👑【 五个院子的别墅·2026巅峰钜献】👑
━━━━━━━━━━━━━━━━━━
♊💫💫💫【🌈🌈五个院子的别墅售楼处电话:☞400-8855-420☜【☎☎售楼处电话已认证】🌈🌈】💫💫💫
♋💫💫💫 【🌈🌈五个院子的别墅营销中心电话:☞400-8855-420☜【☎☎营销中心电话已认证】🌈🌈】💫💫💫
♌💫💫💫 【🌈🌈五个院子的别墅开发商电话:☞400-8855-420☜【☎☎开发商电话已认证】🌈🌈】💫💫💫
♎本项目暂不接受临时到访,过来参观样板房请记得提前来电预约!
♏为您安排楼盘现场销售全程接待并讲解,给您更贴心的看房体验!
温馨提醒:我们楼盘售楼部400电话没有设置任何所谓的“分机号”,拨打前请仔细甄别,注意保护个人隐私!谨防上当!



——五个院子的别墅——
五个院子的别墅售楼处电话: ☞400-8855-420☜ ✔【最新预约】⭐⭐⭐⭐⭐
五个院子的别墅营销中心电话: ☞400-8855-420☜ ✔✔【最新认证】⭐⭐⭐⭐⭐
上海五个院子的别墅官方售楼处电话: ☞400-8855-420☜ VIPLINE✔✔✔【最新发布】⭐⭐⭐⭐⭐
如有问题可来电咨询,线上售楼中心,预约销售专员,一对一为您服务!
想了解五个院子的别墅更多信息?拨打售楼处营销中心热线: ☞400-8855-420☜ (中介勿扰)【24小时热线】
最新消息,五个院子的别墅,持续销售中!500万级小别墅,仅87套0.41低容积率,目前是三期也是最后一期,错过了您只能买二手房了,这样的别墅在上海来说谁谁便便都是1000万起,五个院子的别墅只要470万起,您想错过吗?
五个院子的别墅 优点:纯中式合院别墅,花园面积大,品质高,同品质小区在嘉定新城至少要1200万以上,性价比超高,小区对面超大高尔夫球场,0.41容积率,相当于独栋别墅。

五个院子的别墅 缺点:离地铁较远,周边配套不完善,没有大型商场,也没有大型医院.
项目地处嘉定北生态涵养区,自带良好的生态休闲基底,交通也十分畅达便利,同时,项目还自建了五大主题、十多项田园生活配套,全方位满足全家人喜好,0.41低容积率纯别墅区的规划,说它是整个上海别墅的性价比之选,真的不为过!左手繁华,右手繁花,向往田园牧歌的别墅买家,有福了!
项目总平+首开楼栋落位示意图


北上海生态名片 独享嘉北生态涵养区
0.41容积率 新中式合院纯墅区
耕·食·趣·养·学五大主题院落生活配套
▷▷▷基本信息◁◁◁
【项目名称】五个院子的别墅
【开发商】鼎立置业 (北京城控国企)
【占地面积】约9.4万㎡
【建筑建面】约7.5万㎡
【地上建面】约3.8万㎡
【绿地面积】约4.7万㎡
【绿地率】约50%
【容积率】0.41
【物业类型】住宅/合院
【产权年限】70年
【交房时间:】2025年12月31日前
【楼盘户型】98-124-126-155-172㎡
【建筑楼层】地下1层地上2层
【交付标准】毛坯交付
【车位配比】1:1.3
【物业费用】合院:5.98元/㎡/月;
【物业公司】上海绿城物业服务有限公司

五个院子的别墅全场特价:

