国贸虹桥璟上(售楼处)官方网站-销售中心(营销中心)-国贸虹桥璟上楼盘欢迎您-小区环境-户型-地址-楼盘详情-周边配套-售楼处电话-交房时间
扫描到手机,新闻随时看
扫一扫,用手机看文章
更加方便分享给朋友




项目主推 96精装户型,全屋甄选一线品牌家装,品质与格调兼具。配备智能家居中控系统,通过手机 APP 或语音指令,即可实现对灯光、空调、窗帘等全屋设备的一键控制,让生活更加智能便捷。经专业机构测评,项目能效等级达国家一级标准,年均节能 80%,在践行绿色低碳生活理念的同时,为业主节省生活成本。优化策略:突出 “BIM 技术”“WELL 健康认证”“双碳住宅” 等专业术语,搭配 “[技术原理图]”“[节能数据对比表]” 等可视化元素(实际使用时添加 alt 属性),增强内容专业度与可读性。此外,增加技术原理的详细阐释与应用场景描述,让读者更直观地了解科技住宅的优势。17号线嘉松中路站约700米
世外公办九年制一路之隔
「国贸·虹桥璟上」
建面约105㎡3房热销中
总价约550-600万
建面约129㎡4房热销中
总价约700-800万
95折+1万买产权车位+5年物业费
实景现房清盘在即
看房找我有返佣

巨匠国贸 世界500强企业
国贸控股为厦门市属直管国有企业集团。2022年,国贸控股第6次蝉联《财富》世界500强位居106位(全国仅有44家公司入榜世界品牌500强,其中有华为、CCTV、茅台等知名企业),第13次荣膺中国企业500强,位居56位,同时进入《财富》首届中国ESG影响力榜,品牌价值达到686.72亿元。
国贸地产作为国贸控股核心成员企业,36载步履,布局福建、长三角、长江中游、大湾区、成渝城市群5大区域,19个重点城市。国贸虹桥璟上已是国贸地产深耕上海近10年打磨9个精品住宅项目,公司已形成“原系”、“上系”、“天琴系”等高品质产品系。
上系致力于满足业主的全方位追求,是匠心打造的纯粹之作。上系产品择址都市核心区域,以极致户型设计、艺术精装、智能系统等为核心要素,匠造上乘品质人居,提供客户定制化的绝佳生活体验;国贸虹桥璟上作为在上海首个“上系”产品,作为国贸地产上海十年作品,将接棒大虹桥热度,继续点亮虹桥!
建筑设计
现代风格:立面利用大面积玻璃+阳台落地窗+金属型材+层间装饰提升建筑整体感和精致度,外立面大面采用浅色仿石多彩漆,浅灰色金属格栅,浅灰色玻璃,香槟色金属型材收边形成创造出建筑独有的人与自然、动静结合、丰富美观的轻盈质感,彰显住宅品质

滨水住宅,水系景观,上海之住宅孤品
我们精心为您设计打造多元立体复合式年轻化社区,将上海摩登、海派、潮流、自信的元素同国贸地产独有的海洋美学产品设计进行交汇融合,倾力打造”摩登都市、海派漫居”的生活理念及方式。住宅不仅仅是建筑,而是能提供亲情邻里交流的场所,有家园的氛围、能够营造静谧式花园般的栖息之所,因此在小区景观设计上围绕“3L+”设计理念,通过3个岛屿社区、1条活力滨水生活带、1座森养乐活公园加上1个海岛度假泛会所,呈现出全景式多维立体社交型景观社区,营造具有度假感、品质感、季节感的漫屿九景:




产品分布
国贸“上系”品质生活,滨水精致住区
约82-129㎡轻奢三房、阔绰四房
项目概况
项目名称:国贸虹桥璟上
建筑面积:约19.8万方
联动价:54500元/㎡
面积段:约82㎡/89㎡/105㎡/129㎡
得房率:约77%-80%(以预测绘报告为准)
共20幢楼、16-17层的高层、标准层高约3米、架空层(约3.5米-4米)
首开套数:预计343套;
规划总套数:可售住宅1265套
容积率:2.2
四批次收官房源↓
在售户型&样板房鉴赏↓


