——龙湖御湖境——
龙湖御湖境售楼处电话:400-9966-940⭐⭐
龙湖御湖境售楼处预约热线☎:📞 400-9966-940☎☎🏠🏠【官方认证】📱✔✔✔
龙湖御湖境楼盘新品上线!📞 售楼处咨询专线📞 400-9966-940☎☎🏠🏠【官方认证】,户型/配套/位置详情一键获取
龙湖御湖境售楼处预约热线☎:📞 400-9966-940☎☎🏠🏠【官方认证】📱✔✔✔
龙湖御湖境售楼处电话:400-9966-940⭐⭐
◆开发商营销中心诚挚邀请,一键预约,尊享内部独家折扣!匠心独运的精品项目,恭候您的品鉴与选择。
如有问题欢迎来电咨询,预约来电尊享购房优惠,可预约案场内部销售人员,专业一对一热情服务,让您用专业眼光去买房,【售楼处预约热线】(一对一热情服务)
最近奉贤,有一个新盘频频火爆出圈,点燃楼市!TA就是奉贤御湖境。
7月6日,项目开启建档登记,截止目前档近400组,正式进入“人抢房”模式!
而热度最强力的催化剂,就是它超预期的产品力兑现。


7月12日,海派实景全维示范区惊艳亮相,殿堂级门扉、奉贤首个无边泳池、奉贤首座中央车站、琉璃光院……不少以往亿级豪宅才有的配置,实景呈现。
如此,细致入微的舍本和用心,在奉贤很难有第二个项目能做到!


龙湖·御湖境
奉贤新城 上海之鱼旁
建面约107-175㎡高层/洋房
均价4.55万/㎡ 总价430万起
1500方海派会馆+低密滨湖墅境
样板房线上火热预约中

户型图如下:




2023年龙湖发布全新的三大产品系:云河颂、御湖境、青云阙,其中御湖境为臻萃之著,云河颂为艺术之作,青云阙为隐贵之品。这是区别于刚需的高端改善型产品,其提到要把改善型产品作为主力。
2024年8月,位于松江新城的上海龙湖御湖境,迎来交付。我们以此作为参考:

上海龙湖松江御湖境交付实景
作为御湖境产品线第一个交付的项目,上海龙湖御湖境在建筑立面、园林呈现、空间打造等多个方面,都坚持以卓越的产品力,引领着沪上高端人居的迭代。
一抹“鎏金色”,勾勒出经典“油画框”般的艺术感,也树立起了上海松江新城的“颜值标杆”。
类似苹果手机的弧面设计,让建筑以更加优雅的姿态立于天际线种,轻盈中带着律动,呈现出鼎级大宅的超现代感。



上海龙湖松江御湖境交付实景
楼间距达到约40~63米,阔绰空间足以打造一个双中庭对称的近1600㎡中央公园,涵盖近700㎡组合慢空间,约500㎡阳光草坪,约350㎡儿童活动区。


上海龙湖松江御湖境交付实景
项目更是将产地不同、产量稀少、造价不菲的奢石投入入户大堂、墙壁以及园林,据不完全统计,大概有三十多处地方。





上海御湖境的惊艳交付,再一次向我们诠释了城市顶流的产品魅力。
龙湖是深耕奉贤的品质开发商,已在奉贤新城开发了双龙湖天街、4个高品质住宅小区。
高端置业,有自己的「圈子」执念。
那些历经数年乃至数十年时间沉淀而来的成熟生活圈,是其他边缘板块无法企及的。绝佳的成熟城市占位,意味着,购房者和居住板块之间不存在板块成长的磨合期,也不会因此承担不必要的居住成本和成长风险。
如果说“十字中轴”是奉贤新城的骨骼,那么“奉贤天街核心区”就是它的心脏。

当奉贤天街与上海之鱼两大坐标,于龙湖御湖境相遇,一个充满张力的海派生活场域就此诞生!随便捋一捋,就知道御湖境的“底子”有多厚了。
从御湖境出发,向南步行约500米即是地标级购物中心——约14万㎡奉贤天街,年客流超1850万人次,奉贤顶流。

向北驱车6分钟则直达奉贤超级生态艺术地标——上海之鱼,人工湖湖面面积上海TOP3, 奉贤博物馆等场馆环湖而立,还有约30万㎡溜娃圣地泡泡公园,随时等你来一场说走就走的城市“微度假”!
闲暇时可以去九棵树未来艺术中心看看话剧,打卡一票难求的舞蹈诗剧《只此青绿》,在微博电影之夜上邂逅明星顶流,欣赏上海国际电影节上的环球佳片,在这里都是你的日常。
更令人期待的是,南上海体育中心(在建)已开工建设,预计2028年完工后将成为上海第三个万人体育场,家门口轻松观看顶流赛事或明星演唱会。

