建发海宸(营销中心)官方网站-建发海宸销售中心(售楼处)建发海宸售楼处电话|建发海宸在售户型|小区配套|建发海宸价格|周边详情|容积率|楼盘详情
扫描到手机,新闻随时看
扫一扫,用手机看文章
更加方便分享给朋友
建发海宸预约热线☎:400-8080-420✅✅
建发海宸预约热线☎:400-8080-420✅✅(官方预约看房热线)
建发海宸预约热线☎:400-8080-420✅✅
【售楼处预约热线】(一对一热情服务)
看房请务必致电与销售确认时间,仅预约客户可享受开发商内部优惠,专属老带新推荐奖!
项目概况
地理位置:位于杨浦区新江湾城核心,东至规划绿地、西临江湾城路,北靠在建的交大附中杨浦实验学校(非学区承诺)
容积率:仅1.55,绿化率35%,规划1156套住宅,含小高层、洋房及叠墅产品户型面积:主力户型105-250㎡,涵盖三房至五房,层高3.05-3.2米,部分配备华为鸿蒙智家系统。
价格与销售
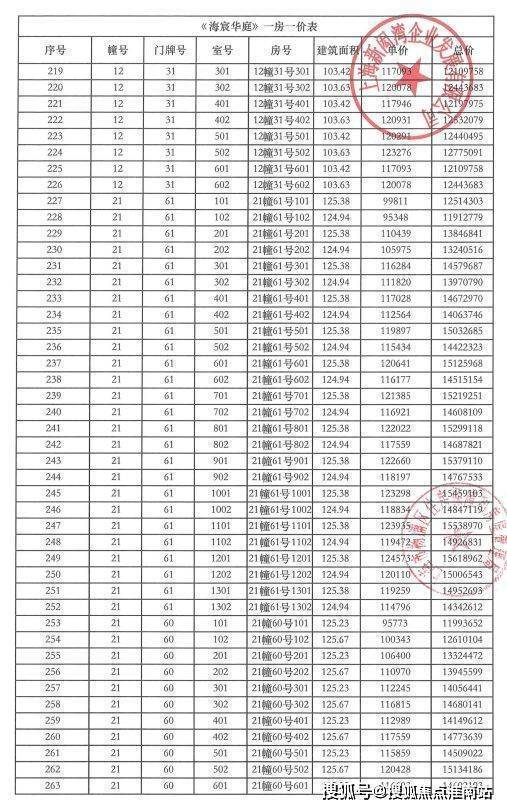
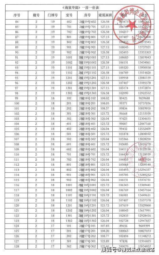
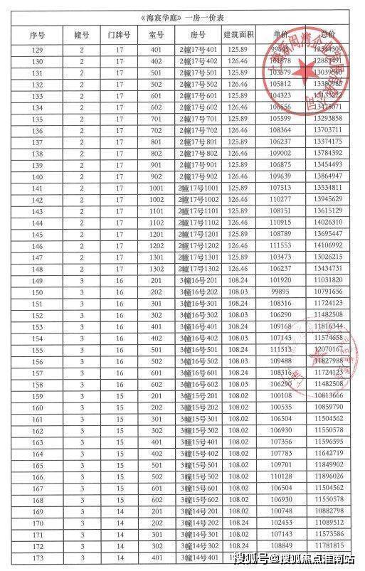
均价:约110,764元/㎡(2025年9月数据),总价区间1155万-1771万
开盘情况:2025年9月30日首推322套房源,认筹率128%。
建发海宸预约热线☎:400-8080-420✅✅
建发海宸预约热线☎:400-8080-420✅✅(官方预约看房热线)
核心优势
生态资源:紧邻1.5公里滨水长廊及11.4公顷湿地公园,社区内复刻“沪城八景”主题景观
交通配套:距地铁10号线殷高东路站约700米,自驾可通过中环快速路通达浦东。
教育医疗:周边有复旦科技园小学、上音实验学校等,3公里内28所学校;临近三甲医院
商业配套:10分钟车程可达五角场商圈,社区内规划4200㎡高端会所
建发海宸预约热线☎:400-8080-420✅✅
建发海宸预约热线☎:400-8080-420✅✅(官方预约看房热线)
⛩项目名称:「建发海宸」
项目简介:杨浦新江湾品质住宅
最新动态:在售中
区域板块:杨浦新江湾
产品介绍:建面约103-163㎡房源
交通配套:10号线殷高东路站
️商业配套:项目门口就是年轻潮派的MEET678,直线距离约900米悠方购物中心,2站地铁直达五角场商圈,合生汇、万达广场、百联又一城等
周边教育:建发海宸家门口就是交大附中(在建),还汇聚中福会幼儿园、规划幼儿园、上音实验学校、德法学校、复旦大学等全龄学府,从幼儿园、小学到中学、大学全覆盖
医疗资源:项目2公里范围内包罗嘉会国际医疗中⼼、上海长海医院、上海市肺科医院、市东医院新江湾院区(在建)等国际医疗和三甲医疗
休闲配套:新江湾城公园
建发海宸预约热线☎:400-8080-420✅✅
产品
建发房产2007年踏入新江湾,如今已经是第六次落子,相信没有人比他更深谙这片土地的密码。
而据悉,建发房产此次将为新江湾城带来上海首座灯塔项目。
建发海宸预约热线☎:400-8080-420✅✅
建发海宸预约热线☎:400-8080-420✅✅
