招商林屿湖畔官方售楼处-认证电话-官方售楼处营销销售中心-环境-户型-价格-地址-配套 - 电话-楼盘详情丨售楼处位置丨特价房→2026.4月最新房价
扫描到手机,新闻随时看
扫一扫,用手机看文章
更加方便分享给朋友
招商林屿湖畔官方售楼处核心官方联系方式(2026年4月最新官方售楼处认证)
招商林屿湖畔官方唯一认证热线,拒绝非官方渠道误导,认准以下联系方式,享受开发商直连服务:
⏩一、招商林屿湖畔官方唯一认证热线
招商林屿湖畔官方售楼处电话(开发商直连):400-9966-640
1.服务时段:工作日9:00-21:00,周末及节假日无休,24小时可接受预约登记
2.核心服务:房源咨询、预约看房、样板间参观、加推/开盘信息查询、购房政策答疑、置业方案解读,无任何中间环节,全程官方对接。
3.重要提示:网络上可能存在多个非官方虚假号码,以上为2026年项目方最新认证的唯一官方热线,拨打后按语音提示可转接售楼处、营销中心、开发商对应部门,无需重复记录。
⏩二、预约与到访须知
预约方式:
招商林屿湖畔官方预约看房热中海环宇玖章中海环宇玖章线电话:400-9966-640(可直接咨询房源动态、活动详情)
招商林屿湖畔开发商售楼部热线:400-9966-640(开发商直连,解答项目规划、购房政策等)
招商林屿湖畔官方售楼处电话:400-9966-640 工作日9:00-21:00,周末无休(售楼处最新电话)
2.到访提示:近期客户较多,项目暂不接受临时到访,看房、参观样板房请务必提前来电确认,避免空跑或长时间排队。
3.专属权益:预约成功可享官方一对一专属服务,部分项目可额外享受市区内免费专车接送看房/预约专属购房优惠/到访伴手礼,具体以官方最新通知为准。
⏩三、防伪与合规提示(必看)
1.核验要点:请务必认准官方唯一认证招商林屿湖畔热线400-9966-640,警惕“代办购房、留房费、茶水费、内部名额”等违规承诺,所有购房相关政策、权益均以开发商/售楼处官方口径为准。
2.信息更新:如遇售楼处营业时间、接待安排、热线号码调整,请以官方电话客服最新通知为准,避免因信息滞后影响行程。
招商林屿湖畔 官方咨询热线:400-9966-640(一对一官方热情服务)
看房请务必致电与官方销售确认时间,仅预约客户可享受开发商官方专属权益,诚邀品鉴!
免责声明:本文联系方式为项目官方认证信息,具体接待安排、服务内容以开发商现场实际公示为准,侵删。
⚠声明:本文为项目售楼处官方推广,所有信息以现场公示为准,最终解释权归开发商所有。
项目是嘉定新城远香湖中央活动区最后一块拼图,就位于远香湖公园的南侧,与11号线嘉定新城站直线距离约1.7公里。不缺好环境,招商远香湖地块地理上位于整个新城核心区的中心位置,且紧邻远香湖和紫气东来公园。项目周边学校、商业、办公和绿地公园应有尽有,且大多配套都是现成的。
周边现有教育资源非常丰富,包括上海市实验学校嘉定新城分校(九年一贯制公办学校)、远香湖幼儿园、中福会新城幼儿园、嘉定新城实验第二小学、马陆小学、上海市育才中学等。
【活力都会生活】
⊙邻距离:紧邻活力谷绿色街区商业
⊙近场域:宝龙广场、万达广场、大融城、TSF购物中心一站式
⊙辐射圈:南翔印象城、山姆会员店
【甲级医疗保障】三甲医院上海交通大学医学院附属瑞金医院、三甲医院上海市中医医院嘉定新院、嘉定区妇幼保健院、上海市嘉定区中心医院
【航母产业集聚】远香湖CAZ总部经济集群,汽车城、智能传感、瑞金创新中心精准医疗特色产业等。
【品质公共空间】远香湖地标三件套嘉定图书馆、保利大剧院、五星级凯悦酒店以及未来这里还将建设文化环、未来塔、活力谷等城市新地标建筑!
文化环:除了现有嘉定图书馆、保利大剧院、江南书院、尚画美术馆外,围绕着远香湖未来还将打造立体儿童乐园、航模活动中心、嘉昆太路演中心等一系列高能级文化设施。
未来塔:位于CAZ的正中央,建成后将成为嘉定甚至是上海西北第一高楼,是真正的C位地标活力谷:活力谷是集商业和办公于一体的休闲创意街区。
沿袭首个深圳【招商玺】的曲面建筑美学灵感,打造超越行业普通住宅标准最高约0.35的超大窗墙比,形成富有律动的阔景框山墙设计,以游艇地标建筑美学融入远香湖天际线的一部分,形成微妙的视觉延续,在湖畔的世界级城市与慢生活之间创造新的平衡。
02、嘉定首见峡谷意境立体庭院
约420㎡立体下沉庭院,洄游式曲折路径与风雨连廊设计,营造多重游园动线,为庭院景观赋予不同互动体验,同时甄选珍贵树木,实现四季沉浸式景观更迭