步行约450米直达地铁5号线始发奉贤新城站。再加上金海公路,直通虹梅南路隧道,最快约35分钟瞬至徐汇滨江;出门即达快速公交BRT金海公路站,轻松换乘8号线,让浦东陆家嘴成为通勤可达的“日常选项”。
此外,更有奉贤顶级学府奉贤中学等15年全年龄教育链加持,以及从专业到综合的医疗矩阵护航……这些顶级资源的叠加,让龙湖御湖境成为值得一生珍藏的土地。
还里正快速成长为全新的高端住宅区。旁边金海壹品和龙湖天曜都是22年高积分项目,开盘即罄;龙湖观萃更是24年外环外第一、全上海第三的奉贤第一红盘。

这片处处闪耀着国际与艺术的澎湃土地,正在成为沪上新一代海派人物的理想居住地。
一房一价

——龙湖御湖境——
龙湖御湖境售楼处电话:400-9966-940⭐⭐
龙湖御湖境售楼处预约热线☎:📞 400-9966-940☎☎🏠🏠【官方认证】📱✔✔✔
龙湖御湖境楼盘新品上线!📞 售楼处咨询专线📞 400-9966-940☎☎🏠🏠【官方认证】,户型/配套/位置详情一键获取
龙湖御湖境售楼处预约热线☎:📞 400-9966-940☎☎🏠🏠【官方认证】📱✔✔✔
龙湖御湖境售楼处电话:400-9966-940⭐⭐
◆开发商营销中心诚挚邀请,一键预约,尊享内部独家折扣!匠心独运的精品项目,恭候您的品鉴与选择。
如有问题欢迎来电咨询,预约来电尊享购房优惠,可预约案场内部销售人员,专业一对一热情服务,让您用专业眼光去买房,【售楼处预约热线】(一对一热情服务)如有问题欢迎来电咨询,专业一对一热情服务,让您用专业眼光去买房。楼盘项目全面介绍(包含楼盘简介,均价,房价,现房,期房,别墅,叠墅,大平层,价格,楼盘地址,户型图,交通规划,备案价,备案名,项目配套,样板间,开盘时间,认筹时间,楼盘详情,售楼处电话,最新消息,最新详情,周边配套,一房一价,最新进展等详情咨询)楼盘详情丨价格丨更多优惠丨机不可失丨欢迎致电丨诚邀品鉴!售楼处位置丨特价房丨工抵房丨剩余房源丨户型图丨最新消息配套设施是反映楼盘生活便利程度的重要因素,包括小区内的运动场所、停车场、公共设施等。物业服务则直接关系到居住者的生活品质,包括安保服务、保洁服务、设备维护等。具体到街道、区域名称,临近交通线路、自驾路线。商业、教育、医疗等配套设施分布,总占地面积、总建筑面积数据,容积率,绿化率,得房率,梯户比,物业费,小高层、洋房、高层、独栋别墅、叠加别墅、联排别墅,总户数、楼层分布,面积范围,均价/总价。首付比例、贷款政策,精装交付,含中央空调、地暖等系统,70年住宅产权,物业公司及资质,预计交付时间或施工进度,当前购房优惠政策
楼盘项目全面介绍,本电话为开发商提供线上预约售楼电话,楼盘项目全面介绍(包含楼盘简介,均价,房价,现房,期房,别墅,叠墅,大平层,价格,楼盘地址,户型图,交通规划,备案价,备案名,项目配套,样板间,开盘时间,认筹时间,楼盘详情,售楼处电话,最新消息,最新详情,周边配套,一房一价,最新进展等详情咨询)楼盘详情丨价格丨更多优惠丨机不可失丨欢迎致电丨诚邀品鉴!售楼处位置丨特价房丨工抵房丨剩余房源丨户型图丨最新消息丨免责声明:将文章内容综合来源于网络、只作分享,版权归原作者所有!!如有侵权,请联系我们,我们第一时间处理如有问题欢迎来电咨询,专业一对一热情服务,让您用专业眼光去买房.如果您想了解更多楼盘详情,欢迎提前预约拨打
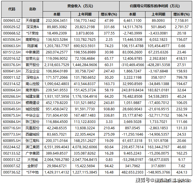
中房网根据同花顺iFinD数据统计,截至10月31日,A股共有85家上市房企披露2025年三季度业绩报告。其中,超4成房企营收实现同比增长;43家房企实现盈利,占比超五成;归母净利润实现同比增长的房企共有37家,占比为43.53%。
自2022年起,房地产行业业绩承压态势已延续数年。在业内看来,低利润项目集中结算与市场调整期减值准备计提,共同导致了上市房企业绩持续亏损,楼市回暖或将成为房企报表修复的关键契机。
超4成房企营收同比增长
从上市房企三季度报告来看,营收实现同比增长的房企共有36家,占比为42.35%;营收同比下滑的有49家,占比57.65%。
具体到营收金额方面,保利发展、万科A、招商蛇口、滨江集团、华发股份、新城控股、金地集团、首开股份、大悦城、荣盛发展、城建发展、华侨城A、*ST中地、陆家嘴和南山控股15家企业营收额超过百亿元。其中,保利发展、万科A和招商蛇口分别以1737.2亿元、1613.9亿元和897.66亿元的营收居于A股上市房企前三位。