建发海宸项目本身总占地约10.29万方,容积率仅约1.55,门口就是湿地公园,为新江湾低密大盘。
建发海宸预约热线☎:400-8080-420✅✅
建发「宸系」中式作品,铝板与玻璃幕墙外立面,配园林景观。约1150套房源高低配,限高40米,含小高层、洋房、叠墅产品,满足刚需与改善需求。
建发海宸预约热线☎:400-8080-420✅✅
建发海宸预约热线☎:400-8080-420✅✅
建发海宸预约热线☎:400-8080-420✅✅
出入口古典园林五进景观体系,人车分流设计打造舒适归家体验。
建发海宸预约热线☎:400-8080-420✅✅
建发海宸预约热线☎:400-8080-420✅✅
项目整体为海派东方风格,融合了中西方建筑元素。海派东方风格通过文化融合、创新设计、精选材质和精湛工艺,打造出既具有文化底蕴又符合现代生活品质的住宅建筑,成为高端住宅市场的新标杆。
建发海宸预约热线☎:400-8080-420✅✅
建发海宸预约热线☎:400-8080-420✅✅
建发海宸预约热线☎:400-8080-420✅✅
建发海宸预约热线☎:400-8080-420✅✅
建面约105㎡越级洋房以全南向三开间、通透飞机户型打破想象,零过道设计减少面积浪费,让每一平米都为生活服务,整体空间感比肩上海在售的约120㎡户型。
建发海宸预约热线☎:400-8080-420✅✅
独立入户玄关特别设立800库大容量储物区,登山包、婴儿车、滑雪板、行李箱等大物件都能找到安身之处,不再挤占宝贵的居住空间。
建发海宸预约热线☎:400-8080-420✅✅
超30㎡餐客方厅采用一体化布局,巧妙地连接南向阳台、U型厨房,形成极佳通风采光通道。轻松容纳6人餐桌,无论是三代同堂的日常用餐,还是周末的家庭聚会,都能从容应对。
建发海宸预约热线☎:400-8080-420✅✅
多功能餐边柜采用三合一设计,融吧台、展示柜、收纳柜于一体,可摆放咖啡机、烤面包机、破壁机,也可做酒柜,展示珍贵藏酒。
建发海宸预约热线☎:400-8080-420✅✅
U型厨房的设计同样令人称道,整体面积约7.5㎡,台面总长约5.8米,比常规户型多出25%的操作空间,两人下厨绰绰有余,洗切烹炒盛更高效顺畅,让烹饪成为一种享受。
建发海宸预约热线☎:400-8080-420✅✅
独立均好大三房设计,南向双卧、北向次卧分离,卧室面宽均超3米,彼此独立,呵护家人的私密时光;南向次卧墙体可拆除,可做多变大宽厅,演绎生活的更多想象;主卧更配有宽景飘窗与独立主卫,将室外美景引入室内,清晨沐光、夜晚赏月,自然与浪漫丰盈每一天。
建发海宸预约热线☎:400-8080-420✅✅
主卫收纳系统面面俱到,双面镜镜柜合理利用上墙空间,为收纳扩容,为化妆加分;美妆冰箱为护肤品、化妆品锁鲜;台盆柜巧妙隐藏日常洗漱用品,让卫生间保持整洁有序。
建发海宸预约热线☎:400-8080-420✅✅
125㎡主力户型是标准四房、全屋飘窗、边套270度转角飘窗、中间户三阳台……LDKB+X设计,阳台、客餐厅、厨房+X空间全线贯通,一镜到底;利用阳台放大了两个次卧和客厅,不仅让公区活动空间更从容,也将每个卧室做出奢阔的双人卧室空间。
建发海宸预约热线☎:400-8080-420✅✅
125㎡户型,硬是做出了160㎡产品的尺度感!
