2025年·灿耀星城(售楼处)官方网站-灿耀星城销售中心(营销中心)灿耀星城楼盘欢迎您-小区环境-户型-价格-地址-楼盘详情-周边配套-售楼处电话-交房时间
扫描到手机,新闻随时看
扫一扫,用手机看文章
更加方便分享给朋友
— ⑉ıl⑉〢✨🏠灿耀星城售楼处电话☎:400-8787-740
🏡灿耀星城营销中心电话:400-8787-740←【预约热线】
◆⭐开发商营销中心诚挚邀请,一键预约,尊享内部独家折扣!匠心独运的精品项目,恭候您的品鉴与选择。


灿耀星城售楼处电话☎:400-8787-740 【售楼处预约热线】
虹桥灿耀星城项目地处虹桥中央国际商务区主城副中心,徐泾镇镇中心位置,位置得天独厚,地理位置优越,未来升值潜力巨大。项目二期,2021年开盘当天仅4小时就实现503套房源售罄,还有前期超900组的认筹,谱写了当年大虹桥楼市的日光传奇!
灿耀星城售楼处电话☎:400-8787-740 【售楼处预约热线】
灿耀星城售楼处电话☎:400-8787-740 【售楼处预约热线】
虹桥灿耀星城三期位于沪青平公路以北,明珠路以东,北临河南临公园,4.6万方绿地公园环绕,景色宜人。
灿耀星城售楼处电话☎:400-8787-740 【售楼处预约热线】
灿耀星城售楼处电话☎:400-8787-740 【售楼处预约热线】
作为大虹桥首个超低能耗住宅,属于大虹桥乃至整个上海的绿色建筑领跑者,建筑立面都采用低耗节能的新型材料!金属铝板设计搭配石材以及真石漆,使得整个项目的外立面更有立体感,更显高端上档次。此外全方位降噪、恒温恒湿、新风系统等一系列技术的引入,为业主带来更经济、健康、舒适的居住体验!
灿耀星城售楼处电话☎:400-8787-740 【售楼处预约热线】
灿耀星城售楼处电话☎:400-8787-740 【售楼处预约热线】
除了建筑科技,虹桥灿耀星城在审美和景观打造方面也独树一帜。其中,社区园林由笛东大师执笔,规划设计了星阙、星河、星野、星际、星云、星荟六大主题园林盛境!
结合虹桥·灿耀星城现代简约风格的建筑立面,真石漆、蓝眼睛石材、浅灰色铝板等纯净材质与园林景观相映成趣,让每一次归家都成为赏心悦目的旅程。
灿耀星城售楼处电话☎:400-8787-740 【售楼处预约热线】
灿耀星城售楼处电话☎:400-8787-740 【售楼处预约热线】
值得一提的是,作为虹桥唯一不封阳台的小区,附赠面积更多让利于业主,提高了整体空间利用。
室内方面,虹桥灿耀星城的层高是3.15米。层高直接比肩顶级豪宅标准!让业主居住空间感更佳,居住更舒适。据了解,大虹桥的最高层高记录是蟠龙天地的3.05米,而其他项目基本上2.9-3米之间。因为层高越高开发商的成本也会越高。所以一般只有市区及一些豪宅项目才会做到3.15米以上。

