浦东金桥碧云澧悦利弊(优点、不足)分析,一文读懂金桥碧云澧悦

搜狐焦点孝感站 2025-10-20 11:57:01
用手机看
扫描到手机,新闻随时看

扫一扫,用手机看文章
更加方便分享给朋友

碧云澧悦预约热线☎:400-8080-420✅✅

欢迎您致电品鉴⭐

碧云澧悦预约热线☎:400-8080-420✅✅

温馨提示:网上售楼中心〢预约尊享Vip一对一专业置业顾问讲解!

_Vip营销中心_____欢迎来电预约尊享内部折扣_____匠心钜制恭迎品鉴!中介勿扰!

√Welcome to call the tasting appointment hotline: 400-8080-420 [Appointment hotline] Warm reminder: Online sales center〢 Make an appointment to enjoy VIP one-on-one professional property consultant explanation! _Vip marketing center_____Welcome to call to make an appointment to enjoy the exclusive internal discount_____Welcome to taste the ingenious masterpiece!No agents please!

碧云澧悦预约热线☎:400-8080-420✅✅

碧云澧悦预约热线☎:400-8080-420✅✅【官方认证】

「金桥碧云澧悦」浦东周康板块全新盘

建面约93-165㎡3-4房户型

均价5.6万/㎡ 精装修交付

国企匠心·双轨臻品住宅

售楼处线上预约

碧云澧悦预约热线☎:400-8080-420✅✅

碧云澧悦预约热线☎:400-8080-420✅✅

碧云澧悦预约热线☎:400-8080-420✅✅

浦东周浦「金桥碧云澧悦」张江南5.6万/㎡低密现房热销!无连廊+横厅神户型,刚需必看!附官方预约通道!

碧云澧悦预约热线☎:400-8080-420✅✅

项目基本信息

开发商:上海金桥集团

产品类型:住宅70年

占地面积:约5.6万方

总建面:约15.5万方(地上约10.6万方,地下约4.9万方)

均价:5.6万

总价:430-965万

在售面积:99(12套1-2楼)、165平(35套)135+139(共计26套中、低楼层)

总户数:843户

楼栋数:15栋

物业类型:高层

总高:14层

层高:99、135、139平高3.05米/165平层高3.15米

容积率:1.8

拿地时间:2022年

得房率:99平约76%、135-139约81%、165平约83%

绿化率:35%

物业公司:金桥物业

物业费:5.6元/月*㎡

占地面积:约5.6万方

装修状况:99平精装/135、139、165平毛坯

车位:1202个

车位比:1:1.3

碧云澧悦预约热线☎:400-8080-420✅✅

碧云澧悦预约热线☎:400-8080-420✅✅

低密小高层阔奢公园社区产品

【碧云澧悦】由由金桥股份打造,总占地面积约5.6万平方米,容积率1.8,总建筑面积15.5万平方米,其中地上建筑面积10.6万平方米,地下建筑面积为4.9万平方米。

碧云澧悦预约热线☎:400-8080-420✅✅

碧云澧悦预约热线☎:400-8080-420✅✅

上海金桥出口加工区开发股份有限公司(以下简称“ 金桥股份 ”)成立于 1992 年11月,注册资本 11.22 亿元,1993年3月,公司在上海证券交易所 A 股市场上市(浦东金桥,600639);同年5月,在B股市场挂牌(金桥 B股,900911)。上市30 多年来,公司抓佳浦东开发开放契机,依托上市公司的品牌优势、资金优势,积极承担上海金桥自由贸易试验区范国内的开发建设、招商引资、产业发展和载体运营管理着力打造产城融合的示范园区。2015 年6月,按照浦东新区国资国企改革要求,金桥股份作为首批改革试点企业之一,成为浦东新区直属企业。

碧云澧悦预约热线☎:400-8080-420✅✅

碧云澧悦预约热线☎:400-8080-420✅✅

展望末来,金桥股份将按照“新兴城区开发运营商”的总体定位,深耕金桥、走向市场,不断巩固和提升国有上市公司的地位和作用,将金桥开发区建设成为宜居宜业的现代化城区。

碧云澧悦预约热线☎:400-8080-420✅✅

碧云澧悦预约热线☎:400-8080-420✅✅

【碧云澧悦】项目打造了清一色的总高11-14层的高层社区,容积率仅1.8,拥有疏阔楼间距,与市面上高层新房普遍容积率2.2-2.5相比,更大程度上拉开了楼间距,优化视野和采光,居住体验更加舒适!

