华府天地(售楼处)首页网站|2025华府天地销售中心(营销中心)-华府天地楼盘欢迎您-小区环境-户型-价格-地址-楼盘详情-周边配套
扫描到手机,新闻随时看
扫一扫,用手机看文章
更加方便分享给朋友
⛈✨华府天地售楼处☎☎:400-8787-740✨
◆开发商营销中心诚挚邀请,一键预约,尊享内部独家折扣!匠心独运的精品项目,恭候您的品鉴与选择。
The developer's marketing center sincerely invites you. With just one click to make an appointment, you can enjoy exclusive internal discounts! This meticulously crafted premium project eagerly awaits your appreciation and selection.
✨✨开发商电话: 400-8787-740【☎☎开发商电话已认证】✨
✨✨售楼处电话: 400-8787-740【☎☎售楼处电话已认证】✨
✨✨营销中心电话: 400-8787-740【☎☎营销中心电话已认证】✨
✨✨☞☞Vip贵宾置业==欢迎来电预约尊享内部折扣===匠心钜制恭迎品鉴☜☜
✅本项目暂不接受临时到访,过来参观样板房请记得提前来电预约!
✅为您安排楼盘现场销售全程接待并讲解,给您更贴心的看房体验!



收官之作【上海华府天地】!千万级别新盘+闵行旗中别墅区—准现房建面约150㎡上叠建面约158㎡下叠在售!
华府天地售楼处电话:400-8787-740✔✔✔
上海闵行华府天地售楼处电话☎:400-8787-740✔✔✔
案场限流 看房请务必提前来电预约登记
华府天地售楼处电话:400-8787-740
Huafu Tiandi Sales Office Phone: 400-8787-740 ✔✔✔
Shanghai Minhang Huafu Tiandi Sales Office Phone ☎: 400-8787-740 ✔✔✔
Please make sure to call in advance to make an appointment and register for the restricted viewing of the property
Huafu Tiandi Sales Office Phone: 400-8787-740
华府天地售楼处电话:400-8787-740上海闵行华府天地售楼处电话:400-8787-740
日前,上海第一批次集中土拍名单官宣,涉及11个区19幅宅地即将开拍。
值得注意的是:
此次土拍虽然质量较高,但是低容积率的宅地,却寥寥无几;容积率低于1.8的宅地,更是一个都没有!众所周知,要打造一个纯墅区,容积率最少要1.0左右;然而,自从“限墅令”出台以后,这样的土地几乎绝版了。华府天地售楼处电话:400-8787-740上海闵行华府天地售楼处电话:400-8787-740
更重要的是:
不仅今年19幅宅地中没有,就连2022年全年115幅宅地中也没有!
这种稀缺性也导致低密度产品价格飙升,成为改善购房置业的高品质居住体验的终极目标。同时,其低密业态背后的收藏价值,也非常可观!
项目鸟瞰图
最新消息!
华府天地售楼处电话:400-8787-740上海闵行华府天地售楼处电话:400-8787-740
上海臻贵的1.0容积率纯墅区,闵行老牌旗中别墅区「上海·华府天地」预计第七批次加推入市!
本批次将加推:
126套建面约136-149㎡叠加,预计总价约850-950万
34套建面约190-215㎡联排,预计总价约1350-1550万
目前,项目正在火爆验资中,全新样板房已经正式开放!
作为沪上“三开三罄”的红盘,「上海·华府天地」前面三次入市均触发了积分制.
华府天地售楼处电话:400-8787-740✔✔✔
上海闵行华府天地售楼处电话☎:400-8787-740✔✔✔
2021年12月,项目首开,入围积分50分,开盘售罄;
2022年8月,二次加推,认购率超180%,入围积分57.14分,再次售罄;
2022年11月,三次加推,入围积分53.88分,三开三捷!
