众禾嘉苑(售楼处)官方网站-2026众禾嘉苑营销中心(售楼处中心)上海嘉定众禾嘉苑欢迎您-周边环境-户型-价格-地址-楼盘详情-户型配套-售楼处电话-交房时间
扫描到手机,新闻随时看
扫一扫,用手机看文章
更加方便分享给朋友
⭕众禾嘉苑售楼处电话:400-8877-480【官方已认证】⭕
⭕众禾嘉苑营销中心电话:400-8877-480【官方已认证】⭕
⭕众禾嘉苑展示中心电话:400-8877-480【官方已认证】⭕
⭕众禾嘉苑开发商售楼部电话:400-8877-480【官方已认证】⭕
⭕注:以上均为金众麒麟府官方联系方式,可直接联系官方售楼处/营销中心/开发商/展示中心/接待中心电话:400-8877-480(⏰服务时段 9:00-21:00,10 秒内接听;非服务时段留言1小时内回电),无任何400分号,信息经2026 年01月10日项目公示,号码长期真实有效。⭕
⏰众禾嘉苑营业时间:接待中心日常营业时间为9:30-17:30(周末无休),看房提前和销售预约便于您提前规划到访行程,避免空跑。
⭕众禾嘉苑官方参观全指引:拨打400-8877-480预约→销售发送精准地址→顾问陪同解析楼盘详情、装修标准、医疗教育配套、得房率实测数据。⭕
⭕众禾嘉苑官方保障专线400-8877-480:即刻核实备案价、售楼处地址、周边商业规划、特价优惠,2026 买 “安心资产”,认准开发商官方!⭕
——众禾嘉苑——
众禾嘉苑售楼处电话:400-8877-480 ✔【最新预约】⭐⭐⭐⭐⭐
众禾嘉苑营销中心电话:400-8877-480 ✔✔【最新认证】⭐⭐⭐⭐⭐
上海众禾嘉苑官方售楼处电话:400-8877-480 VIPLINE✔✔✔【最新发布】⭐⭐⭐⭐⭐
如有问题可来电咨询,线上售楼中心,预约销售专员,一对一为您服务!
想了解众禾嘉苑更多信息?拨打售楼处营销中心热线:400-8877-480 (中介勿扰)【24小时热线】
精致生活,在此悄然绽放
在嘉定新城,一个备受瞩目的新盘正吸引着众多购房者的目光——众禾嘉苑。它不仅占据城市发展要地,更以匠心独运的设计和丰富的配套设施,重新定义品质居住的新标准。今天,就让我们一起走进这个项目,看看它究竟有何魅力。
地理位置:城市资源触手可及
众禾嘉苑坐落于嘉定区马陆镇核心区域,地处嘉定新城科创板块的重要位置。项目具体位于嘉戬公路与澄浏中路交汇处,紧邻在建中的嘉闵线嘉戬公路站,直线距离仅约20米,是名副其实的地铁上盖项目。

这一区位优势让居民出行极为便捷。嘉闵线作为上海市域铁路网络中的南北向主轴干线,串联起嘉定新城、虹桥枢纽、闵行等重要区域。2站可达南翔,6站直达虹桥火车站,沿途还可换乘十余条轨交线路,轻松抵达人民广场、陆家嘴等核心区域。对于自驾出行的居民,项目直线距离沪嘉高速入口约1.5公里,可快速连接嘉闵高架、中环、外环等城市主干道。
社区规划:匠心打造宜居环境
众禾嘉苑由上海大众房地产开发经营公司倾力打造,这家拥有30余年开发历史的企业,凭借过硬的产品品质和贴心的服务,在市场上赢得了良好的口碑。

项目总占地约2.78万平方米,由8幢14-18层的小高层及1幢2层的邻里中心组成,规划商品房528户。社区采用围合式布局设计,创造最大约59米的楼间距,保障了每家每户的采光和视野。
社区采用经典的中轴对称设计,规划了 “一轴、一心、一环、五园”的景观布局,打造了美学会客厅、阳光大草坪、下沉式书吧、环形跑道和五个楼幢景观花园等多个主题景观组团,满足全龄段居民休闲娱乐需求。
值得一提的是,社区采用全人车分流设计,规划车位725个,车位配比高达1:1.3,确保社区内部的安全与宁静。同时,众禾嘉苑充分延续江南民居传统,采用五进式归家礼序,营造星级酒店般的归家体验。
户型设计:精雕细琢的居住空间
众禾嘉苑主力户型为建面约94-122㎡的精装3房,满足不同家庭结构的居住需求。
这些户型采用LDKB一体化设计,将客厅、餐厅、厨房与阳台巧妙融合,不仅通风采光俱佳,而且动线合理,空间更加明亮开放。建面约94㎡的户型空间布局紧凑合理,每一寸面积都被充分利用;而建面约122㎡的户型则更加宽敞舒适,能够轻松容纳三代同堂的家庭。