板块配套
世界虹桥 西上海经济引擎
大虹桥:国际开放枢纽、国家战略重点发展区域,是面向全球,辐射长三角的经济巨擎。国贸虹桥璟上占位虹桥核心区域,17号线地铁5站即可到达大虹桥核心功能承载区,将成为精英人士置业优选。
上海之门 国际枢纽
青浦区基于”一城两翼,一带三核” 发展战略目标,正着力推进东翼(赵巷商业商务区+西虹桥商务区)发展为国际一流的现代服务业集聚区。并通过17 号地铁线串联起三大核心节点,东起徐泾北斗产业基地,西到金泽华为研发基地,中部核心就是赵巷市西信息软件园。预期,未来这条产业带上,将会有65万高端人口导入

产城一体 赵巷高新科创地
赵巷定位为以软件和信息服务业为引领的科创产业示范区,大科创持续补强大虹桥,成为推动经济发展的新引擎。

产业布局
市西信息软件园
嘉松中路站科创主体是市西软件园,作为上海十三五规划重点科技园区,在青浦区十四五规划中,将成为上海软件开发和新一代信息技术的重要功能区,定位为千亿级产业园区,提供就业岗位约15万人。计划2025年预计实现建筑面积约400万㎡,经营收入达到1000亿,发展信息技术、人工智能、大数据、云计算、生命健康等多元化产业。2017年上海经信委将市西信息软件园正式纳入上海”一中四方“战略布局,成为上海软件信息产业布局中的重要一环。“一中”是以中心城区为主,“四方”指的是浦东张江科创园、闵行紫竹科技园区、静安高新科创园区、青浦市西信息软件园。

漕河泾科技绿洲
目前字节跳动(今日头条/抖音)、日本骊住亚太研发中心、商汤科技、术康医疗等企业已入驻。
近期又吸引了行业标杆型上市企业和全球总部,如科顺股份、欣巴科技、云门科技等,同时还引入了数迅信息、奇科信息、博慈、璞石医疗科技等高新技术企业和软件信息类企业。

网易上海国际文创科技园
预计2024年建成并投入使用。将为青浦区打造一个集创意、孵化、研发、办公、商业、生活、休闲为一体的24小时“工作+生活”的创意产业园,预计引入2万员工。

北斗西虹桥基地
应对北斗全球卫星导航产业新一轮提速而规划建造的新园区。与本案一路之隔,计划于2023年9月完成一期地块竣工,2024年6月二期地块竣工,建成后将聚集100家以上北斗相关产业企业,凭借主题产业北斗导航、5G、人工智能云端基础平台,成为研发智慧导航、智慧物流、智慧城市的创新企业办公。

未来虹桥璟上板块内随着产业人口的虹吸效应,将会有海量的产业聚集,大量高收入、高学历的人才导入,居住需求庞大。而作为赵巷商务区稀量住宅的国贸虹桥璟上,将成为未来爆款红盘。
另外,赵巷在“一中四方”的战略布局里面,环比浦东张江13万+价格、市北高新10万+价格,闵行紫竹8万+价格,这里5万+的洼地,正是潜力之所在。


交通配套
项目南侧为17号线嘉松中路站(直线距离约700米,步行约10分钟即可到达)
2站徐盈路站(天空万科广场);
3站蟠龙路站(蟠龙天地);
4站诸光路(国家会展中心);
5站虹桥火车站(虹桥商务区)并无缝换乘2号线,直达人民广场、静安寺、南京西路站。
崧泽高架、G50沪渝高速、沈海高速,可快速连接嘉闵高架、北翟路高架等市区重要交通主干道;
拥有“一纵四横”自驾交通路网,嘉松中路-崧泽高架-盈港东路-沪青平公路-G50沪渝高速

商业配套
项目规划建筑约1300平自持商业街、约1800平自持菜市场,满足日常所需
17号线赵巷嘉松中路地铁上盖项目,在建虹桥首个日式TOD购物中心Terrace Park,预计2023年底开业(约700米)
青浦奥特莱斯商业中心(约1KM)
合生新天地商业中心(约2KM)
由日本现代建筑大师安藤钟雄先生匠心打造的“元祖梦世界”,是中国首座专门为儿童定制的乐园和商业综合体,上海童心地标(约2.3KM)
沃尔玛旗下高端会员制商店山姆会员店(约5KM)
地铁上盖商业:万科天空之城(2站徐盈路地铁)、蟠龙天地古镇商业(3站蟠龙路地铁站)

