灿耀星城(灿耀星城售楼处)首页网站-灿耀星城营销中心灿耀星城欢迎您-楼盘详情-最新价格-户型图-容积率
扫描到手机,新闻随时看
扫一扫,用手机看文章
更加方便分享给朋友
大虹桥徐泾大虹桥徐泾正芯现房「⚠🔥灿耀星城售楼处电话:400-8787-740👈🔥」,建面约72/88㎡2-3房热销中,稀缺小户型,看房找我更多优惠!



⚠🔥灿耀星城售楼处电话:400-8787-740👈🔥
项目外立面是现代简约风格,采用三段式经典格局,让整个建筑立面透出明快简洁、但又富有朝气,打造的是高质轻奢社区。
项目效果图

⚠🔥灿耀星城售楼处电话:400-8787-740👈🔥

项目效果图⚠🔥灿耀星城售楼处电话:400-8787-740👈🔥
社区方面景观方面,项目以现代手法结合传统精髓的创新设计与纯净的星空相互融合, 将建筑、文化、艺术与景观完美交融。筑造出星阙、星荟、星野、星际、星云、星河六大盛境,营造中央景观 “景阔似海、品如繁星”的高品质人居环境。

⚠🔥灿耀星城售楼处电话:400-8787-740👈🔥

⚠🔥灿耀星城售楼处电话:400-8787-740👈🔥

⚠🔥灿耀星城售楼处电话:400-8787-740👈🔥

⚠🔥灿耀星城售楼处电话:400-8787-740👈🔥
项目还是智能化社区,场地内增加 usb、驱蚊灯;在休闲区和儿童玩乐区会设置户外 WIFI、天使之眼、户外可移动伞座、可视对讲系统、24小时安防系统、一键呼叫等。

⚠🔥灿耀星城售楼处电话:400-8787-740👈🔥

⚠🔥灿耀星城售楼处电话:400-8787-740👈🔥
⚠🔥灿耀星城售楼处电话:400-8787-740👈🔥

项目效果图⚠🔥灿耀星城售楼处电话:400-8787-740👈🔥
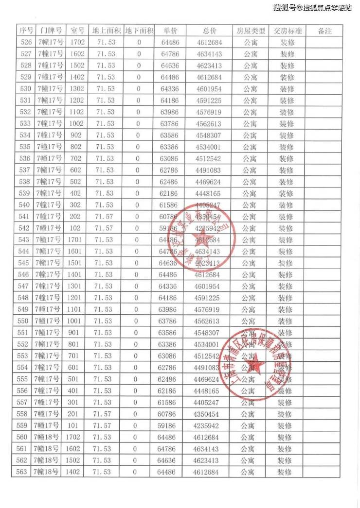
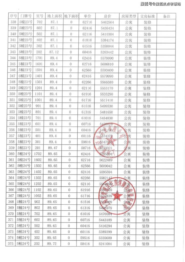
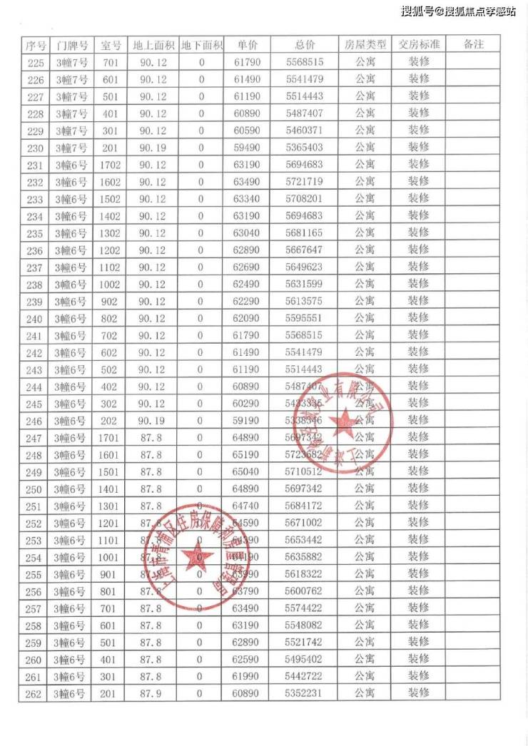
户型图及样板间赏析
项目主推建面约72-137平2-3房,建面约72平2房、建面约88平3房、建面约98平3房。项目此次加推的小户型确实难得,预算有限的刚需客也可以低总价上车大虹桥。