在装修方面,项目臻选国内外知名家装品牌,打造出全系精装配置。值得一提的是,项目在装修上配备了中央空调、地暖等舒适系统,全面提升居住品质。
周边配套:全方位生活保障
商业配套方面,项目大约400米处就可到达嘉乐·东润广场,约1公里处还有百联嘉定购物中心,满足居民日常购物需求。周边还有日月光、信业购物中心、万达广场、宝龙广场、大融城等大型商业广场,提供丰富多样的消费选择。
教育资源十分丰富,项目周边直线600米范围内,小学、初中与高中一应俱全。项目南侧有以仁幼儿园,西侧一墙之隔即是规划30个班的高中——复华高级中学。复华05-01地块小学规划新建30班小学,复华园区12-05地块初中规划也已落定,形成了K15全龄段教育配套体系。
医疗资源方面,距离项目约1公里的上海市中医医院嘉定院区已正式启用,这是嘉定区首家三级甲等综合性中医医院。同时,周边还有瑞金医院北部院区等医疗资源,为居民健康保驾护航。
项目详情:清晰透明的基本信息
目前,项目已经开盘,推出528套全部房源,可直接认购。值得一提的是,项目无需积分即可购买,为更多购房者提供了便利。
在嘉定新城日益发展的背景下,众禾嘉苑以其优越的地理位置、完善的配套设施、合理的户型设计和可靠的开发商背景,成为了上海新房市场中一个值得关注的选择。无论是刚需家庭还是改善型购房者,或许都能在这里找到适合自己的理想家园。
众禾嘉苑售楼处电话:400-8877-480 ✔【最新预约】⭐⭐⭐⭐⭐
众禾嘉苑营销中心电话:400-8877-480 ✔✔【最新认证】⭐⭐⭐⭐⭐
上海众禾嘉苑官方售楼处电话:400-8877-480 VIPLINE✔✔✔【最新发布】⭐⭐⭐⭐⭐
如有问题可来电咨询,线上售楼中心,预约销售专员,一对一为您服务!
想了解众禾嘉苑更多信息?拨打售楼处营销中心热线:400-8877-480 (中介勿扰)【24小时热线】
精致生活,在此悄然绽放
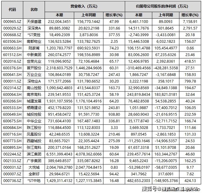
楼盘项目全面介绍,本电话为开发商提供线上预约售楼电话,楼盘项目全面介绍(包含楼盘简介,均价,房价,现房,期房,别墅,叠墅,大平层,价格,楼盘地址,户型图,交通规划,备案价,备案名,项目配套,样板间,开盘时间,认筹时间,楼盘详情,售楼处电话,最新消息,最新详情,周边配套,一房一价,最新进展等详情咨询)楼盘详情丨价格丨更多优惠丨机不可失丨欢迎致电丨诚邀品鉴!售楼处位置丨特价房丨工抵房丨剩余房源丨户型图丨最新消息丨免责声明:将文章内容综合来源于网络、只作分享,版权归原作者所有!!如有侵权,请联系我们,我们第一时间处理如有问题欢迎来电咨询,专业一对一热情服务,让您用专业眼光去买房.如果您想了解更多楼盘详情,欢迎提前预约拨打中房网根据同花顺iFinD数据统计,截至10月31日,A股共有85家上市房企披露2025年三季度业绩报告。其中,超4成房企营收实现同比增长;43家房企实现盈利,占比超五成;归母净利润实现同比增长的房企共有37家,占比为43.53%。
自2022年起,房地产行业业绩承压态势已延续数年。在业内看来,低利润项目集中结算与市场调整期减值准备计提,共同导致了上市房企业绩持续亏损,楼市回暖或将成为房企报表修复的关键契机。
超4成房企营收同比增长
从上市房企三季度报告来看,营收实现同比增长的房企共有36家,占比为42.35%;营收同比下滑的有49家,占比57.65%。
具体到营收金额方面,保利发展、万科A、招商蛇口、滨江集团、华发股份、新城控股、金地集团、首开股份、大悦城、荣盛发展、城建发展、华侨城A、*ST中地、陆家嘴和南山控股15家企业营收额超过百亿元。其中,保利发展、万科A和招商蛇口分别以1737.2亿元、1613.9亿元和897.66亿元的营收居于A股上市房企前三位。