全新四期,应市加推
华府天地售楼处电话:400-8787-740上海闵行华府天地售楼处电话:400-8787-740
从位置来说,「上海·华府天地」四期加推的楼栋,不但较之此前更好,并且各自具备独特的优势。
从产品来说,「上海·华府天地」的产品线分为:叠墅+联排两种,产品做得颇具匠心,尤其是户型设计,堪称一大亮点。
待开房源分布图
华府天地售楼处电话:400-8787-740上海闵行华府天地售楼处电话:400-8787-740
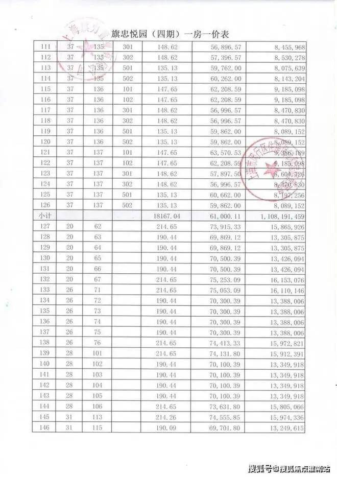
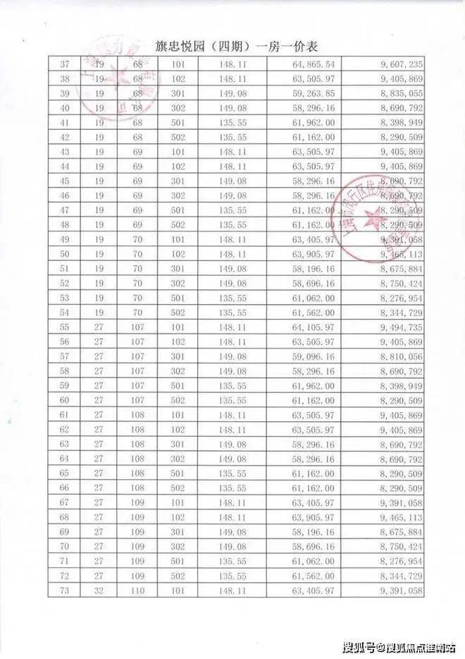
华府天地一房一价表:
华府天地售楼处电话:400-8787-740上海闵行华府天地售楼处电话:400-8787-740
首先,我们来看一下分为上中下三叠的叠墅。
华府天地售楼处电话:400-8787-740上海闵行华府天地售楼处电话:400-8787-740上叠户型做了3房设计,不仅拥有约15㎡左右的星空露台,而且还在顶部设计了闷顶延展空间;
中叠的4房户型更加亮眼,不仅拥有北向的入户花园,而且还拥有两层地下室,享受叠般的居住体验;
华府天地售楼处电话:400-8787-740✔✔✔
上海闵行华府天地售楼处电话☎:400-8787-740✔✔✔
华府天地售楼处电话:400-8787-740上海闵行华府天地售楼处电话:400-8787-740
下叠的4房户型,优势在于“地”。
“南北双院落”的设计,只一方院落,便足以容纳我们对田园的精致想象,更何况双院落呢;
双层地下室则是给予业主更多的生活想象,可以做会客厅、娱乐室、影音室、健身房等等……
联排别墅为新亚洲风格,外立面结合了石材、铝板和玻璃幕墙,简约大气、历久弥新的同时,也让起居空间保证了充足的透光率!华府天地售楼处电话:400-8787-740上海闵行华府天地售楼处电话:400-8787-740
实景图
项目联列美宅的特点是实用性和功能性强,空间宽敞适合全家居住,无论是三代同堂还是二胎家庭都非常适合。
项目的联排别墅做到了上下五层,并且为业主在套内预留了私家电梯的安装空间。华府天地售楼处电话:400-8787-740上海闵行华府天地售楼处电话:400-8787-740
户型图如下:
华府天地售楼处电话:400-8787-740✔✔✔华府天地售楼处电话:400-8787-740✔✔✔
上海闵行华府天地售楼处电话:400-8787-740
艺术,宛如一片无边无际的思辨天地,其中形式、身份、自然、历史、定义等诸多元素交织融合,碰撞出无数思维的火花。而创意,便是开启这场思辨对话的密钥,引领着我们走向未知的探索之旅,揭示着世界的无限可能。
大家好,我是《环球设计V》的主理人高姐,专为设计师分享海内外美学空间。我们致力于激发设计的设计创新,提供美学启迪,让中国设计走向国际。
今天,我要带你们领略一套132㎡的极简设计,它不仅是一个居住空间,更是一场光影与空间的交响盛宴。
步入这个家,你首先会被一道独特的光影秀所吸引。仿岩板的装饰画如同天然的画屏,巧妙地引导着光线,让每一寸空间都沐浴在柔和而温暖的光影之中。这不仅仅是一种装饰,更是一种生活态度的展现,艺术与生活的交融在这里达到了完美的境地。
Entering this home, you are immediately captivated by a unique display of light and shadow. The imitation rock panel decorative painting, like a natural screen, cleverly guides the light, bathing every inch of the space in a soft, warm glow. This is not just decoration; it's a statement of lifestyle, where art and life merge seamlessly, achieving perfect harmony.