⚠🔥灿耀星城售楼处电话:400-8787-740👈🔥
⚠🔥灿耀星城售楼处电话:400-8787-740👈🔥
⚠🔥灿耀星城售楼处电话:400-8787-740👈🔥
· 约72㎡户型:大虹桥非常臻稀的小户型,总价仅约422万起,不仅是优秀的自住过渡产品,更是低总价撬动大未来的资产配置利器!
⚠🔥灿耀星城售楼处电话:400-8787-740👈🔥
· 约89㎡户型:大虹桥范围不到90㎡的户型大部分都只做到2房,⚠🔥灿耀星城售楼处电话:400-8787-740👈🔥该面积段实现3房功能性,让自住客户一步到位,也让该产品进入二手市场后具备降维打击的优势!
⚠🔥灿耀星城售楼处电话:400-8787-740👈🔥· 约99㎡户型:格局上实现南北通透+三开间朝南,采光通风效果上佳。主卧套房设计,自带卫生间,舒适度颇高!适配对品质有要求或者首改客户!
⚠🔥灿耀星城售楼处电话:400-8787-740👈🔥
· 约137㎡户型:格局上做到了三开间朝南+南北通透,大尺度的奢阔横厅设计串联南向观景大阳台,整个公区的视野无比通透;主卧套房,保证了业主的尊崇感和私密性!⚠🔥灿耀星城售楼处电话:400-8787-740👈🔥
装修标准:室内三大件(地暖、新风、日立中央空调)厨房三大件(末端净水、老板洗碗机、油烟机)电动晾衣架,ToTo智能马桶等。
⚠🔥灿耀星城售楼处电话:400-8787-740👈🔥
⚠🔥灿耀星城售楼处电话:400-8787-740👈🔥
⚠🔥灿耀星城售楼处电话:400-8787-740👈🔥⚠🔥灿耀星城售楼处电话:400-8787-740👈🔥v⚠🔥灿耀星城售楼处电话:400-8787-740👈🔥
⚠🔥灿耀星城售楼处电话:400-8787-740👈🔥
⚠🔥灿耀星城售楼处电话:400-8787-740👈🔥
项目区位配套
【⚠🔥灿耀星城售楼处电话:400-8787-740👈🔥】位于虹桥中央商务区西虹桥片区徐泾正芯,总体量约55万方,以大城之势,汇聚品质住宅、活力商业、星级酒店、现代办公、幼儿园、养老院等多种业态,并以城市基建、生态建设、多元业态、产业集群、人居革新,五位一体擎动城市更繁华,赋能城市焕新升级。

⚠🔥灿耀星城售楼处电话:400-8787-740👈🔥

⚠🔥灿耀星城售楼处电话:400-8787-740👈🔥

⚠🔥灿耀星城售楼处电话:400-8787-740👈🔥

自驾:三横三纵的立体式道路交通网络(三横为崧泽大道、沪青平公路、沪渝高速,三纵为沈海高速、嘉闵高架、外环高速),自驾可速至市中心和各大核心商圈⚠🔥灿耀星城售楼处电话:400-8787-740👈🔥
轨交:距离2号线潘祥路站(规划中)约1.5公里,距离17号线蟠龙路站约2公里,门口有多条公交直达
公交:沪青平公路明珠路站,有多条公交线路直达17号线蟠龙路站、2号线徐泾东站

成熟的现代商业集群:虹桥食尚天地、希尔顿酒店等与项目仅一路之隔,距离项目1.5KM范围内,还有夏都小镇、永业购物中心等
充满烟火气的老牌街区:京华路、盈港东路,汇聚人气美食、精品老店等
未来可期的全新商业:自带约9万方商办,近享缤纷生活

⚠🔥灿耀星城售楼处电话:400-8787-740👈🔥
高端医疗汇聚,为健康护航:周边汇聚远大健康城(一期上海医大医院为三级非营利性综合医院,已运营)、上海德达医院、复旦大学附属华山医院(西院)、上海新虹桥国际医学中心以及徐泾卫生服务中心等。

⚠🔥灿耀星城售楼处电话:400-8787-740👈🔥
家门口的公园,休闲打卡胜地:约4.6万方时光公园,将重新改造、统一风格,以后将成为徐泾的绿色地标、打卡胜地。