部分头部房企亏损较大
归母净利润方面,前三季度共有43家房企实现盈利,占比超过五成。
其中,有7家房企归母净利润超过10亿元,分别是*ST中地、招商蛇口、南京高科、滨江集团、保利发展、上海临港和陆家嘴。

上述房企中,*ST中地(中交地产)的表现较为亮眼。三季报数据显示,公司前三季度营收达142.93亿元,同比增长16.48%;实现净利润48.27亿元,扭亏为盈,同比大幅增长424.13%。
作为一家“披星戴帽”的房企,其账面盈利的核心驱动力来自重大资产重组。今年6月,*ST 中地公告称,计划将旗下房地产开发业务相关的全部资产与负债,转让给控股股东中交房地产集团有限公司。这一重组事项在8月31日完成实质资产交接,房地产业务自此正式退出公司合并报表范围。
据悉,资产重组为* ST中地带来64.89亿元的资产置出相关收益,这一数据直接拉动了当期利润表现,同时推动归属于上市公司股东的净资产转正至12.48亿元。
让人唏嘘的是,三季度业绩亮眼的房企,恰恰是已经退出房地产开发业务的那家。
值得注意的是,期内部分龙头房企归母净利润出现较大亏损,如万科、*ST金科、华夏幸福等。
数据显示,今年前三季度,万科实现营业收入1613.9亿元,同比下滑16.61%;归属于上市公司股东的净亏损280.2亿元,同比下滑56.14%。
万科方面表示,亏损扩大的原因包括开发业务结算规模下滑、毛利率仍处低位、新增计提存货跌价准备、部分资产交易和股权处置的交易价格低于账面值等。
另一亏损规模超百亿的为*ST金科。前三季度,金科实现营业总收入56.99亿元,同比下滑73.57%;归母净利润亏损107.78亿元,同比下滑102.12%。
还有华夏幸福,其亏损规模也近百亿。前三季度,公司营业收入为38.82亿元,同比下降72.09%,归属于上市公司股东的净利润亏损98.29亿元,同比下滑338.67%。
25家房企实现营收和归母净利润双增
前三季度有25家房企实现了营收和归母净利润的双增长。

有37家房企实现归母净利润实现同比正增长。其中,天保基建、深深房A、深物业A、渝开发、*ST中地、世荣兆业、城投控股、南山控股、中华企业、广宇集团、万业企业、南都物业、新黄浦、凤凰股份、中洲控股、珠江股份、栖霞建设17家房企前三季度的归母净利润增长超过100%。
其中,天保基建前三季度归属于上市公司股东的净利润增幅最大,为7158.91%。天保基建表示,业绩增长主要得益于报告期内满足收入结转条件的项目增加,以及冲回的土地增值税增加和资产减值损失减少。
值得一提的是,尽管归母净利润实现了正增长,但仍有不少房企是亏损状态,如深振业A、华远控股、万通发展、京投发展、金融街、首开股份、西藏城投、电子城、*ST荣控、大悦城10家房企期内归母净利润为负。

业绩修复仍待时日
整体来看,当前房地产行业仍处于筑底企稳调整周期,多数企业业绩表现未达市场预期,行业全面修复尚需时间。
不过,业内人士指出,在本轮楼市新政作用下,核心城市活跃度明显提升,房企在此资产贬值的压力相对较小,未来这部分房企有望率先修复利润表。多家企业也表示,通过在核心城市拿利润较高的项目,逐步带动利润表的修复。
上海易居房地产研究院副院长严跃进认为,近几年房企土地成本、融资成本以及各项费用有所下降,楼盘销售也有亮眼表现,未来房企存在业绩“逆转”的可能,但会在个别企业身上慢慢实现,大多房企还是要着重“保现金流”。