招商时代潮派-(2025年上海招商时代潮派)楼盘详情-房价-户型-容积率-小区配套

搜狐焦点孝感站 2025-02-24 17:36:00
用手机看
扫描到手机,新闻随时看

扫一扫,用手机看文章
更加方便分享给朋友

招商时代潮派预约热线:400-8787-740👈

上海50万方TOD大城,9号线红盘「招商时代潮派预约热线:400-8787-740👈」五批次房源正在认购中,136套建面约99㎡3房,均价51664元/㎡!

招商时代潮派预约热线:400-8787-740👈

【重要提示:首次来访前需提前来电预约参观】

效果示意图,仅供参考

「招商时代潮派预约热线:400-8787-740👈」作为今年西上海为数不多的触发积分的项目,其实力与热度自是不必多说,两开两罄,更曾一度荣膺上海新房销售金额&套数“双冠王”,仅10月便热销200余席!

这是购房者用稀缺的“房票”投出来的票,可谓含金量十足。

那么,热销背后的「招商时代潮派预约热线:400-8787-740👈」到底有着什么样的“流量密码”,能在冰火两重天的市场中脱颖而出?

①9号线超高性价比红盘

9号线沿线,同纬度楼盘中总价约500w起的进阶三房直接刷新了地铁房的上车门槛。

招商时代潮派预约热线:400-8787-740👈位于9号线的泗泾站,距离徐家汇仅9站,更是方便快速通达漕河泾、新天地、陆家嘴、世纪公园等城市核心版块。

②眼见为实的品牌营城力

招商蛇口拥有着丰富的营城能力和综合体开发经验,从如今炙手可热的曹路花园城、森兰花园城,以及刚刚开业的宝山上海·海上世界项目,无论是产品的兑现力,还是如今澎湃的人气,都足以洞见未来时代潮派预约热线:4400-8787-740👈的生活想象。

③TOD大城的醇熟生活

这是一座约50万方的TOD大城,不同于一般的地铁项目,时代潮派预约热线:400-8787-740👈拥有着约18.5万方的超体量商业,而项目内外更是融汇链接商业、住宅、文化、酒店、教育、医疗、办公、绿地8大业态,一站式满足生活的所有需求。

④500万级进阶至优选

相较于同等级的产品,在以徐家汇为中心 18 公里范围内,「招商时代潮派预约热线:400-8787-740👈」拥有超强的价格优势。更是凭借均好的配套,以及超配产品力,打造超预期生活奢享。

距离9号线泗泾站直线约200米

3站七宝、6站漕河泾、9站徐家汇

李嘉诚的那句:“买房三要素,地段、地段还是地段。”至今还被不少人奉为置业的唯一信条。

而对于上海约450万级的市场来说,招商时代潮派预约热线:400-8787-740👈就是地段更好的新房。

在地理位置上,这是距离上海城心更近的项目。

数据来源百度地图、网上房地产

与招商时代潮派预约热线:400-8787-740👈同纬度的板块,都是约6万+、精装3房总价约600万起的项目,这200万的剪刀差,是性价比的体现,也是招商时代潮派预约热线:400-8787-740👈地段价值的体现。

在与轨交的距离上,这是上海距离地铁站更近的约450万级新房。

作为9号线泗泾站新一代超级TOD,招商时代潮派预约热线:400-8787-740👈 与地铁商场直线仅约200米。

与项目同样价格的新房,目前距离轨交都有1-1.5km的距离。

不同的距离步行到地铁站的差距有多少呢?来看百度地图的测距:

数据来源百度地图,以实际为准

换句话说,如果如果您住在距离地铁站1km以外的小区, 同时出门的情况下,您刚到地铁站,招商时代潮派预约热线:400-8787-740👈的业主已经坐地铁抵达闵行七宝站。

尤其是在夏日、冬季或是大雨的天气下,这样快速接驳地铁站的优势,让无数打工人羡慕。

其次,小编整理过外环旁近500余个二手房的挂牌及成交,得到过一个结论:步行进站1000-1500米小区的价格普遍低于步行进站500米以内小区。

以100㎡房源计算的话,差价近约75万。 (小区均选取同板块年龄相仿,品质相近的二手小区、数据仅供参考,不作为资产配置依据;)