⚠🔥灿耀星城售楼处电话:400-8787-740👈🔥

⚠🔥灿耀星城售楼处电话:400-8787-740👈🔥
⚠🔥灿耀星城售楼处电话:400-8787-740👈🔥⚠🔥灿耀星城售楼处电话:400-8787-740👈🔥
⚠🔥灿耀星城售楼处电话:400-8787-740👈🔥
⚠🔥灿耀星城售楼处电话:400-8787-740👈🔥
⚠🔥灿耀星城售楼处电话:400-8787-740👈🔥
⚠🔥灿耀星城售楼处电话:400-8787-740👈🔥
⚠🔥灿耀星城售楼处电话:400-8787-740👈🔥
⚠🔥灿耀星城售楼处电话:400-8787-740👈🔥
⚠🔥灿耀星城售楼处电话:400-8787-740👈🔥
⚠🔥灿耀星城售楼处电话:400-8787-740👈🔥
⚠🔥灿耀星城售楼处电话:400-8787-740👈🔥
⚠🔥灿耀星城售楼处电话:400-8787-740👈🔥
⚠🔥灿耀星城售楼处电话:400-8787-740👈🔥
⚠🔥灿耀星城售楼处电话:400-8787-740👈🔥
⚠🔥灿耀星城售楼处电话:400-8787-740👈🔥
⚠🔥灿耀星城售楼处电话:400-8787-740👈🔥
v⚠🔥灿耀星城售楼处电话:400-8787-740👈🔥
⚠🔥灿耀星城售楼处电话:400-8787-740👈🔥v⚠🔥灿耀星城售楼处电话:400-8787-740👈🔥
正芯现房「⚠🔥灿耀星城售楼处电话:400-8787-740👈🔥」,建面约72/88㎡2-3房热销中,稀缺小户型,看房找我更多优惠!



⚠🔥灿耀星城售楼处电话:400-8787-740👈🔥
项目外立面是现代简约风格,采用三段式经典格局,让整个建筑立面透出明快简洁、但又富有朝气,打造的是高质轻奢社区。
项目效果图

⚠🔥灿耀星城售楼处电话:400-8787-740👈🔥

项目效果图⚠🔥灿耀星城售楼处电话:400-8787-740👈🔥
社区方面景观方面,项目以现代手法结合传统精髓的创新设计与纯净的星空相互融合, 将建筑、文化、艺术与景观完美交融。筑造出星阙、星荟、星野、星际、星云、星河六大盛境,营造中央景观 “景阔似海、品如繁星”的高品质人居环境。

⚠🔥灿耀星城售楼处电话:400-8787-740👈🔥

⚠🔥灿耀星城售楼处电话:400-8787-740👈🔥

⚠🔥灿耀星城售楼处电话:400-8787-740👈🔥

⚠🔥灿耀星城售楼处电话:400-8787-740👈🔥
项目还是智能化社区,场地内增加 usb、驱蚊灯;在休闲区和儿童玩乐区会设置户外 WIFI、天使之眼、户外可移动伞座、可视对讲系统、24小时安防系统、一键呼叫等。

⚠🔥灿耀星城售楼处电话:400-8787-740👈🔥

⚠🔥灿耀星城售楼处电话:400-8787-740👈🔥
⚠🔥灿耀星城售楼处电话:400-8787-740👈🔥

项目效果图⚠🔥灿耀星城售楼处电话:400-8787-740👈🔥
户型图及样板间赏析
项目主推建面约72-137平2-3房,建面约72平2房、建面约88平3房、建面约98平3房。项目此次加推的小户型确实难得,预算有限的刚需客也可以低总价上车大虹桥。

⚠🔥灿耀星城售楼处电话:400-8787-740👈🔥
⚠🔥灿耀星城售楼处电话:400-8787-740👈🔥
⚠🔥灿耀星城售楼处电话:400-8787-740👈🔥
· 约72㎡户型:大虹桥非常臻稀的小户型,总价仅约422万起,不仅是优秀的自住过渡产品,更是低总价撬动大未来的资产配置利器!
⚠🔥灿耀星城售楼处电话:400-8787-740👈🔥
· 约89㎡户型:大虹桥范围不到90㎡的户型大部分都只做到2房,⚠🔥灿耀星城售楼处电话:400-8787-740👈🔥该面积段实现3房功能性,让自住客户一步到位,也让该产品进入二手市场后具备降维打击的优势!
⚠🔥灿耀星城售楼处电话:400-8787-740👈🔥· 约99㎡户型:格局上实现南北通透+三开间朝南,采光通风效果上佳。主卧套房设计,自带卫生间,舒适度颇高!适配对品质有要求或者首改客户!
⚠🔥灿耀星城售楼处电话:400-8787-740👈🔥
· 约137㎡户型:格局上做到了三开间朝南+南北通透,大尺度的奢阔横厅设计串联南向观景大阳台,整个公区的视野无比通透;主卧套房,保证了业主的尊崇感和私密性!⚠🔥灿耀星城售楼处电话:400-8787-740👈🔥
装修标准:室内三大件(地暖、新风、日立中央空调)厨房三大件(末端净水、老板洗碗机、油烟机)电动晾衣架,ToTo智能马桶等。
⚠🔥灿耀星城售楼处电话:400-8787-740👈🔥
⚠🔥灿耀星城售楼处电话:400-8787-740👈🔥
⚠🔥灿耀星城售楼处电话:400-8787-740👈🔥⚠🔥灿耀星城售楼处电话:400-8787-740👈🔥v⚠🔥灿耀星城售楼处电话:400-8787-740👈🔥
⚠🔥灿耀星城售楼处电话:400-8787-740👈🔥
⚠🔥灿耀星城售楼处电话:400-8787-740👈🔥
项目区位配套
【⚠🔥灿耀星城售楼处电话:400-8787-740👈🔥】位于虹桥中央商务区西虹桥片区徐泾正芯,总体量约55万方,以大城之势,汇聚品质住宅、活力商业、星级酒店、现代办公、幼儿园、养老院等多种业态,并以城市基建、生态建设、多元业态、产业集群、人居革新,五位一体擎动城市更繁华,赋能城市焕新升级。