示意图,仅供参考

碧云澧悦预约热线☎:400-8080-420✅✅

社区大门完全区分人行、车行入口,人行入口采用石材与玻璃搭配设计,大气恢弘!门厅景观水院精致高级,入户仪式感满满!

碧云澧悦预约热线☎:400-8080-420✅✅

碧云澧悦预约热线☎:400-8080-420✅✅

示意图,仅供参考

碧云澧悦预约热线☎:400-8080-420✅✅

车行入口也设计了保安门岗,业主驾车入库安全有保障!车库地下入户大堂也是设计感十足!

碧云澧悦预约热线☎:400-8080-420✅✅

示意图,仅供参考

碧云澧悦预约热线☎:400-8080-420✅✅

碧云澧悦预约热线☎:400-8080-420✅✅

项目精心规划“一环一轴三园”,于建筑中另辟一方天地,以绿意包裹整个小区,打造绿氧环绕的公园住区。漫步在花园小径,呼吸新鲜氧负离子,在自然中享受阳光微醺和清新绿意,在生机盎然中安享静谧。

碧云澧悦预约热线☎:400-8080-420✅✅

碧云澧悦预约热线☎:400-8080-420✅✅

碧云澧悦预约热线☎:400-8080-420✅✅

用极简主义描摹生活美学概念打造项目外观,在上世纪的德国建筑大师密斯·凡德罗,“Less is more.”的极简主义审美驱动下,项目规划以简约流线型线条为主脉络,框体结构搭配层叠横向线条,辅以庄重典雅的淡色玻璃,从而营造隐而不喧的优雅色彩,简约的设计更能呈现丰富的内涵,细节的掌控凸显匠心的品质。

碧云澧悦预约热线☎:400-8080-420✅✅

碧云澧悦预约热线☎:400-8080-420✅✅

碧云澧悦预约热线☎:400-8080-420✅✅

奢阔空间绘就品质人居:公园住区,因低密而愈加纯粹,项目以1.8的低容积率,塑造低密人居空间的舒适尺度,疏阔的楼间距,邀阳光与风景入席,避免楼宇间贴合感,推窗即风景,给予生活更多留白。

碧云澧悦预约热线☎:400-8080-420✅✅

碧云澧悦预约热线☎:400-8080-420✅✅

碧云澧悦预约热线☎:400-8080-420✅✅

碧云澧悦预约热线☎:400-8080-420✅✅

产品方面,项目规划建面约93-165㎡四种主力户型,家族的生活奢想在此皆有可能。项目二期加推394套房源!约93㎡ 3房2厅2卫▼

碧云澧悦预约热线☎:400-8080-420✅✅

碧云澧悦预约热线☎:400-8080-420✅✅

U形厨房设计,动线合理,煎炒烹炸空间充足。

客、餐厅联通绰约尺度阳台,促进家人间沟通交流。

主卧套房设计,隐私性较好,飘窗设计更有效延申室内空间,也可以作为休闲区域使用,收纳空间设计的也比较充足,切实考虑年轻人买买买的购物习惯。

双次卧均设计了衣帽收纳空间居住舒适度较高。

270度转角阳台更是设计了洗衣空间,非常实用!

约99㎡ 3房2厅2卫▼

碧云澧悦预约热线☎:400-8080-420✅✅

碧云澧悦预约热线☎:400-8080-420✅✅

入户玄关设计有效隔离室内外空间,增添归家仪式感,玄关处还设计了收纳空间,细节满满!

次卫三段式分离设计干湿分离的同时还能有效避免使用冲突,可见开发商的匠心考虑。

动静分区设计;主卧套房设计隐私性更强;在玄关、厨房、卫浴等功能区域,充分考量生活场景细节,随时随地满足收纳所需,细节满分!

浦东周浦「金桥碧云澧悦」张江南5.6万/㎡低密现房热销!无连廊+横厅神户型,刚需必看!附官方预约通道!约135㎡ 3房2厅2卫▼

碧云澧悦预约热线☎:400-8080-420✅✅

碧云澧悦预约热线☎:400-8080-420✅✅

此户型可以说是改善人群非常喜欢的户型,建面约135㎡3房2厅2卫设计,动静分区,四开间朝南,各空间尺度奢阔,还有一个超大面宽的景观阳台,实现功能性和舒适度兼得。

浦东周浦「金桥碧云澧悦」张江南5.6万/㎡低密现房热销!无连廊+横厅神户型,刚需必看!附官方预约通道!