而一个与地铁商场直线约200米的新房,又是什么样的价值?难以想象。

9号线,上海更昂贵、更具通勤效率的烫金轨交线路。

9号线,上海东西走向的烫金大动脉,这条轨交的含金量在上海,可谓是数一数二。

首先,这条轨交汇聚了上海东西最重要的两大产业: 漕河泾&金桥 。沿线还有徐家汇、世纪大道等顶级CBD。

其次,这条轨交汇聚了 上海众多顶级商业 ,包括七宝的万科广场、徐家汇的港汇恒隆、新天地的凯德晶萃广场以及世纪大道的陆家嘴中心和世纪汇广场。

数据来源百度地图,以实际为准

顶级产业+高端商圈,为整条9号线带去了非常出众的出行便捷度。

尤其对于招商时代潮派而言, 3站七 宝、6站漕河泾、9站徐家汇 的便捷度,超过同级别太多。

数据来源百度地图,以实际为准

以徐家汇为中心,12-15站能够抵达的区域,一般都是约550-600万级的板块。

而对于招商时代潮派而言,9站即徐家汇,项目总价仅约379万起,这样的通勤效率和地段优势,高出同级别太多。

同时,这条轨交聚集了大量的高薪人才、青年才俊以及追求高端潮流生活的都市青年,这旺盛的置业需求,将9号线沿线的房价顶到了极高的位置:

这条轨交沿线最高的二手房房价一度 突破了约22万/㎡+ (数据来源链家)。

而沿线1km范围内的二手房均价高达 约73847元/㎡ (数据来源刘老实选房据库) ,仅次于2号线、4号线等中心城区线路, 妥妥的烫金大动脉

这样的地段、这样的出行便捷度、这样的发展势能,对于预算在约450万级的购房者而言,是不容错过的。

招商时代潮派在地段方面,对同级别的新房已经形成了碾压。 9号线TOD项目,自带约18.5万方商业 (总体量)

接轨国际潮流的生活方式

招商时代潮派是9号线泗泾站约50万方的TOD项目,拥有商业、住宅、文化、酒店等多元业态。同时,大城外部还链接教育、医疗、办公、绿地等配套。

值得一提的是,招商时代潮派的自带商业花园城, 总体量约18.5万方,纯商业面积达到了约12.5万方 ,这个体量在整个9号线沿线都称得上是佼佼者。

并且,在能级上,本次招商 花园城拒绝复刻, 站在年轻人的角度,为他们量身打造一个潮流聚落 ,植入新风潮、新乐潮、新夜潮,和新文潮4大新潮主题。

这里汇聚着运动潮牌、时尚服饰、设计师品牌等一系列的潮流风尚,娱乐体验、生活休闲、宠物经济等有趣又创新的内容,拓展诸如泗泾新夜市等夜间欢享,更是拥有文创杂货、文化空间、文创书店等思想的聚地,营造一个充满无限可能的丰盛空间。

一方面,集潮流业态于一身的招商时代潮派预约热线:400-8787-740👈俨然一座“微缩城市”,居者不用走远,下楼就能拥有吃喝玩乐购一站式服务。这种接轨国际的时尚潮流便捷生活,谁不向往?

另外一方面,这样一座高能级、大体量的商业落地,这意味着, 在漕河泾、虹桥、莘庄、七宝等区域工作、生活的人有了来泗泾板块的理由 ,这里成为了一个目的地,而不是路过的某个地方。 这就是商业地标的作用!

长远点来看,对于泗泾板块来讲,招商时代潮派预约热线:400-8787-740👈就是一面旗帜、一个符号,吸引周围人流向其靠拢,消费、逛街、就业...很容易形成区域的中心。

而招商时代潮派预约热线:400-8787-740👈作为中心之上的住宅,其价值将远高于其他。

数据来源百度地图,以实际为准

约450万级市场中,距离城心更近、距离地铁站更近、距离徐家汇更近、拥有独一无二的TOD生活方式的招商时代潮派预约热线:400-8787-740👈,在大多数方面都对其他新房形成了碾压。

这几乎可以说是躺赢的开局,但就是在这样的先天优势之下,才更是体现央企招商蛇口的匠心。

项目的产品力,同样惊掉你的下巴!

16-02地块作为该项目的商业地块,将打造上海第五座“招商花园城”,致力于打造三年后的网红产品!

从立面中充沛着活力与质感的曲线美学,到石材、铝板的质感选材,招商·时代潮派预约热线:400-8787-740👈用超高的立面颜值,诠释当代年轻人理想的lifestyle。

以简约的美学、丰盈生活的理想:建筑汲取极简主义精粹,以线条塑造建筑的轻盈感与未来感。

转角通过曲线、弧度来营造出流畅、柔和的外观,创造一种灵动的美学风格。

以酒店的礼序、营制归家的仪式:部分入口酒店式环岛落客区的设计,搭配水景营造,拉满归家的仪式感。

地上地下双入户大堂,地下车库电梯直达,尽享尊崇礼遇;一层高定入户门厅,弧形悬浮顶棚,时刻彰显优雅摩登。

以多元的场景、缔结社交的意趣:架空层里休闲会客、社交洽谈、儿童娱乐、书吧等多功能模块,打造全龄化社交空间,邻里间的温情与自然一同生长。

不止地标商业之上的TOD住宅

更是450万级的品质标杆

招商时代潮派预约热线:400-8787-740👈的落地,真的吸引了太多人的瞩目。

泗泾人民终于等来了心中的白月光、上海西南终于等来了足够能级和体量的商业中心、9号线又迎来了新的枢纽站点...

