示意图,数据来源于上海土地交易市场
为什么说到容积率?
容积率直接影响建筑形态,这又关乎社区格调、私密性、舒适性。
大虹桥周边已鲜少有低容积率的地块,蟠龙天地二期高层均价约6.15万/㎡,三期洋房高达约6.75万/㎡,足足差了4000元/㎡。
这就是低密洋房带来的高附加价值。
上实云端由11栋7-8F电梯洋房组成,拥有奢阔楼间距,生态公园+现代洋房,居住舒适度倍增!
上实云端效果图
国企品质低密洋房,
高得房率+奢阔楼间距+园系森林居所!
上实云端是大虹桥周边臻稀低密洋房,由上海实业(集团)有限公司旗下的上海实业城市开发集团有限公司开发建设。

上实云端效果图
第一,国企上实集团匠筑,交房有保障!
上实集团旗下拥有沪、港、新三地七家上市公司,业务涵盖生物医药、环保基建、房地产、金融和消费品等五大产业领域。
上实城开27载,香港联交所主板上市,业务主要分布于上海、北京、天津等11个重点城市,造就了上海万源城、城开御瑄、城开云外、TODTOWN天荟等一批中高端项目。
在房企频繁暴雷、追求利润至上的当下,上实城开有国企背景护航,作为百强实力房企,品质卓越,交房有保障,安全值得信赖。

第二,云系园林谧境,城市都心的森林居所!
上实云端以海派精工融合现代美学,创造自然、艺术与生活和谐共鸣的云系园林谧境。
景观规划“一轴一心一带四组团”设计,整体布局为舒展的曲线形式,实现社区内景观与光照的完美组合,于城市都心打造园系森林居所。

上实云端效果图
步入社区,首入眼帘的是精装轩敞的入户大堂,设有奢雅墙景、移动花钵、潺潺水景……以现代美学打造沉浸式归家体验。
为业主营造归家的无上尊崇感、仪式感。

上实云端效果图
社区规划有四重生态境界,打造“四季有景,三季有花”的植物氛围。
林荫景观带更让社区充斥着绿意,实现一步一景的效果,居住在绿意环绕中,隔绝喧嚣,让业主们纵享静谧生活。

上实云端效果图
还构建景观会客花园、邻里休闲花园等自然式社交生活场域,为业主们休闲、会客交谈创造出无限雅趣意境!

上实云端效果图
第三,大虹桥臻稀电梯洋房,亲民价格+超高得房率!
项目主推臻稀低密洋房产品,建面约95㎡洋房,得房率高+“神户型”,主力总价400万级。

约95㎡三房两厅两卫,做到了三开间朝南+瞰景大阳台+主卧套房设计+南北通透+卫生间干湿分离,该户型得房率和空间利用率都非常高。
入户玄关设计,设置了收纳空间,出入更有仪式感,还设置了一个收藏间,方便收纳。
客餐厅相连,约3.5米的面宽更显宽敞、大气,再加上更宽的瞰景阳台,室内采光、通风都非常好;
主卧套房设计,带独立卫生间和飘窗,专属于主人的私密空间。
华新超高能级的产业,
超乎大多数人的预料!
十四五规划显示,华新镇将重点打造“虹桥智造园”、“虹桥数字谷”、“虹桥医创城”、“虹桥生态湾”四大载体,总规划面积11.64平方公里。
华新以20万的常住人口铸就全国少有的千亿产业集群,不仅是青浦发展先进制造业和现代服务业的重要承载区,也已基本形成以汽车零部件为核心的高端制造业和以快递总部企业为核心的现代化服务业两大产业集群。

示意图,仅供参考
作为长三角数字干线“五大支柱”之一,青浦智能化国家物流枢纽建设稳步推进。
华新镇依托中通、圆通、韵达、极兔、顺丰、安能等快递物流总部企业,虹桥数字物流装备港正推动着数字物流迈向一个崭新的高度。
未来,华新将成为产城融合一体现代化社区的示范样板,打造千亿级上海商贸服务型国家物流枢纽!
中通数智科技产业园效果图
庞大产业带来的海量人口与需求,就是上实云端价值坚实有力的保障!
青浦华新约40万方商业加持,
近享虹桥商务区核心配套!
凭借高能级产业的加持,青浦华新的配套已具有一定规模,大中型商业及高品质居住区林立。

区位示意图
上实云端东侧紧挨着7.7万方的博隆商业广场,步行可达。
周边更有西郊乐缤纷广场、虹桥宝龙生活广场、朋联国际购物中心、新尚生活广场、青浦光明荟等近40万方超大体量的商业配套。
项目北侧直线距离约400米就是华新公园,是休闲娱乐的好去处。