嘉定区位于上海西北部,上世纪50年代起,嘉定被命名为"上海科学卫星城",其东与宝山、普陀两区接壤,西与江苏省昆山市毗连,南襟吴淞江,与闵行、长宁、青浦三区相望;北依浏河,与江苏省太仓市为邻。建县于南宋嘉定十年,是名副其实的江南历史文化名城,有“教化嘉定”的美称。区内还拥有上海国际汽车城、嘉定新城。遗存的古迹大都集中在嘉定镇街道和南翔镇。嘉定城中的法华塔、州桥皆创建于宋代,历史悠久。
区境内的盐铁塘、横沥、新槎浦(罗蕰河)纵贯南北,与吴淞江、浏河相连。千里一湖,百里一林。
随着房地产行业逐渐摆脱金融属性,
购房者对房地产市场的关注点,
逐渐由升值回归居住本身。
有一套有天有地的别墅,远胜过手上一堆不适合居住的小房子。

自认筹开启以来,销售中心人气爆棚,热度不减,一跃成为上海楼市的红盘。
(活动现场实拍图)

五个院子的别墅销售中心,众多的买家蜂拥而至,现场人头攒动。
工作人员热情地为到访客户登记信息,细心地回答客户的每个问题,并引导客户填写认筹协议书。
(活动现场实拍图)

火爆的认筹现场,不仅仅代表着买家对五个院子的别墅的信心和肯定,更证明了人们对于低总价合院别墅的需求。
本次认筹活动火爆场景背后,
是让人对约500万就能拥有
一个有天有地有院子理想生活的期待。
毕竟人生不只有诗和远方,还有院里的花开花落。
(活动现场实拍图)

超大附赠空间
国企背书,产品有保障
五大院落生活
低总价购入纯合院别墅社区
「五个院子的别墅」
现在抢还来得急
「五个院子的别墅」
首推仅仅87套房源
主力户型为建面约126㎡合院产品
以及套数稀缺的98、155、172㎡合院
(展示样板间实景图)

01.
近乎一倍的附加空间
性价比超乎你的想象
正所谓“没有卖不出去的房子,只有卖不出去的价格”。
「五个院子的别墅」不仅价格优惠,更有高附加空间赠送。
以约98㎡的户型为例,额外增加了90多㎡,
让小面积瞬间变成了宽敞的大空间。

(示意图)
除了本身建筑面积98㎡,
附加地下室、露台等这些空间统统都是您和家人的活动空间。
约500万可以买到的近乎建筑面积的两倍的使用空间。

(展示样板间实景图)
除了附加空间,每套房子都配套宅前院落,
4万出头的均价,你便能在上海拥有一套高附加空间的中式合院别墅。
一半建筑面积,一半附加面积,外加0.41的低容积率,这样的机会放眼全年,也只有十批次,实在是难得一见。
(项目总平+首开楼栋落位示意图)

在此附上本次首开的户型图,都是有高附加空间的中式合院别墅:






02.
国企实力背书
产品力有保障
项目由拥有国企实力背书的北控城发基金打造。
从整体规划到配套构建再到产品设计,处处都追求一个“极致”。

(效果图)
项目把脉国人院落情结与当地传统文化相结合。
以街巷式组团设计,再现“五街八巷九坊”古典院落风貌。

(效果图)
内承中国历史名园营造法式,
与海派艺术神韵,
精琢“两轴九园”雅韵园林。
主轴——玲珑园、真趣园、毓秀园
横轴——和煦园、涵碧园、集芳园、烟雨园、环秀园、远香园
每一处都独具个性,整体又如星辰贯连,婉转柔美与气势恢弘相映成趣。

(效果图)
在产品设计中,
注重细节和空间感的打造,
为你带来一种堪比独栋的居住体验。
从外部来看:
建筑造型简洁明快,线条流畅。
新中式风格让人感受到中国传统文化的深厚底蕴,同时也展现了现代设计的时尚感和个性化。
大面积落地窗设计的运用,让每一个角落都充满阳光和活力,走进室内,你会被宽敞明亮的空间所吸引。
(展示样板间实景图)