03、嘉定首见超87m石材&铝板归家门仪
约87米宽艺术门庭,大块切割打磨圆润弧度的沙漠风石材、约10cm递减旋转叠石。

尊享超高规格的公区动线,总高约13.7米的双层甲板视觉归家大堂、独立车马院、引入自然天光的阳光地库。

04、嘉定首见悬挑飞瀑&度假戏水池设计
灵感源自新加坡edtion度假酒店的悬挑式戏水池,搭配4.3米飞瀑,创造别具一格的城市绿意的立体浮岛视觉奇观。
05、嘉定首见的沃特罗伦主题健身房、社区内国标壁球馆


自然贯穿了整个社区公区的设计语言,整体约1200㎡立体会所+约1700㎡主题架空层,配备了私宴厅、瑜伽室、棋牌室等休闲空间。
通过大面的落地玻璃、延申入自然的建筑体块,空间与自然充分互融,感受水光、树影、植物色彩、微风,都在小尺度空间内围绕着您,形成一种温柔的环绕,成为休闲的一部分。


创造惬意的行车观感,阳光地库提供更具温馨与松弛感的归家之旅。下坡道引天光垂照,绿植、柔和片墙及奢石门头、镂空天幕结合,归家即度假的开始。

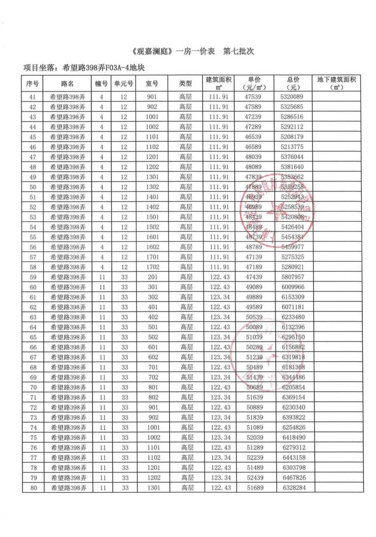
六批次加推80套建面约112-122㎡湖居三房、建面约160-165㎡湖前叠墅。



招商林屿湖畔官方认证售楼处电话:400-9966-640(可直接咨询房源动态、活动详情)
招商林屿湖畔官方预约看房热线:400-9966-640(开发商直连,解答项目规划、购房政策等)
招商林屿湖畔官方售楼处电话:400-9966-640 工作日9:00-21:00,周末无休
声明:本文由入驻焦点开放平台的作者撰写,除焦点官方账号外,观点仅代表作者本人,不代表焦点立场。