示意图
据了解,上海示范区线(在建中)有望服务华新镇。
示范区线联系了虹桥主城片区与长三角生态绿色一体化发展示范区,线路东起虹桥主城片区,西至水乡客厅,并可与13号线、25号线等线路换乘。

规划示意图
日前上海示范区线规划调整,将由芳乐路直接向东延伸至虹桥枢纽,新增青浦新城南站等。
未来,青浦华新将可以通过示范区线直接连接大虹桥核心、青浦新城、长三角一体化示范区等区域。

规划示意图
凭借区位优势,上实云端驱车前往大虹桥核心区也非常方便,在这里可以享受到更高能级的城市资源,食、购、游、娱、文、体都可以得到满足。
项目与前湾地区核心直线距离约6.5公里,这里有潮流网红打卡购物中心COSTCO超市、前湾印象城MEGA(在建中)、复旦大学附属华山医院(西院)等配套。
前湾印象城MEGA规划有约14万㎡购物空间、约1.4万㎡办公以及超10万㎡配套车库,目前正在开工建设,这将是上海第二家“印象城MEGA”。

前湾印象城MEGA效果图
大虹桥核心商务区内虹桥天地,龙湖虹桥广场,虹桥汇等大型配套林立,更有百老汇等文体资源丰富。
这里国际学校扎堆,上海美国学校,上海英国学校等为精英教育保驾护航。
另外,还有百汇国际医院等10家医院,7家诊疗中心。

——上实云端——
上实云端售楼处电话:400-8855-420✨✨【最新预约】⭐⭐⭐⭐⭐
上实云端营销中心电话:400-8855-420✨✨【最新认证】⭐⭐⭐⭐⭐
上海上实云端官方售楼处电话:400-8855-420✨✨ VIPLINE✔✔✔【最新发布】⭐⭐⭐⭐⭐
如有问题可来电咨询,线上售楼中心,预约销售专员,一对一为您服务!
想了解上实云端更多信息?拨打售楼处营销中心热线:400-8855-420✨✨ (中介勿扰)【24小时热线】
楼盘项目全面介绍,本电话为开发商提供线上预约售楼电话,楼盘项目全面介绍(包含楼盘简介,均价,房价,现房,期房,别墅,叠墅,大平层,价格,楼盘地址,户型图,交通规划,备案价,备案名,项目配套,样板间,开盘时间,认筹时间,楼盘详情,售楼处电话,最新消息,最新详情,周边配套,一房一价,最新进展等详情咨询)楼盘详情丨价格丨更多优惠丨机不可失丨欢迎致电丨诚邀品鉴!售楼处位置丨特价房丨工抵房丨剩余房源丨户型图丨最新消息丨免责声明:将文章内容综合来源于网络、只作分享,版权归原作者所有!!如有侵权,请联系我们,我们第一时间处理如有问题欢迎来电咨询,专业一对一热情服务,让您用专业眼光去买房.如果您想了解更多楼盘详情,欢迎提前预约拨打
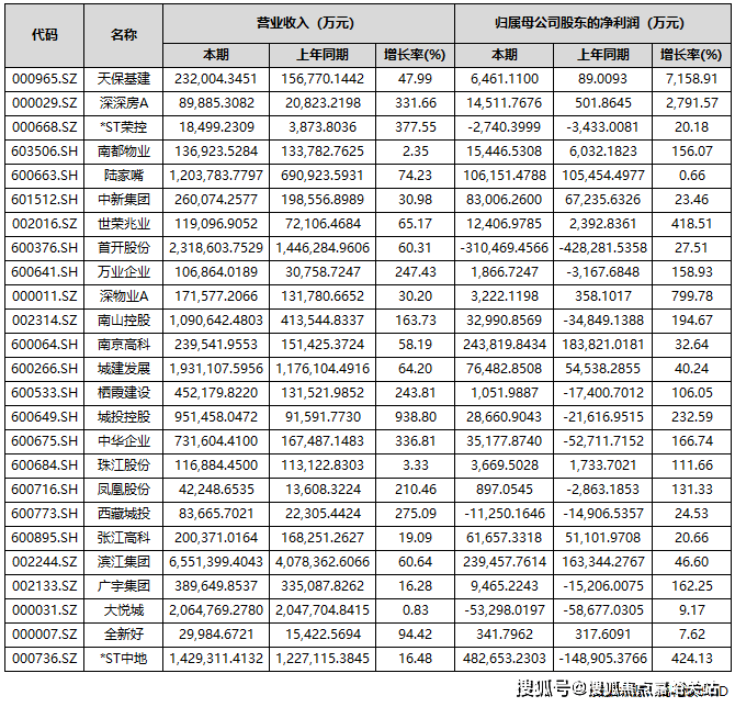
中房网根据同花顺iFinD数据统计,截至10月31日,A股共有85家上市房企披露2025年三季度业绩报告。其中,超4成房企营收实现同比增长;43家房企实现盈利,占比超五成;归母净利润实现同比增长的房企共有37家,占比为43.53%。
自2022年起,房地产行业业绩承压态势已延续数年。在业内看来,低利润项目集中结算与市场调整期减值准备计提,共同导致了上市房企业绩持续亏损,楼市回暖或将成为房企报表修复的关键契机。
超4成房企营收同比增长
从上市房企三季度报告来看,营收实现同比增长的房企共有36家,占比为42.35%;营收同比下滑的有49家,占比57.65%。
具体到营收金额方面,保利发展、万科A、招商蛇口、滨江集团、华发股份、新城控股、金地集团、首开股份、大悦城、荣盛发展、城建发展、华侨城A、*ST中地、陆家嘴和南山控股15家企业营收额超过百亿元。其中,保利发展、万科A和招商蛇口分别以1737.2亿元、1613.9亿元和897.66亿元的营收居于A股上市房企前三位。