约165㎡ 4+1房2厅2卫▼

碧云澧悦预约热线☎:400-8080-420✅✅

碧云澧悦预约热线☎:400-8080-420✅✅

装修标准参考:

外立面:真石漆+少量铝板+格栅+金属包边+楼顶光伏板、没有连廊

阳台门窗:三玻两腔、未封阳台

三大件:中央空调、地暖、没有 新风

客厅:岩板背景墙

入户:玄关柜

厨房:西门子(抽烟烟机 燃气灶 烤箱)、吊柜、底柜、操作台

卫生间:台盆柜、镜面柜、杜拉维特马桶、汉斯格雅花洒(具体交付标准以预售合同为准)

样板实景图▼

碧云澧悦预约热线☎:400-8080-420✅✅

碧云澧悦预约热线☎:400-8080-420✅✅

碧云澧悦预约热线☎:400-8080-420✅✅

碧云澧悦预约热线☎:400-8080-420✅✅

碧云澧悦预约热线☎:400-8080-420✅✅

碧云澧悦预约热线☎:400-8080-420✅✅

项目区位配套

【碧云澧悦】项目位于浦东周浦镇,在《上海市浦东新区国土空间总体规划(2017-2035)》中,再次重点强调了周浦的定位:至2035年,发展成为凝聚科创力量,充满人文气息的“魅力小上海”,依托张江科学城,形成以医疗服务、电子商务和时尚创意为主导产业,宜居宜业的综合型城镇。

碧云澧悦预约热线☎:400-8080-420✅✅

碧云澧悦预约热线☎:400-8080-420✅✅

【交通配套方面】:距离16号线周浦东站约1.8公里、18号线繁荣路站约2.6公里。

碧云澧悦预约热线☎:400-8080-420✅✅

【商业配套方面】:3km范围内有万达广场,小上海步行街,绿地缤纷广场,印象生活广场等商业中心。

碧云澧悦预约热线☎:400-8080-420✅✅

【教育资源方面】:澧溪幼儿园、傅雷幼儿园、澧溪小学、周浦第二小学、周浦实验学校、澧溪中学、傅雷中学、进才繁荣实验中学等教育配套。(项目周边的幼儿园、小学、中学等教育设施(如有)是城市公共生活配套的重要组成部分。本项目销售过程中,部分展示与介绍可能涉及项目周边已有或规划中教育设施,但并非项目所在的学区,本项目不承诺任何学区,介绍此信息旨在帮助客户更全面的了解项目周边条件,并不代表我公司对此提供保证。)