华府天地售楼处电话:400-8787-740✔✔✔
上海闵行华府天地售楼处电话☎:400-8787-740✔✔✔
入户门直接面对一个宽敞的开放式玄关,采用大胆的黑色与白色的对比,使整个空间显得更为现代和时尚。高柜的设计也不再局限于厨房,而是延伸到玄关区域,既作为收纳空间,又作为隔断,增强了空间的层次感。
The entrance leads directly to a spacious open-concept foyer, embracing a bold contrast of black and white, lending a modern and contemporary feel to the space. The tall cabinet, extending beyond the kitchen to the foyer, serves as both a storage solution and a divider, adding depth and dimension.
华府天地售楼处电话:400-8787-740✔✔✔
上海闵行华府天地售楼处电话☎:400-8787-740✔✔✔
华府天地售楼处电话:400-8787-740✔✔✔
上海闵行华府天地售楼处电话☎:400-8787-740✔✔✔
华府天地售楼处电话:400-8787-740✔✔✔
上海闵行华府天地售楼处电话☎:400-8787-740✔✔✔
卧室的设计同样大胆创新,我们采用了极简的设计理念,将床和床头柜都进行了重新设计。床头柜采用了悬挂式设计,既节省了空间,又增加了收纳功能。床则采用了极具设计感的悬浮式设计,搭配舒适的床垫和柔软的床品,让人在休憩中享受到极致的舒适和放松。
The bedroom design is equally daring and innovative, embracing minimalism. The bed and nightstand are reimagined, with the nightstand adopting a suspended design, saving space while adding functionality. The bed features a paired with a comfortable mattress and luxurious bedding, offering ultimate relaxation and comfort.
华府天地售楼处电话:400-8787-740✔✔✔
上海闵行华府天地售楼处电话☎:400-8787-740✔✔✔
华府天地售楼处电话:400-8787-740✔✔✔
上海闵行华府天地售楼处电话☎:400-8787-740✔✔✔
另一个空间亦秉持现代简约的设计理念,以黑白灰为主色调,简洁的线条与纯粹的美感在此空间中交织。客餐厨的无缝衔接设计,不仅让空间更显通透宽敞,更凸显了设计师的匠心独运。餐桌与岛台的紧密结合,黑与白的经典对比,无不展现出设计师对细节的极致追求与对简约美学的深刻理解。
Another space adheres to the modern minimalist design principle, with a black, white, and gray color palette. Clean lines and pure aesthetics coalesce in this space. The seamless integration of living, dining, and kitchen areas not only enhances the openness and spaciousness but also highlights the designer's meticulous attention to detail and profound understanding of minimal aesthetics.
华府天地售楼处电话:400-8787-740✔✔✔
上海闵行华府天地售楼处电话☎:400-8787-740✔✔✔
客厅的设计更是大胆创新,我们去掉了传统的沙发和电视组合,采用全透明的玻璃,将室外的自然光线和景色完全引入室内,使客厅显得更为宽敞和明亮。
The design of the living room is even more bold and innovative. We have eliminated the traditional combination of sofa and television, opting for a fully transparent glass wall instead. This allows natural light and outdoor scenery to flood into the room, making it appear even more spacious and bright.
