碧云澧悦(碧云澧悦售楼处)首页网站-碧云澧悦营销中心碧云澧悦欢迎您-楼盘详情-最新价格-户型图-容积率

搜狐焦点孝感站 2025-06-24 07:13:00
用手机看
扫描到手机,新闻随时看

扫一扫,用手机看文章
更加方便分享给朋友

🔷🔸碧云澧悦售楼部电话:400-8877-480

🔷🔸碧云澧悦售楼部电话:400-8877-480

🔷🔸如需参观样板间或了解房源信息,请务必提前致电预约!

🔷🔸专业销售一对一咨询 耐心等待官方VIP客户经理回电

🔷🔸碧云澧悦售楼部电话:400-8877-480

碧云澧悦容积率只有1.8,清一色11-14F住宅,垂直空间住户少,邻里干扰少,等电梯时间短。且拥有约30-48米宽的疏阔楼间距,采光、居住舒适度堪称500万级翘楚。

🔷🔸碧云澧悦售楼部电话:400-8877-480

项目立面规划以简约流线型线条为主脉络,框体结构搭配层叠横向线条,实际的呈现确实是超乎想象。

🔷🔸碧云澧悦售楼部电话:400-8877-480

社区内部规划“一环一轴三园”的景观布局,以绿意包裹整个小区,打造绿氧环绕的公园住区。漫步在花园小径,呼吸新鲜氧负离子,在自然中享受阳光微醺和清新绿意,在生机盎然中安享静谧。

🔷🔸碧云澧悦售楼部电话:400-8877-480

🔷🔸碧云澧悦售楼部电话:400-8877-480

最新消息!浦东周浦「金桥碧云澧悦」少量建面约93-165㎡3-4房;均价5.6万/㎡!总价458万起;还有数套总价420万+的84㎡3房非标户型;目前已开盘,现直接认购;售楼处线上火热预约中!

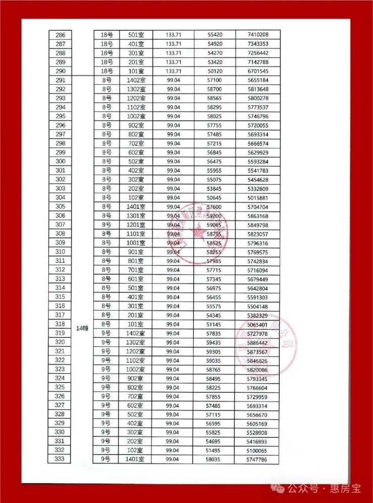
一房一价表如下

一房一价👇

«上下滑动查看»

🔷🔸碧云澧悦售楼部电话:400-8877-480

在售户型图发布:

🔷🔸碧云澧悦售楼部电话:400-8877-480

99㎡3房样板间展示如下

🔷🔸碧云澧悦售楼部电话:400-8877-480

精心规划“一环、一轴、三园”,于建筑中另辟一方天地,以绿意包裹整个小区,打造绿氧环绕的公园住区。漫步在花园小径,呼吸新鲜氧负离子在自然中享受阳光微醺和清新绿意,在生机盎然中安享静谧。

🔷🔸碧云澧悦售楼部电话:400-8877-480

公园住区,项目以1.8从容容积率,塑造人居空间的舒适尺度。

🔷🔸碧云澧悦售楼部电话:400-8877-480

项目规划以简约流线型线条为主脉络,框体结构搭配层叠横向线条,辅以庄重典雅的淡色玻璃,从而营造隐而不喧的优雅色彩,简约的设计更能呈现丰富的内涵,细节的掌控凸显匠心的品质。

🔷🔸碧云澧悦售楼部电话:400-8877-480

在浦东买房,核心要素是跟着张江买,那在如今扩容后的张江科学城,面对周边一众650万、700万级新房,5字头的碧云澧悦堪称“断层领先的性价比”,不仅是整个大张江科学城的门槛价,更是你当下,甚至未来500万级买进张江的仅剩机会!

🔷🔸碧云澧悦售楼部电话:400-8877-480

周浦联动价早就6万+,品质二手房更是6万+,5.6万/㎡的碧云澧悦性价比错过难寻!周浦品质二手房九龙仓兰庭目前挂牌价约7-7.8万/㎡;明天华城二手挂牌约6.5-7.3万/㎡,项目性价比无需多言。

🔷🔸碧云澧悦售楼部电话:400-8877-480

而碧云澧悦周边云集张江、前滩、迪士尼多个高能级产业区,到陆家嘴也很方便。项目四周产业区质量高、距离近,那周浦未来发展确定性也就更强,性价比更高。便捷连接多个明星级产业区,碧云澧悦是500万级中产业厚度、产业确定性更强的新盘。

🔷🔸碧云澧悦售楼部电话:400-8877-480

至2035年,发展成为凝聚科创力量,充满人文气息的“魅力小上海”,依托张江科学城,形成以医疗服务、电子商务和时尚创意为主导产业,宜居宜业的综合型城镇。

🔷🔸碧云澧悦售楼部电话:400-8877-480

周浦既承载张江核心外溢,自身还有高质量的生物医药产业。碧云澧悦则是整个大张江性价比更高的一个新盘,且离产业近水楼台,前景可期!

🔷🔸碧云澧悦售楼部电话:400-8877-480

交通配套:距离16号线周浦东站约1.8公里、18号线繁荣路站约2.6公里,算不上名副其实的地铁盘,可借助其他短驳交通工具,通勤到张江、前滩、陆家嘴、人民广场等核心区域还是比较方便的。

🔷🔸碧云澧悦售楼部电话:400-8877-480

自驾出行也十分便捷,通过沪奉公路链接外环、中环、罗山高架以及申嘉湖高速等城市主干道,四通八达!

🔷🔸碧云澧悦售楼部电话:400-8877-480

商业配套:板块内配套成熟,3km范围内有万达广场,小上海步行街,绿地缤纷广场,印象生活广场等商业中心。

🔷🔸碧云澧悦售楼部电话:400-8877-480

教育配套:周边有浦东新区澧溪幼儿园、傅雷幼儿园、澧溪小学、周浦第二小学、周浦实验学校、澧溪中学、傅雷中学等教育配套。项目南侧中金海棠湾对口周浦实验学校(九年一贯制公办)可参考,期房不承诺学区对口。

🔷🔸碧云澧悦售楼部电话:400-8877-480

医疗配套:项目南侧就是浦东新区周浦医院,步行可达,可以完全满足平时基本的就医需求。

🔷🔸碧云澧悦售楼部电话:400-8877-480

休闲配套:项目1公里范围内有周浦文化公园、周浦体育中心(在建)等配套。

声明:本文由入驻焦点开放平台的作者撰写,除焦点官方账号外,观点仅代表作者本人,不代表焦点立场。