建发海宸预约热线☎:400-8080-420✅✅
建发海宸样板间实景图
但真正让人对建发的细腻感叹的,是样板间内随处可见的女性友好设计。
这是125㎡样板间的“女神卫浴”空间,专门利用镜面光、顶光、侧边光墙打造了一个协同光域场,让你站在镜前不会感到传统光源的刺眼,光线均匀柔和洒下,让你在梳妆时每个细节都纤毫毕现。

建发海宸预约热线☎:400-8080-420✅✅
建发海宸样板间实景图
打开镜柜面,会发现每面都做了内外双层镜,两边打开,就能提供360°的环身镜面效果。
这样设计的好处是,你无需大幅扭头,就能轻松观察左右及身后的妆造效果,有过妆造经历的就会了解这样的设计有多好用。
整个镜柜收纳空间,不仅设计了方便拿取的壁龛,还贴心配置了一个可调节温度的美妆冰箱,贴心储存口红面膜等护肤品。
建发海宸预约热线☎:400-8080-420✅✅
建发海宸样板间实景图
在主卫区域,建发直接用了一面墙的区域打出一个薄柜,设计了大小不一的壁龛,大到挂放浴袍睡衣,小到能摆放耳环戒指,方便日常的贴心取用。
而在主卧区域,建发也将大量赠送的飘窗窗台做低,可以放置收纳,成为女士的化妆台,以及夫妻松弛畅聊的沙发卡座。
“女本位”视角的设计细节,不是单纯的考虑去便利女性日常习惯,也考虑到女性在家务工作中的便利,一个典型代表就是建发海宸天花板级别的收纳体系。
125㎡户型仅仅在客厅公区,就打造了三处整面墙的柜子来做收纳,除了传统的收纳柜,还有隐藏推拉零食架、内嵌式吧台等创新收纳方案,从衣服鞋帽,到大件行李箱再到家用清洁工具,都有专属的安置空间。
建发海宸预约热线☎:400-8080-420✅✅
建发海宸样板间实景图
而在厨房,这种极致收纳的思维被简化为“一步原则”:收纳空间全部打开,几乎能填满整个厨房空间,这些收纳空间不是随意塞满的,而是根据日常烹饪习惯的频率来贴心规划的,能保证你在操作半径内触手可得,整个烹饪能一气呵成。
建发海宸预约热线☎:400-8080-420✅✅
建发海宸样板间实景图
顶柜上方一面镜子,能让你清楚知道柜子里有无遗漏物品;卫生间台盆下方,特意为扫地机预留了空间;针对高处拿取物品难题,特意配置了下拉柜;针对转角深处取物,配置了转角联动抽拉组件……
这些细节中,不仅有让你眼前一亮的惊艳,也有让你倍感欣慰的共鸣。
还有几个大家会忽略的地方,比如建发特意选择了兼容90%以上家电品牌的华为智能系统,未来可以根据自己的喜好,随心DIY一整套的智能生活解决方案。