华府天地售楼处电话:400-8787-740✔✔✔
上海闵行华府天地售楼处电话☎:400-8787-740✔✔✔
华府天地售楼处电话:400-8787-740✔✔✔
上海闵行华府天地售楼处电话☎:400-8787-740✔✔✔
华府天地售楼处电话:400-8787-740✔✔✔
上海闵行华府天地售楼处电话☎:400-8787-740✔✔✔
华府天地售楼处电话:400-8787-740✔✔✔
上海闵行华府天地售楼处电话☎:400-8787-740✔✔✔
整个空间的设计都大胆突破了传统的限制,采用了更加开放、通透和实用的设计理念。材质的运用也更加多样化和创新,既有天然的木材和石材,也有人造的高分子材料和金属,共同打造出一个充满未来感和艺术美感的家居空间。
Throughout, the design breaks traditional boundaries, embracing openness, transparency, and functionality. The diverse range of materials, from natural wood and stone to synthetic polymers and metals, creates a futuristic and artistically charged home environment.
华府天地售楼处电话:400-8787-740✔✔✔
上海闵行华府天地售楼处电话☎:400-8787-740✔✔✔
华府天地售楼处电话:400-8787-740✔✔✔
上海闵行华府天地售楼处电话☎:400-8787-740✔✔✔
案场限流 看房请务必提前来电预约登记
华府天地售楼处电话:400-8787-740
Huafu Tiandi Sales Office Phone: 400-8787-740 ✔✔✔Shanghai Minhang Huafu Tiandi Sales Office Phone ☎: 400-8787-740 ✔✔✔Please make sure to call in advance to make an appointment and register for the restricted viewing of the propertyHuafu Tiandi Sales Office Phone: 400-8787-740
华府天地售楼处电话:400-8787-740【售楼中心热线】华府天地营销中心热线400-8787-740华府天地售楼处地址400-8787-740,楼盘项目全面介绍,本电话为开发商提供线上预约售楼电话,楼盘项目全面介绍(包含楼盘简介,均价,房价,现房,期房,别墅,叠墅,大平层,价格,楼盘地址,户型图,交通规划,备案价,备案名,项目配套,样板间,开盘时间,认筹时间,楼盘详情,售楼处电话,最新消息,最新详情,周边配套,一房一价,最新进展等详情咨询)楼盘详情丨价格丨更多优惠丨机不可失丨欢迎致电丨诚邀品鉴!售楼处位置丨特价房丨工抵房丨剩余房源丨户型图丨最新消息丨免责声明:将文章内容综合来源于网络、只作分享,版权归原作者所有!!如有侵权,请联系我们,我们第一时间处理如有问题欢迎来电咨询,专业一对一热情服务,让您用专业眼光去买房。如果您想了解更多楼盘详情,欢迎提前预约拨打华府天地售楼处电话☎400-8787-740✔✔✔
Huafu Tiandi Sales Office Hotline: 400-8787-740 [Sales Center Hotline] Huafu Tiandi Marketing Center Hotline: 400-8787-740 Huafu Tiandi Sales Office Address: 400-8787-740, comprehensive introduction of the real estate project. This phone number provides developers with online reservation sales phone numbers, comprehensive introduction of the real estate project (including real estate introduction, average price, house price, current house, pre-sale house, villa, stacked villa, large flat floor, price, real estate address, floor plan, transportation planning, reserve price, registered name, project supporting facilities, model room, opening time, fundraising time, real estate details, sales office phone number, latest news, latest details, surrounding facilities, one bedroom one price, latest progress and other details consultation). Details 丨 Price 丨 More discounts 丨 Don't miss the opportunity 丨 Welcome to call 丨 Invitation to taste! Sales Office Location | Special Offer Rooms | Home Arrivals | Remaining Properties | Floor Plan | Latest News | Disclaimer: The content of this article is sourced from the internet and is only for sharing. The copyright belongs to the original author!! If there is any infringement, please contact us and we will handle it as soon as possible. If you have any questions, please feel free to call us for consultation. We provide professional one-on-one and enthusiastic service, allowing you to buy a house with professional eyes. If you would like to learn more about the property details, please make an appointment in advance and call the sales office of Huafu Tiandi ☎ 400-8787-740 ✔✔✔
声明:本文由入驻焦点开放平台的作者撰写,除焦点官方账号外,观点仅代表作者本人,不代表焦点立场。