在这种时代背景下诞生的招商时代潮派预约热线:400-8787-740👈,招商真的是倾尽全力。

首先,项目未来交付标准(装标内容仅供参考,最终以项目购房合同约定的交付标准为准):

三大件松下或日立或东芝或三菱或同等档次品牌的空调地暖两联供百朗或同等档次品牌新风

卫生间科勒或TOTO或同等档次品牌的台盆、台盆龙头高仪或科勒或同等档次品牌主卫或单卫智能马桶、淋浴花洒名族或同等档次品牌的风暖

厨房:整个厨房不仅严选用国际品牌的装标,挥手即可控制的抽烟机、大面板且具备防干烧技术燃气灶、网红大单体黑石水槽、可抽拉水槽龙头...

在细节上更是贴心呵护人居,大大提升居住体验!

例如铝框窄边三扇移门+完美系列上轨道设计+拉丝艺术玻璃,是身份的象征、也是业主格调的体现;

厨房U型操作台面,并配备了洗碗机、末端净水,甚至凉霸,不仅能解放双手,还解决了炎炎夏日厨房做饭闷热的烦恼;

还配备大量收纳系统,例如多功能拉篮、定制亚光翻边造型柜体等。

细节上面,还有入户玄关、电视背景墙、美妆冰箱(主卫)、墙布交付,精致花纹地面玄关入户,柜体别致造型、弧形美学吊顶,所有卧室人字拼地面等高级硬核细节配置均有。 (以上装标内容仅供参考。最终以项目购房合同约定的交付标准为准)

附体验间实景:

说句实在话,这是在以450万级的价格、卖着千万级豪宅的装标。

关于社区,有几点值得一提:

第一,项目将把社区的西大门打造成酒店式环岛落客式大门(车行+人行);

以同样的规格打造人行的东大门,大门两侧都选用奢石;

社区内还设计有归家大堂;

这样的归家仪式感,在整个上海约450万级的新房中,十分少见。

第二,项目将配置架空层,为业主带来更多的生活想象。

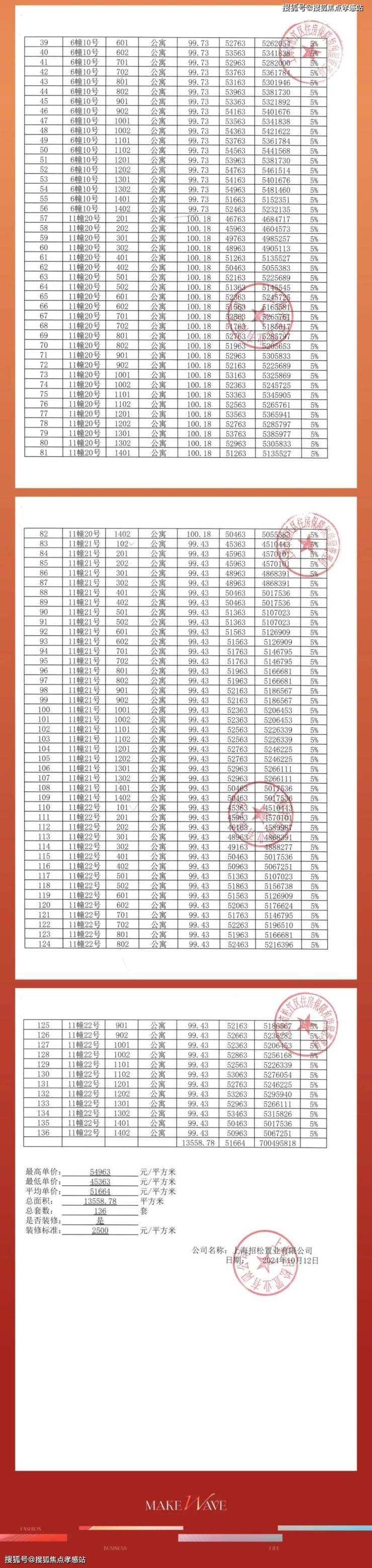
一房一价发布:

招商时代潮派预约热线:400-8787-740👈

声明:本文由入驻焦点开放平台的作者撰写,除焦点官方账号外,观点仅代表作者本人,不代表焦点立场。