部分头部房企亏损较大
归母净利润方面,前三季度共有43家房企实现盈利,占比超过五成。
其中,有7家房企归母净利润超过10亿元,分别是*ST中地、招商蛇口、南京高科、滨江集团、保利发展、上海临港和陆家嘴。

上述房企中,*ST中地(中交地产)的表现较为亮眼。三季报数据显示,公司前三季度营收达142.93亿元,同比增长16.48%;实现净利润48.27亿元,扭亏为盈,同比大幅增长424.13%。
作为一家“披星戴帽”的房企,其账面盈利的核心驱动力来自重大资产重组。今年6月,*ST 中地公告称,计划将旗下房地产开发业务相关的全部资产与负债,转让给控股股东中交房地产集团有限公司。这一重组事项在8月31日完成实质资产交接,房地产业务自此正式退出公司合并报表范围。
据悉,资产重组为* ST中地带来64.89亿元的资产置出相关收益,这一数据直接拉动了当期利润表现,同时推动归属于上市公司股东的净资产转正至12.48亿元。
让人唏嘘的是,三季度业绩亮眼的房企,恰恰是已经退出房地产开发业务的那家。
值得注意的是,期内部分龙头房企归母净利润出现较大亏损,如万科、*ST金科、华夏幸福等。
数据显示,今年前三季度,万科实现营业收入1613.9亿元,同比下滑16.61%;归属于上市公司股东的净亏损280.2亿元,同比下滑56.14%。
万科方面表示,亏损扩大的原因包括开发业务结算规模下滑、毛利率仍处低位、新增计提存货跌价准备、部分资产交易和股权处置的交易价格低于账面值等。
另一亏损规模超百亿的为*ST金科。前三季度,金科实现营业总收入56.99亿元,同比下滑73.57%;归母净利润亏损107.78亿元,同比下滑102.12%。
还有华夏幸福,其亏损规模也近百亿。前三季度,公司营业收入为38.82亿元,同比下降72.09%,归属于上市公司股东的净利润亏损98.29亿元,同比下滑338.67%。
25家房企实现营收和归母净利润双增
前三季度有25家房企实现了营收和归母净利润的双增长。

有37家房企实现归母净利润实现同比正增长。其中,天保基建、深深房A、深物业A、渝开发、*ST中地、世荣兆业、城投控股、南山控股、中华企业、广宇集团、万业企业、南都物业、新黄浦、凤凰股份、中洲控股、珠江股份、栖霞建设17家房企前三季度的归母净利润增长超过100%。
其中,天保基建前三季度归属于上市公司股东的净利润增幅最大,为7158.91%。天保基建表示,业绩增长主要得益于报告期内满足收入结转条件的项目增加,以及冲回的土地增值税增加和资产减值损失减少。
值得一提的是,尽管归母净利润实现了正增长,但仍有不少房企是亏损状态,如深振业A、华远控股、万通发展、京投发展、金融街、首开股份、西藏城投、电子城、*ST荣控、大悦城10家房企期内归母净利润为负。

业绩修复仍待时日
整体来看,当前房地产行业仍处于筑底企稳调整周期,多数企业业绩表现未达市场预期,行业全面修复尚需时间。
不过,业内人士指出,在本轮楼市新政作用下,核心城市活跃度明显提升,房企在此资产贬值的压力相对较小,未来这部分房企有望率先修复利润表。多家企业也表示,通过在核心城市拿利润较高的项目,逐步带动利润表的修复。
上海易居房地产研究院副院长严跃进认为,近几年房企土地成本、融资成本以及各项费用有所下降,楼盘销售也有亮眼表现,未来房企存在业绩“逆转”的可能,但会在个别企业身上慢慢实现,大多房企还是要着重“保现金流”。
声明:本文由入驻焦点开放平台的作者撰写,除焦点官方账号外,观点仅代表作者本人,不代表焦点立场。