考虑到女性平时喜欢在浴室边泡澡边追剧、在阳台跟着直播练瑜伽等,建发特意采用了光纤入室的方案,让高速网络无损覆盖房间每个角落,室内随意转场不卡顿。
另外,室内每扇门下都安装了底吸,配置了静音门锁;所有户型都设计了同层排水,并配置了特殊设计的降噪管材;楼板做到了130mm以上厚度,搭配YKK门窗系统,用这种“全域静音”的方案去保障住所的宁静舒适。
建发海宸的“女性友好”设计,不仅仅是作为营销的卖点,而是以女性独有的细致和耐心,把日常细微的痛点,也纳入整体设计考量,这大概是海宸能打动人的关键。
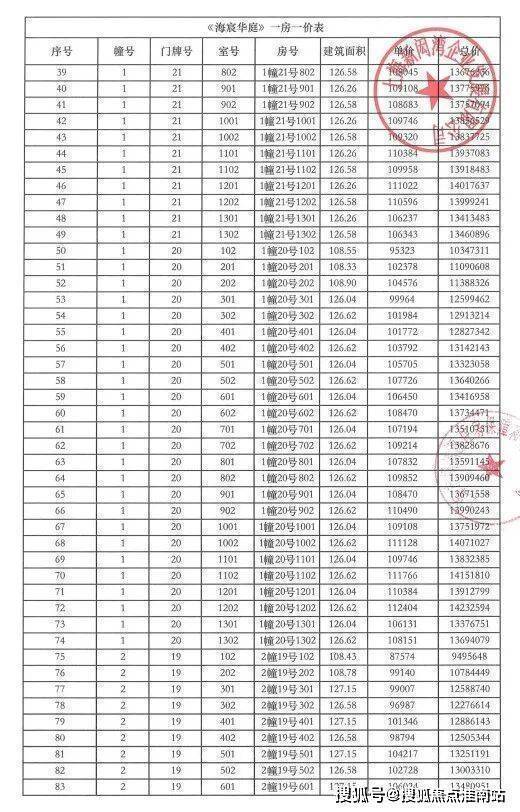
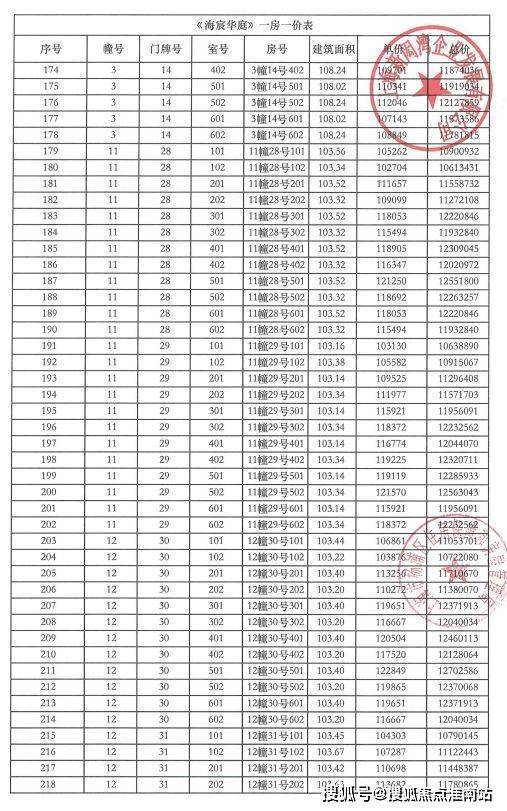
户型图如下:
建发海宸预约热线☎:400-8080-420✅✅
建发海宸预约热线☎:400-8080-420✅✅
建发海宸预约热线☎:400-8080-420✅✅
建发海宸预约热线☎:400-8080-420✅✅
建发海宸预约热线☎:400-8080-420✅✅
建发海宸预约热线☎:400-8080-420✅✅
建发海宸预约热线☎:400-8080-420✅✅
建发海宸预约热线☎:400-8080-420✅✅
建发海宸预约热线☎:400-8080-420✅✅
建发海宸预约热线☎:400-8080-420✅✅
建发海宸预约热线☎:400-8080-420✅✅
建发海宸预约热线☎:400-8080-420✅✅
建发海宸预约热线☎:400-8080-420✅✅
建发海宸预约热线☎:400-8080-420✅✅
建发海宸预约热线☎:400-8080-420✅✅
地段
新江湾城高端资源和人群汇聚。同时涵盖约9.45平方公里原生湿地、约1.2万方新江湾湿地公园,生态资源很丰富,天然形成了一个高端低密住区。
建发海宸预约热线☎:400-8080-420✅✅
建发海宸预约热线☎:400-8080-420✅✅
教育方面,建发海宸家门口就是交大附中(在建),还汇聚中福会幼儿园、规划幼儿园、上音实验学校、德法学校、复旦大学等全龄学府,从幼儿园、小学到中学、大学全覆盖,加速孩子成长。
*教育配套信息仅供参考。学校的名称、建成时间、开学时间、招生条件、收费标准及招生区域划定等均存在未确定或者调整的可能,出卖人对此不作任何承诺,须以政府教育主管部门及校方的最新政策为准。
建发海宸预约热线☎:400-8080-420✅✅