教育资源
紧邻项目东侧200米,政府规划幼儿园
国贸为政府代建两所9年一贯制学校(小学+初中),紧邻项目西侧,一路之隔
上海宋庆龄学校(约3KM),协和双语学校(约4.5KM)
(仅列举项目周边学校名称,不作对口承诺,学区划分以教育局公布为准)

9月5日“世外”正式官宣落定赵巷,这所世外托管的公办九年制学校为国贸代建学校,与项目仅一路之隔,未来大概率对口。(期房不承诺学区,学区划分以教育局公布为准)。

医疗资源
约 2公里可到德达医院(私立医院)
约 5.6公里到上海医大医院
上海新虹桥医学中心(约7KM)
复旦大学附属中山医院(约8KM)三级甲等
楼盘项目全面介绍,本电话为开发商提供线上预约售楼电话,楼盘项目全面介绍(包含楼盘简介,均价,房价,现房,期房,别墅,叠墅,大平层,价格,楼盘地址,户型图,交通规划,备案价,备案名,项目配套,样板间,开盘时间,认筹时间,楼盘详情,售楼处电话,最新消息,最新详情,周边配套,一房一价,最新进展等详情咨询)楼盘详情丨价格丨更多优惠丨机不可失丨欢迎致电丨诚邀品鉴!售楼处位置丨特价房丨工抵房丨剩余房源丨户型图丨最新消息丨免责声明:将文章内容综合来源于网络、只作分享,版权归原作者所有!!如有侵权,请联系我们,我们第一时间处理如有问题欢迎来电咨询,专业一对一热情服务,让您用专业眼光去买房.如果您想了解更多楼盘详情,欢迎提前预约拨打
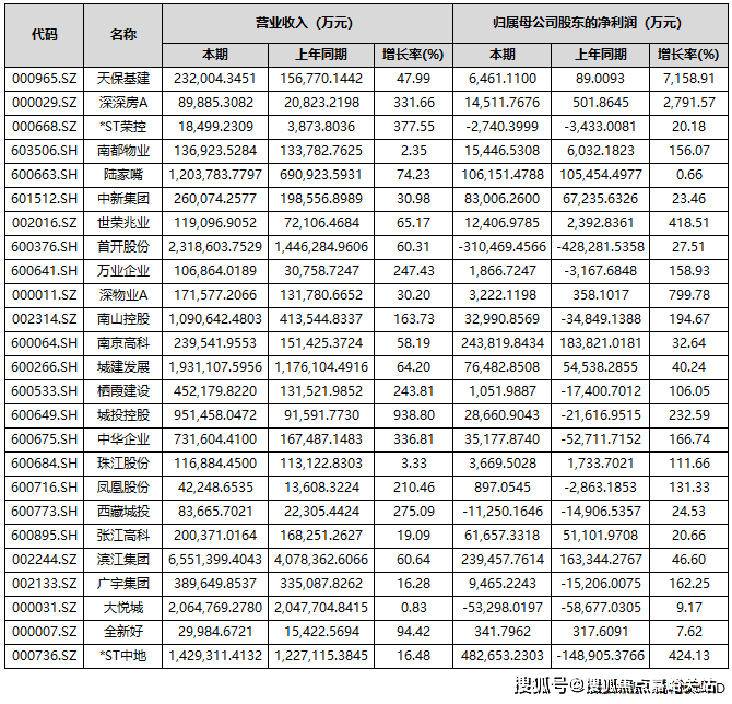
中房网根据同花顺iFinD数据统计,截至10月31日,A股共有85家上市房企披露2025年三季度业绩报告。其中,超4成房企营收实现同比增长;43家房企实现盈利,占比超五成;归母净利润实现同比增长的房企共有37家,占比为43.53%。
自2022年起,房地产行业业绩承压态势已延续数年。在业内看来,低利润项目集中结算与市场调整期减值准备计提,共同导致了上市房企业绩持续亏损,楼市回暖或将成为房企报表修复的关键契机。
超4成房企营收同比增长
从上市房企三季度报告来看,营收实现同比增长的房企共有36家,占比为42.35%;营收同比下滑的有49家,占比57.65%。
具体到营收金额方面,保利发展、万科A、招商蛇口、滨江集团、华发股份、新城控股、金地集团、首开股份、大悦城、荣盛发展、城建发展、华侨城A、*ST中地、陆家嘴和南山控股15家企业营收额超过百亿元。其中,保利发展、万科A和招商蛇口分别以1737.2亿元、1613.9亿元和897.66亿元的营收居于A股上市房企前三位。