⚠🔥灿耀星城售楼处电话:400-8787-740👈🔥

⚠🔥灿耀星城售楼处电话:400-8787-740👈🔥

⚠🔥灿耀星城售楼处电话:400-8787-740👈🔥

自驾:三横三纵的立体式道路交通网络(三横为崧泽大道、沪青平公路、沪渝高速,三纵为沈海高速、嘉闵高架、外环高速),自驾可速至市中心和各大核心商圈⚠🔥灿耀星城售楼处电话:400-8787-740👈🔥
轨交:距离2号线潘祥路站(规划中)约1.5公里,距离17号线蟠龙路站约2公里,门口有多条公交直达
公交:沪青平公路明珠路站,有多条公交线路直达17号线蟠龙路站、2号线徐泾东站

成熟的现代商业集群:虹桥食尚天地、希尔顿酒店等与项目仅一路之隔,距离项目1.5KM范围内,还有夏都小镇、永业购物中心等
充满烟火气的老牌街区:京华路、盈港东路,汇聚人气美食、精品老店等
未来可期的全新商业:自带约9万方商办,近享缤纷生活

⚠🔥灿耀星城售楼处电话:400-8787-740👈🔥
高端医疗汇聚,为健康护航:周边汇聚远大健康城(一期上海医大医院为三级非营利性综合医院,已运营)、上海德达医院、复旦大学附属华山医院(西院)、上海新虹桥国际医学中心以及徐泾卫生服务中心等。

⚠🔥灿耀星城售楼处电话:400-8787-740👈🔥
家门口的公园,休闲打卡胜地:约4.6万方时光公园,将重新改造、统一风格,以后将成为徐泾的绿色地标、打卡胜地。

⚠🔥灿耀星城售楼处电话:400-8787-740👈🔥

⚠🔥灿耀星城售楼处电话:400-8787-740👈🔥
⚠🔥灿耀星城售楼处电话:400-8787-740👈🔥⚠🔥灿耀星城售楼处电话:400-8787-740👈🔥
⚠🔥灿耀星城售楼处电话:400-8787-740👈🔥
⚠🔥灿耀星城售楼处电话:400-8787-740👈🔥
⚠🔥灿耀星城售楼处电话:400-8787-740👈🔥
⚠🔥灿耀星城售楼处电话:400-8787-740👈🔥
⚠🔥灿耀星城售楼处电话:400-8787-740👈🔥
⚠🔥灿耀星城售楼处电话:400-8787-740👈🔥
⚠🔥灿耀星城售楼处电话:400-8787-740👈🔥
⚠🔥灿耀星城售楼处电话:400-8787-740👈🔥
⚠🔥灿耀星城售楼处电话:400-8787-740👈🔥
⚠🔥灿耀星城售楼处电话:400-8787-740👈🔥
⚠🔥灿耀星城售楼处电话:400-8787-740👈🔥
⚠🔥灿耀星城售楼处电话:400-8787-740👈🔥
⚠🔥灿耀星城售楼处电话:400-8787-740👈🔥
⚠🔥灿耀星城售楼处电话:400-8787-740👈🔥
v⚠🔥灿耀星城售楼处电话:400-8787-740👈🔥
⚠🔥灿耀星城售楼处电话:400-8787-740👈🔥v⚠🔥灿耀星城售楼处电话:400-8787-740👈🔥
声明:本文由入驻焦点开放平台的作者撰写,除焦点官方账号外,观点仅代表作者本人,不代表焦点立场。