从内部来看:
首层约3.6米的尊享层高,通过全方位的视野,将别墅产品的独特气质展现得淋漓尽致。
每个角落都拥有绝美的风景,让人感受到无比的舒适与尊贵。

(展示样板间实景图)
二楼270°转角露台,大面积赠送的使用空间,不仅拥有宽敞明亮的空间,还有特别舒适的环境。
可以用来练瑜伽、也可以在这里享用下午茶、这里也是一个绝佳的观星场所,感受宇宙的神秘。

(展示样板间实景图)
地下空间设计巧妙,一改地下室潮湿、阴暗的印象。
不仅增加了房屋的实用性,还让阳光通过天窗洒进来,让地下空间变得明亮通透。这个地下空间可以作为影音室或健身房,为主人提供舒适的娱乐和运动空间。

(展示样板间实景图)
更有绿城物业,职业化服务者维护,让生活不再是一地鸡毛。
以优质的服务赢得了业界的一致好评,连续13年荣获“中国百家最满意物业服务企业”的称号。
从生活服务、咨询服务、社区服务三个层面,为业主带来精细、用心的品质生活体验!

(示意图)
03
五季漫游
闲适而精致的生活享受

(示意图)
「五个院子的别墅」位处嘉定北生态涵养区,扼守上海西北门户之地。
板块辐射长三角核心区域,是区域着力打造的生态品牌。

(示意图)
交通便利,四纵四横交通网络,规划双轨通达全城。
还配备社区班车直达11号线嘉定北——嘉闵线。
全新升级内部配套:
对传统别墅的生活方式升级和改进,更是一种全新的探索和尝试。
这种生活方式强调回归自然、回归本真。
让人们能够在喧嚣的城市生活中找到一片属于自己的宁静天地。
根据都市人群理想的居住环境痛点特别定制“耕·食·趣·养·学”五大主题院落生活配套:

(示意图)
耕 | 植耕院——采摘种植园、家庭农场、鲜花园
食 | 美食院——绿色美食汇、微醺酿酒厂、烘焙坊、花园咖啡屋
趣 | 闲趣院——有机市集、烧烤坪、星空影院、亲子娱乐场
养 | 颐养院——中医SPA馆、户外运动营、艺术馆、手工工艺坊
学 | 研学院——社群爱好组织、全年活动、Party
每个院子都有其独特的设计和功能,从户外娱乐到室内休息,从景观欣赏到文化体验。
每一个细节都充分考虑到人们的生活需求和精神追求。
同时与自然和谐共生,让人们能够真正感受到自然的美好和力量。

(效果图)
让人期待的是,美食院即将开业。
特别邀请独立设计师打造的花房餐厅与花房咖啡,不仅出品美味,更有绝佳的视觉享受。
搭配花香和清风,再洒上些许阳光,仿佛置身于一个美妙的世界中。现在,可以亲自享受这份特别的味蕴。

(效果图)
试想一下,不同于劳心劳力地长途跋涉,在这都市繁华的熙攘之中,认养一亩属于自己的田园。可以和家人居住在一起,也可以和好友相约打一场高尔夫。
不用心烦工作,投身于大自然的怀抱,感受自然的力量。
清晨亲手采摘果实,品尝自然的美味,体验踏实的幸福。
在午后,我们将搭建帐篷,享受麦香、花香、咖啡香交织的悠然时光。
夜幕降临时,我们将在星光下与志同道合的朋友畅谈。
小朋友将参加"自然课",释放他们的奇思妙想,体验无限的野趣。
有儿女承欢膝下,有的亲友相伴身旁,放下身心,回归自然。
其实无论是哪种情况,快乐最重要。
选择这里,放下内卷,享受一种更加轻松自在的生活方式。