灿耀星城售楼处电话☎:400-8787-740 【售楼处预约热线】
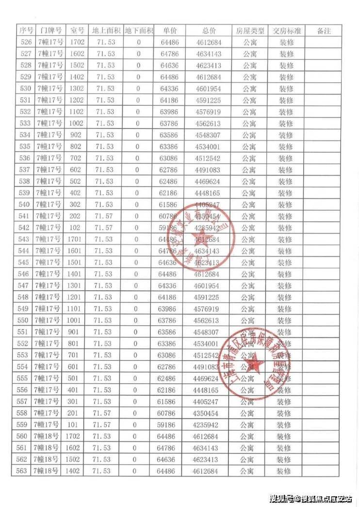
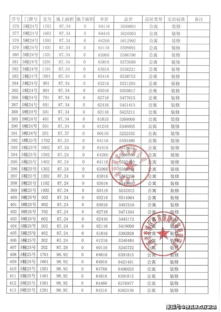
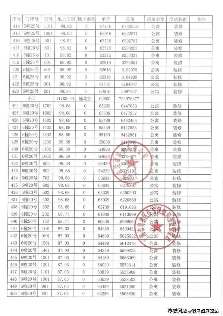
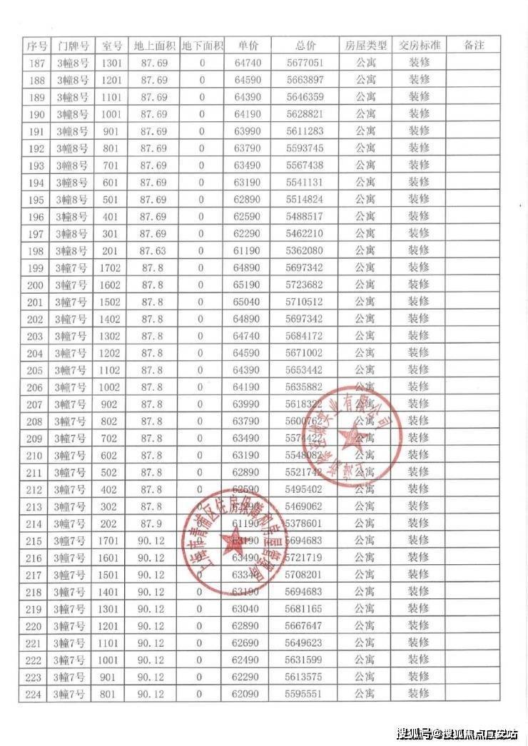
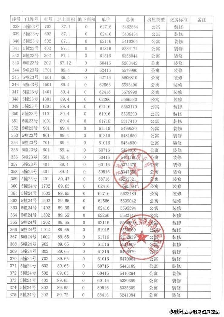
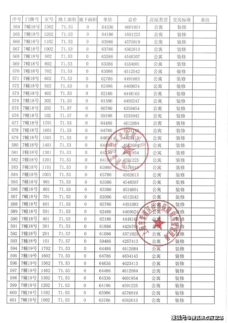
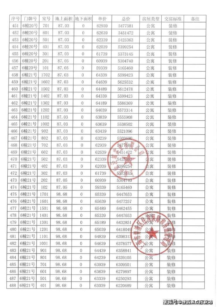
而在户型设计方面,72-98平米全生命周期臻装产品,三期户型较二期更丰富,约70-130㎡2房、3房、3+1房产品,满足全龄段置业需求,目前仅剩下少量建面约72-88㎡2-3房。
· 建面约72㎡2房:大虹桥非常臻稀的小户型,总价仅约422万起,不仅是优秀的自住过渡产品,更是低总价撬动大未来的资产配置利器!
灿耀星城售楼处电话☎:400-8787-740 【售楼处预约热线】
建面约88㎡3房:大虹桥范围不到90㎡的户型大部分都只做到2房,而虹桥灿耀星城该面积段实现3房功能性,让自住客户一步到位,也让该产品进入二手市场后具备降维打击的优势!
灿耀星城售楼处电话☎:400-8787-740 【售楼处预约热线】
户型图
除了户型上尽善尽美,项目的装修配置也是诚意满满。
全屋甄选高仪、博世、TOTO、威能、老板、日立等一线奢装品牌,配置中央空调、全屋地暖、新风、净水等健康系统等,塑造国际前沿生活质感。
免责声明:本宣传资料罗列的装修品牌仅供参考,以开发商最终交付为准。
项目还拥有大虹桥罕见的约3.15m层高,营造更通透、更朗阔的空间感,带来更加舒适的居住体验。
项目样板间实景图可作参考:
灿耀星城售楼处电话☎:400-8787-740 【售楼处预约热线】
灿耀星城售楼处电话☎:400-8787-740 【售楼处预约热线】
灿耀星城售楼处电话☎:400-8787-740 【售楼处预约热线】
虹桥灿耀星城三期已然是准现房在售,今年买明年住,完美解决了上述不确定性!
更重要的是,项目二期已经实景兑现,交付的高品质将开发商的责任感、实力展现的淋漓尽致。最新实景图如下:
灿耀星城售楼处电话☎:400-8787-740 【售楼处预约热线】
灿耀星城售楼处电话☎:400-8787-740 【售楼处预约热线】
二 可以正虹桥,何必辐射区!
灿耀星城售楼处电话☎:400-8787-740 【售楼处预约热线】
作为规划能级和陆家嘴平起平坐的国家级战略要地,大虹桥犹如西上海的发展引擎,周边几大热门板块哪一个不是受到大虹桥的利好辐射!大虹桥就是整个西上海热门板块的上游!
而虹桥灿耀星城不仅占位西虹桥核心地段,还是徐泾城市更新标杆项目,天生的板块塔尖住宅!
灿耀星城售楼处电话☎:400-8787-740 【售楼处预约热线】
虹桥灿耀星城除了匠心品质,在周边的商业配套的成熟度上,也是远超其他板块的存在。在配套丰盛程度上,项目也几乎是徐泾独一档的存在!项目周边不仅虹桥食尚天地、夏都小镇、蟠龙天地等商业云集,各类政府办事机构、银行、医院等公共配套也密密麻麻的环绕项目周边。