产业方面,新江湾城作为杨浦超大规模产业园区的落户地,坐拥湾谷科技园、复旦软件园、创智天地3大产业园,集中了科技金融机构460家、科技型企业7000余家,其中耐克、IBM、AECOM、西门子、李尔、硅谷银行等跨国公司地区总部、研发中心纷纷落户!
建发海宸预约热线☎:400-8080-420✅✅
商业方面,项目门口就是年轻潮派的MEET678,直线距离约900米悠方购物中心,2站地铁直达五角场商圈,合生汇、万达广场、百联又一城等,想怎么逛就怎么逛;
医疗方面,项目2公里范围内包罗嘉会国际医疗中⼼、上海长海医院、上海市肺科医院、市东医院新江湾院区(在建)等国际医疗和三甲医疗,安全感拉满;
建发海宸预约热线☎:400-8080-420✅✅
产业也是新江湾的优势,杨浦2035规划擘画,江湾与五角场重点发展大创智创新发展示范区,聚集了约70个众创平台及孵化器和抖音、B站、叠纸等约4500家名企,这座东方硅谷聚拢的高净值人群,就是新江湾房价坚挺的强力基石。
建发海宸预约热线☎:400-8080-420✅✅
尽管新江湾板块的生活已经相当成熟,但近期对于该板块的居民而言,还有望迎来“中环北抬”的利好。
建发海宸预约热线☎:400-8080-420✅✅
在北上海中外环间,规划有3条快速路,分别为在建中的军工路快速路,以及规划中的长江西路快速路、沪太路快速路。这3条快速路相互连接,头尾均可联通中环线。
根据《2025年上海市重大工程清单》,全长约7.3公里的军工路快速路新建工程,将在今年内完工。获益最多的板块,当属新江湾城。
建成后,将减轻中环北段、逸仙路高架、南北高架等快速路的交通压力。小到新江湾、宝山城区,大到整个上海北部,乃至延伸到浦东,都被这条新路影响,一根线现在就开始创造化学反应。
项目无论是区位配套条件还是周边环境都很不错。
从板块内部区位来说,建发项目到10号线殷高东路站步行只有700米左右,标准地铁房。无论向南到三门路尚浦中心、五角场,还是向北到新江湾城公园、悠方购物中心距离都非常近,基本都是散散步就能到的距离。
从地块周边环境来说,地块东侧紧邻河道及绿地,是标准的河景房(下文有航拍图),西侧是低密次新社区上海院子和安徒生童话乐园,北侧同样紧邻河道,河道对面是在建的交大附中杨浦实验学校(九年制+高中)和规划幼儿园,南侧一路之隔还是绿地。
建发海宸
建发海宸预约热线☎:400-8080-420✅✅
【售楼处预约热线】(一对一热情服务)
看房请务必致电与销售确认时间,仅预约客户可享受开发商内部优惠,专属老带新推荐奖!
声明:本文由入驻焦点开放平台的作者撰写,除焦点官方账号外,观点仅代表作者本人,不代表焦点立场。