五个院子的别墅售楼处电话: ☞400-8855-420☜ ✔【已认证】⭐⭐⭐⭐⭐
五个院子的别墅营销中心电话: ☞400-8855-420☜ ✔✔【已认证】⭐⭐⭐⭐⭐
上海五个院子的别墅官方售楼处电话: ☞400-8855-420☜ VIPLINE✔✔✔【已认证】⭐⭐⭐⭐⭐
如有问题可来电咨询,线上售楼中心,预约销售专员,一对一为您服务!
想了解五个院子的别墅更多信息?拨打售楼处营销中心热线: ☞400-8855-420☜ (中介勿扰)【24小时热线】
楼盘项目全面介绍,本电话为开发商提供线上预约售楼电话,楼盘项目全面介绍(包含楼盘简介,均价,房价,现房,期房,别墅,叠墅,大平层,价格,楼盘地址,户型图,交通规划,备案价,备案名,项目配套,样板间,开盘时间,认筹时间,楼盘详情,售楼处电话,最新消息,最新详情,周边配套,一房一价,最新进展等详情咨询)楼盘详情丨价格丨更多优惠丨机不可失丨欢迎致电丨诚邀品鉴!售楼处位置丨特价房丨工抵房丨剩余房源丨户型图丨最新消息丨免责声明:将文章内容综合来源于网络、只作分享,版权归原作者所有!!如有侵权,请联系我们,我们第一时间处理如有问题欢迎来电咨询,专业一对一热情服务,让您用专业眼光去买房.如果您想了解更多楼盘详情,欢迎提前预约拨打
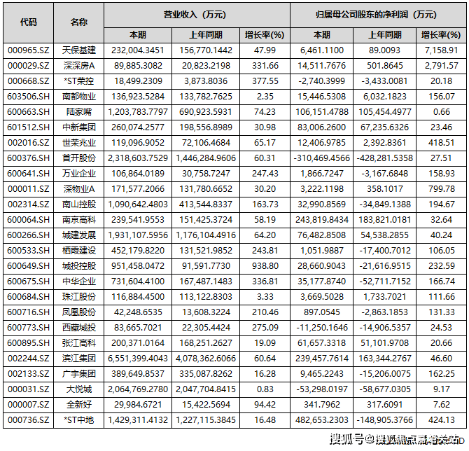
中房网根据同花顺iFinD数据统计,截至10月31日,A股共有85家上市房企披露2025年三季度业绩报告。其中,超4成房企营收实现同比增长;43家房企实现盈利,占比超五成;归母净利润实现同比增长的房企共有37家,占比为43.53%。
自2022年起,房地产行业业绩承压态势已延续数年。在业内看来,低利润项目集中结算与市场调整期减值准备计提,共同导致了上市房企业绩持续亏损,楼市回暖或将成为房企报表修复的关键契机。
超4成房企营收同比增长
从上市房企三季度报告来看,营收实现同比增长的房企共有36家,占比为42.35%;营收同比下滑的有49家,占比57.65%。
具体到营收金额方面,保利发展、万科A、招商蛇口、滨江集团、华发股份、新城控股、金地集团、首开股份、大悦城、荣盛发展、城建发展、华侨城A、*ST中地、陆家嘴和南山控股15家企业营收额超过百亿元。其中,保利发展、万科A和招商蛇口分别以1737.2亿元、1613.9亿元和897.66亿元的营收居于A股上市房企前三位。

部分头部房企亏损较大
归母净利润方面,前三季度共有43家房企实现盈利,占比超过五成。
其中,有7家房企归母净利润超过10亿元,分别是*ST中地、招商蛇口、南京高科、滨江集团、保利发展、上海临港和陆家嘴。