虹桥·灿耀星城在售三期项目持续热销!
像虹桥·灿耀星城这样兼顾大虹桥概念,又可直接入住生活无忧的项目更是区域内稀缺的存在!而随着灿辉国际针对徐泾的城市更新的不断深入,虹桥·灿耀星城的含金量与楼市价值仍在与日俱增!

灿耀星城售楼处电话☎:400-8787-740 【售楼处预约热线】
随着虹桥·灿耀星城三期的推出,灿辉在徐泾的整体规划也已逐步落地。围绕虹桥·灿耀星城展开的多元城市体总体量达55万方!涵盖品质住宅、精品酒店、活力商业、现代办公、幼儿园、养老院等丰富业态!

灿耀星城售楼处电话☎:400-8787-740 【售楼处预约热线】
其中,区域内唯一一家5星级的希尔顿酒店业已建成营业,将虹桥·灿耀星城周边的商业氛围提升到全新高度!

灿耀星城售楼处电话☎:400-8787-740 【售楼处预约热线】
同时,项目侧对面,由灿辉负责代建的约4.6万方的两大绿地公园也正一一兑现,加上前文提及的9万方自带商业,使得虹桥·灿耀星城一步步成长为全能型微城市,与徐泾已有的配套资源相辅相成,构建起大虹桥核心区倍具生活气息的居住板块!
灿耀星城售楼处电话☎:400-8787-740 【售楼处预约热线】
商业配套方面:项目对面就是约5万方的虹桥食尚天地,永业购物中心,夏都小镇,家乐福。1.5km范围圈有首位奥特莱斯,兰韵文化中心,美国百老汇歌剧院等大型商业购物中心。

灿耀星城售楼处电话☎:400-8787-740 【售楼处预约热线】
教育配套方面:徐泾幼儿园(一级幼儿园)、徐泾中小学(全国示范学校)、私立学校:德国学校,青浦世外等。
医疗配套方面:徐泾卫生医院(公立)、华山医院西院(三甲公立)、远大医疗、德达医疗、新虹桥医学中心等。
灿耀星城售楼处电话☎:400-8787-740 【售楼处预约热线】
综合下来,无论是产品自身品质的不断拔高,还是区域地段的丰富配套,灿耀星城都无疑是一个优质的选择,性价比超高!虹桥灿耀星城给很多低预算客户上车机会。

灿耀星城售楼处电话☎:400-8787-740 【售楼处预约热线】
大虹桥徐泾虹桥·灿耀星城三期
少量建面约72-88㎡超低能耗住宅
2-3房准现房 均价6.3万/㎡!
灿耀星城售楼处电话☎:400-8787-740 【售楼处预约热线】本电话为开发商提供线上预约看房售楼电话,★来电可了解楼盘最新动态,项目全面介绍(包含官方最新发布:在线预约看房丨在售房价优惠丨户型面积房源丨交房时间丨交通地铁丨商业配套丨教育资源丨小高层洋房丨独栋别墅丨联排合院丨商业别墅丨得房率丨容积率丨小区环境丨优缺点分析丨楼盘测评丨在售户型图丨项目介绍丨最新房源丨周边配套丨详细解答丨一对一热情讲解〢区域板块等信息!★郑重承诺:由开发商旗下销售团队全程营销策划,房源信息真实有效!如果您想了解更多楼盘详情,灿耀星城售楼处电话☎:400-8787-740 【售楼处预约热线】
声明:本文由入驻焦点开放平台的作者撰写,除焦点官方账号外,观点仅代表作者本人,不代表焦点立场。