碧云澧悦预约热线☎:400-8080-420✅✅

碧云澧悦预约热线☎:400-8080-420✅✅

【医疗资源方面】:浦东新区周浦医院,周浦社区医院,国龙医院,上海中医药大学附属龙华医院(在建)。

碧云澧悦预约热线☎:400-8080-420✅✅

【休闲娱乐方面】:周浦文化公园,周浦体育中心已经运营,憩园,周浦花海,浦江郊野公园。

碧云澧悦预约热线☎:400-8080-420✅✅

碧云澧悦预约热线☎:400-8080-420✅✅

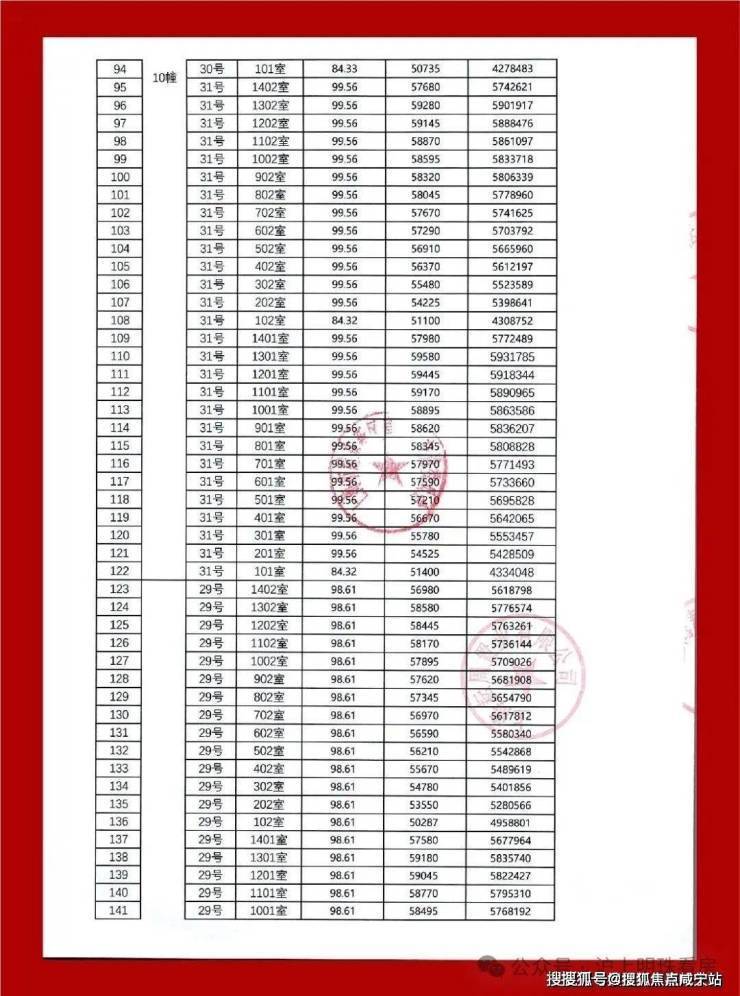
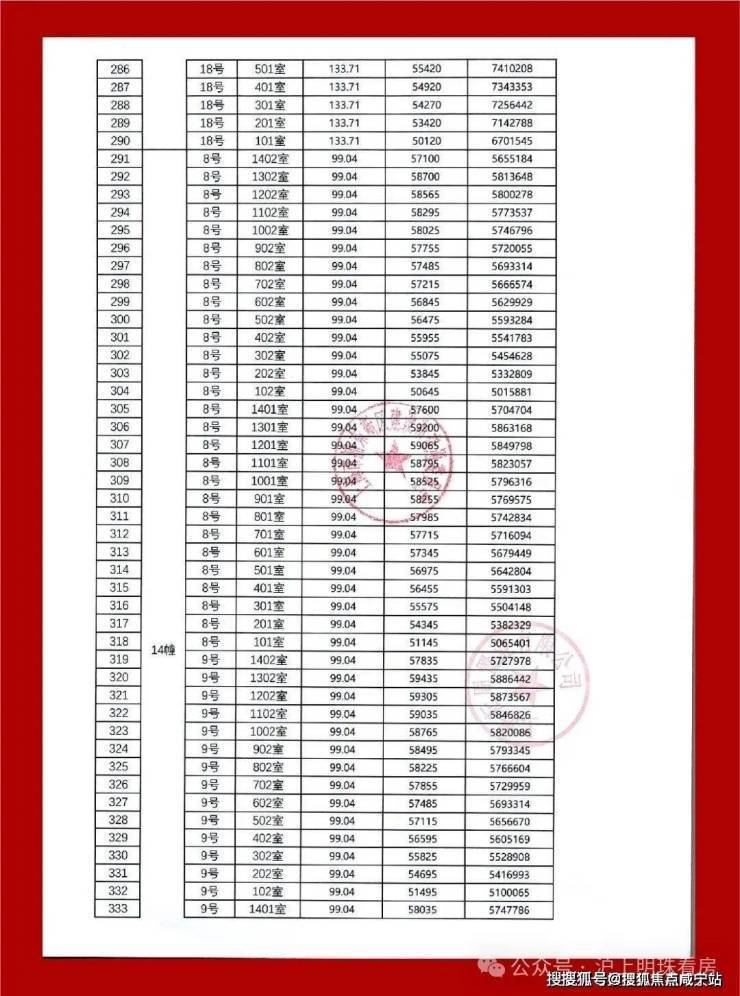
项目一房一价表▼

碧云澧悦预约热线☎:400-8080-420✅✅

碧云澧悦预约热线☎:400-8080-420✅✅

碧云澧悦预约热线☎:400-8080-420✅✅

碧云澧悦预约热线☎:400-8080-420✅✅

碧云澧悦预约热线☎:400-8080-420✅✅

碧云澧悦预约热线☎:400-8080-420✅✅

碧云澧悦预约热线☎:400-8080-420✅✅

碧云澧悦预约热线☎:400-8080-420✅✅

碧云澧悦预约热线☎:400-8080-420✅✅

碧云澧悦预约热线☎:400-8080-420✅✅

碧云澧悦预约热线☎:400-8080-420✅✅

碧云澧悦预约热线☎:400-8080-420✅✅

碧云澧悦预约热线☎:400-8080-420✅✅

碧云澧悦预约热线☎:400-8080-420✅✅

碧云澧悦预约热线☎:400-8080-420✅✅返回

声明:本文由入驻焦点开放平台的作者撰写,除焦点官方账号外,观点仅代表作者本人,不代表焦点立场。