上述房企中,*ST中地(中交地产)的表现较为亮眼。三季报数据显示,公司前三季度营收达142.93亿元,同比增长16.48%;实现净利润48.27亿元,扭亏为盈,同比大幅增长424.13%。
作为一家“披星戴帽”的房企,其账面盈利的核心驱动力来自重大资产重组。今年6月,*ST 中地公告称,计划将旗下房地产开发业务相关的全部资产与负债,转让给控股股东中交房地产集团有限公司。这一重组事项在8月31日完成实质资产交接,房地产业务自此正式退出公司合并报表范围。
据悉,资产重组为* ST中地带来64.89亿元的资产置出相关收益,这一数据直接拉动了当期利润表现,同时推动归属于上市公司股东的净资产转正至12.48亿元。
让人唏嘘的是,三季度业绩亮眼的房企,恰恰是已经退出房地产开发业务的那家。
值得注意的是,期内部分龙头房企归母净利润出现较大亏损,如万科、*ST金科、华夏幸福等。
数据显示,今年前三季度,万科实现营业收入1613.9亿元,同比下滑16.61%;归属于上市公司股东的净亏损280.2亿元,同比下滑56.14%。
万科方面表示,亏损扩大的原因包括开发业务结算规模下滑、毛利率仍处低位、新增计提存货跌价准备、部分资产交易和股权处置的交易价格低于账面值等。
另一亏损规模超百亿的为*ST金科。前三季度,金科实现营业总收入56.99亿元,同比下滑73.57%;归母净利润亏损107.78亿元,同比下滑102.12%。
还有华夏幸福,其亏损规模也近百亿。前三季度,公司营业收入为38.82亿元,同比下降72.09%,归属于上市公司股东的净利润亏损98.29亿元,同比下滑338.67%。
25家房企实现营收和归母净利润双增
前三季度有25家房企实现了营收和归母净利润的双增长。

有37家房企实现归母净利润实现同比正增长。其中,天保基建、深深房A、深物业A、渝开发、*ST中地、世荣兆业、城投控股、南山控股、中华企业、广宇集团、万业企业、南都物业、新黄浦、凤凰股份、中洲控股、珠江股份、栖霞建设17家房企前三季度的归母净利润增长超过100%。
其中,天保基建前三季度归属于上市公司股东的净利润增幅最大,为7158.91%。天保基建表示,业绩增长主要得益于报告期内满足收入结转条件的项目增加,以及冲回的土地增值税增加和资产减值损失减少。
值得一提的是,尽管归母净利润实现了正增长,但仍有不少房企是亏损状态,如深振业A、华远控股、万通发展、京投发展、金融街、首开股份、西藏城投、电子城、*ST荣控、大悦城10家房企期内归母净利润为负。

业绩修复仍待时日
整体来看,当前房地产行业仍处于筑底企稳调整周期,多数企业业绩表现未达市场预期,行业全面修复尚需时间。
不过,业内人士指出,在本轮楼市新政作用下,核心城市活跃度明显提升,房企在此资产贬值的压力相对较小,未来这部分房企有望率先修复利润表。多家企业也表示,通过在核心城市拿利润较高的项目,逐步带动利润表的修复。
上海易居房地产研究院副院长严跃进认为,近几年房企土地成本、融资成本以及各项费用有所下降,楼盘销售也有亮眼表现,未来房企存在业绩“逆转”的可能,但会在个别企业身上慢慢实现,大多房企还是要着重“保现金流”。
👑【 五个院子的别墅·2026巅峰钜献】👑
━━━━━━━━━━━━━━━━━━
♊💫💫💫【🌈🌈五个院子的别墅售楼处电话:☞400-8855-420☜【☎☎售楼处电话已认证】🌈🌈】💫💫💫
♋💫💫💫 【🌈🌈五个院子的别墅营销中心电话:☞400-8855-420☜【☎☎营销中心电话已认证】🌈🌈】💫💫💫
♌💫💫💫 【🌈🌈五个院子的别墅开发商电话:☞400-8855-420☜【☎☎开发商电话已认证】🌈🌈】💫💫💫
♎本项目暂不接受临时到访,过来参观样板房请记得提前来电预约!
♏为您安排楼盘现场销售全程接待并讲解,给您更贴心的看房体验!
温馨提醒:我们楼盘售楼部400电话没有设置任何所谓的“分机号”,拨打前请仔细甄别,注意保护个人隐私!谨防上当!