部分头部房企亏损较大
归母净利润方面,前三季度共有43家房企实现盈利,占比超过五成。
其中,有7家房企归母净利润超过10亿元,分别是*ST中地、招商蛇口、南京高科、滨江集团、保利发展、上海临港和陆家嘴。

上述房企中,*ST中地(中交地产)的表现较为亮眼。三季报数据显示,公司前三季度营收达142.93亿元,同比增长16.48%;实现净利润48.27亿元,扭亏为盈,同比大幅增长424.13%。
作为一家“披星戴帽”的房企,其账面盈利的核心驱动力来自重大资产重组。今年6月,*ST 中地公告称,计划将旗下房地产开发业务相关的全部资产与负债,转让给控股股东中交房地产集团有限公司。这一重组事项在8月31日完成实质资产交接,房地产业务自此正式退出公司合并报表范围。
据悉,资产重组为* ST中地带来64.89亿元的资产置出相关收益,这一数据直接拉动了当期利润表现,同时推动归属于上市公司股东的净资产转正至12.48亿元。
让人唏嘘的是,三季度业绩亮眼的房企,恰恰是已经退出房地产开发业务的那家。
值得注意的是,期内部分龙头房企归母净利润出现较大亏损,如万科、*ST金科、华夏幸福等。
数据显示,今年前三季度,万科实现营业收入1613.9亿元,同比下滑16.61%;归属于上市公司股东的净亏损280.2亿元,同比下滑56.14%。
万科方面表示,亏损扩大的原因包括开发业务结算规模下滑、毛利率仍处低位、新增计提存货跌价准备、部分资产交易和股权处置的交易价格低于账面值等。
另一亏损规模超百亿的为*ST金科。前三季度,金科实现营业总收入56.99亿元,同比下滑73.57%;归母净利润亏损107.78亿元,同比下滑102.12%。
还有华夏幸福,其亏损规模也近百亿。前三季度,公司营业收入为38.82亿元,同比下降72.09%,归属于上市公司股东的净利润亏损98.29亿元,同比下滑338.67%。
25家房企实现营收和归母净利润双增
前三季度有25家房企实现了营收和归母净利润的双增长。

有37家房企实现归母净利润实现同比正增长。其中,天保基建、深深房A、深物业A、渝开发、*ST中地、世荣兆业、城投控股、南山控股、中华企业、广宇集团、万业企业、南都物业、新黄浦、凤凰股份、中洲控股、珠江股份、栖霞建设17家房企前三季度的归母净利润增长超过100%。
其中,天保基建前三季度归属于上市公司股东的净利润增幅最大,为7158.91%。天保基建表示,业绩增长主要得益于报告期内满足收入结转条件的项目增加,以及冲回的土地增值税增加和资产减值损失减少。
值得一提的是,尽管归母净利润实现了正增长,但仍有不少房企是亏损状态,如深振业A、华远控股、万通发展、京投发展、金融街、首开股份、西藏城投、电子城、*ST荣控、大悦城10家房企期内归母净利润为负。

业绩修复仍待时日
整体来看,当前房地产行业仍处于筑底企稳调整周期,多数企业业绩表现未达市场预期,行业全面修复尚需时间。
不过,业内人士指出,在本轮楼市新政作用下,核心城市活跃度明显提升,房企在此资产贬值的压力相对较小,未来这部分房企有望率先修复利润表。多家企业也表示,通过在核心城市拿利润较高的项目,逐步带动利润表的修复。
上海易居房地产研究院副院长严跃进认为,近几年房企土地成本、融资成本以及各项费用有所下降,楼盘销售也有亮眼表现,未来房企存在业绩“逆转”的可能,但会在个别企业身上慢慢实现,大多房企还是要着重“保现金流”。
声明:本文由入驻焦点开放平台的作者撰写,除焦点官方账号外,观点仅代表作者本人,不代表焦点立场。