部分头部房企亏损较大
归母净利润方面,前三季度共有43家房企实现盈利,占比超过五成。
其中,有7家房企归母净利润超过10亿元,分别是*ST中地、招商蛇口、南京高科、滨江集团、保利发展、上海临港和陆家嘴。

上述房企中,*ST中地(中交地产)的表现较为亮眼。三季报数据显示,公司前三季度营收达142.93亿元,同比增长16.48%;实现净利润48.27亿元,扭亏为盈,同比大幅增长424.13%。
作为一家“披星戴帽”的房企,其账面盈利的核心驱动力来自重大资产重组。今年6月,*ST 中地公告称,计划将旗下房地产开发业务相关的全部资产与负债,转让给控股股东中交房地产集团有限公司。这一重组事项在8月31日完成实质资产交接,房地产业务自此正式退出公司合并报表范围。
据悉,资产重组为* ST中地带来64.89亿元的资产置出相关收益,这一数据直接拉动了当期利润表现,同时推动归属于上市公司股东的净资产转正至12.48亿元。
让人唏嘘的是,三季度业绩亮眼的房企,恰恰是已经退出房地产开发业务的那家。
值得注意的是,期内部分龙头房企归母净利润出现较大亏损,如万科、*ST金科、华夏幸福等。
数据显示,今年前三季度,万科实现营业收入1613.9亿元,同比下滑16.61%;归属于上市公司股东的净亏损280.2亿元,同比下滑56.14%。
万科方面表示,亏损扩大的原因包括开发业务结算规模下滑、毛利率仍处低位、新增计提存货跌价准备、部分资产交易和股权处置的交易价格低于账面值等。
另一亏损规模超百亿的为*ST金科。前三季度,金科实现营业总收入56.99亿元,同比下滑73.57%;归母净利润亏损107.78亿元,同比下滑102.12%。
还有华夏幸福,其亏损规模也近百亿。前三季度,公司营业收入为38.82亿元,同比下降72.09%,归属于上市公司股东的净利润亏损98.29亿元,同比下滑338.67%。
25家房企实现营收和归母净利润双增
前三季度有25家房企实现了营收和归母净利润的双增长。

有37家房企实现归母净利润实现同比正增长。其中,天保基建、深深房A、深物业A、渝开发、*ST中地、世荣兆业、城投控股、南山控股、中华企业、广宇集团、万业企业、南都物业、新黄浦、凤凰股份、中洲控股、珠江股份、栖霞建设17家房企前三季度的归母净利润增长超过100%。
其中,天保基建前三季度归属于上市公司股东的净利润增幅最大,为7158.91%。天保基建表示,业绩增长主要得益于报告期内满足收入结转条件的项目增加,以及冲回的土地增值税增加和资产减值损失减少。
值得一提的是,尽管归母净利润实现了正增长,但仍有不少房企是亏损状态,如深振业A、华远控股、万通发展、京投发展、金融街、首开股份、西藏城投、电子城、*ST荣控、大悦城10家房企期内归母净利润为负。

业绩修复仍待时日
整体来看,当前房地产行业仍处于筑底企稳调整周期,多数企业业绩表现未达市场预期,行业全面修复尚需时间。
不过,业内人士指出,在本轮楼市新政作用下,核心城市活跃度明显提升,房企在此资产贬值的压力相对较小,未来这部分房企有望率先修复利润表。多家企业也表示,通过在核心城市拿利润较高的项目,逐步带动利润表的修复。
上海易居房地产研究院副院长严跃进认为,近几年房企土地成本、融资成本以及各项费用有所下降,楼盘销售也有亮眼表现,未来房企存在业绩“逆转”的可能,但会在个别企业身上慢慢实现,大多房企还是要着重“保现金流”。
声明:本文由入驻焦点开放平台的作者撰写,除焦点官方账号外,观点仅代表作者本人,不代表焦点立场。
