上海奉贤新城龙湖御湖境(龙湖御湖境)首页网站丨龙湖·御湖境楼盘详情_房价_户型_配套

搜狐焦点孝感站 2025-10-20 22:23:00
用手机看
扫描到手机,新闻随时看

扫一扫,用手机看文章
更加方便分享给朋友

龙湖·御湖境售楼处电话400-8787-740

☀︎ 龙湖·御湖境售楼处电话:400-8787-740☎☎☀︎

★彡提-前-来-电-预-约-登-记—售楼处1v1销售专业讲解〢一对一热情服务〢

★彡温馨提示:网上售楼中心〢欢迎来电咨询〢预约可享内部优惠〢匠心钜制恭迎品鉴〢

编辑

编辑

龙湖·御湖境售楼处电话400-8787-740

奉贤新城 上海之鱼旁

建面约107-175㎡高层/洋房

均价4.55万/㎡ 总价430万起

1500方海派会馆+低密滨湖墅境

样板房线上火热预约中

编辑

龙湖·御湖境售楼处电话400-8787-740

样板房开放中

项目线上预约看房

进入“龙湖·御湖境”官方预约通道

案场销售会第一时间与您联系

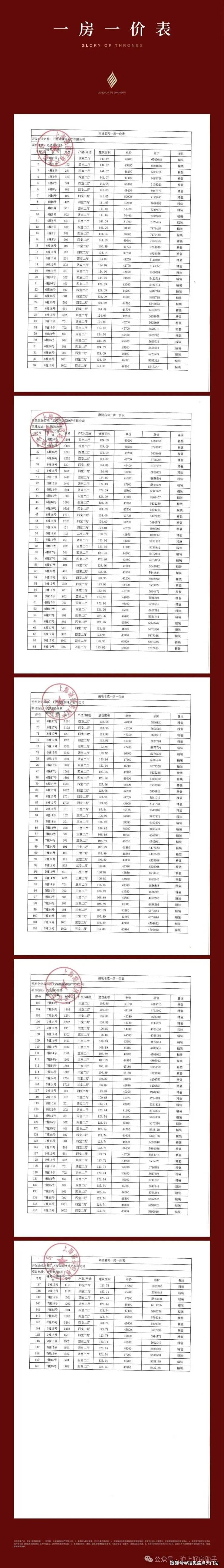
项目一房一价表:

编辑

龙湖·御湖境售楼处电话400-8787-740

编辑

龙湖·御湖境售楼处电话400-8787-740

近日,奉贤现象级红盘——龙湖·御湖境再次引发市场关注!

编辑

龙湖·御湖境售楼处电话400-8787-740

两开两捷,轰动奉贤楼市!首开十亿登顶奉贤,二开热销5亿续写热销传奇,造就 8月上海全市成交套数TOP3,8月外环外成交套数TOP1,荣居五大新城销量TOP1,持续霸榜奉贤成交套数面积金额三冠王,万众瞩目的沪上红盘!这印证了龙湖御湖境强大市场号召力及硬核产品力。

编辑

龙湖·御湖境售楼处电话400-8787-740

这般奇绩,源于龙湖超级的产品力+超前的兑现力,也是征服塔尖的本质与价值。

项目基本信息

项目名称:龙湖·御湖境

项目位置:奉贤新城

总套数:364户

产品:小高层&洋房

户型:建面约107㎡、123㎡、140㎡、175㎡

得房率:78%-82%

交付标准:精装&毛坯

均价:45200元/㎡

售价:430万起

梯户比:一梯两户

容积率:2.2

绿化率:35%

车位配比:1:1.3

开发公司:龙湖集团&建华地产

交付日期:2026年12月

编辑

龙湖·御湖境售楼处电话400-8787-740

01.产品规划

御湖境,地处奉贤芯绝版宅地,占据南奉公路+金海公路黄金十字中轴,距奉贤天街直线仅约 300 米,地铁 5 号线奉贤新城站、奉贤中学、奉贤中心医院等高能级配套如众星捧月环绕。该项目占地23460㎡,总建面51611.16㎡,容积率2.2,绿化率30%,规划330户品质住宅。

编辑

龙湖·御湖境售楼处电话400-8787-740

02.建筑设计

奉贤御湖境以“馆藏”为概念,重写顶级豪宅会所的表达规则。长约54米、高约8米的「殿堂级门扉」,两侧铺陈“奢石之王”蓝翡翠,磅礴气场扑面而来。举首仰望,约 300㎡璀璨星空顶模拟出浩瀚银河的深邃意境。正面是由1286块浅米色瓷筒融合在地非遗“锔瓷”技艺打造的 艺术瓷墙

编辑

龙湖·御湖境售楼处电话400-8787-740

来到致敬金贝尔美术馆打造的 「天穹光廊」,地面由蓝翡翠+汉白玉+温德姆灰3种奢石精细切割拼花而成,长廊尽头景墙精选龙纹绿奢石,中轴对称的庄严格局,仿佛漫步博物馆。

编辑

龙湖·御湖境售楼处电话400-8787-740

现代极简建筑,米白石材与深灰金属线条相得益彰,窗墙比0.45,部分楼栋更享270°全景视野,颜值与视野双重享受。

编辑

龙湖·御湖境售楼处电话400-8787-740

编辑

龙湖·御湖境售楼处电话400-8787-740

项目对标顶奢酒店礼序,项目前瞻性地打造 「奉贤首座中央车站」,将社区地库与地下会所的接待序厅无缝衔接, 车行道+人行道区隔设计,归家不受风雨影响,指尖轻抚源自非洲的 卡里冰玉奢石,将每日必经之路升华为沉浸式美学体验。

编辑

龙湖·御湖境售楼处电话400-8787-740

深藏于建筑怀抱之中的 下沉式「琉璃光院」,是历经数十版方案淬炼出的灵魂之作。御湖境标志性 汉白玉玄月族徽,与 高10米的蓝水晶奢石光幕,共同演绎 “日月同辉”的震撼场景。庭院深处 50年乌桕树王矗立。

编辑

龙湖·御湖境售楼处电话400-8787-740

一汪深邃的 「宇宙之心」漩涡水景,灵感源自梵蒂冈博物馆举世闻名的双螺旋楼梯,模仿宇宙星系流转的宏大景象,纳藏天地万物生生不息的力量。

编辑

龙湖·御湖境售楼处电话400-8787-740

03.会所设计

御湖境斥巨资打造 约1500㎡「海派泳池会馆」——泳池会所,涵盖健身、瑜伽、社交、阅读等八大功能空间,如同一座生活的博物馆,为奉贤顶层人物提供全方位奢享!

编辑

龙湖·御湖境售楼处电话400-8787-740

编辑

龙湖·御湖境售楼处电话400-8787-740

编辑

龙湖·御湖境售楼处电话400-8787-740

「奉贤首个无边际恒温泳池」是整个会所的灵魂所在。

泳池设计以“水韵织构”为核心理念,其视觉焦点在于穹顶,连续流畅的曲面拱顶如同被风吹皱的巨大水幕,又似凝固的海浪,与下方波光粼粼的泳池水面形成上下呼应的绝妙韵律,无边泳池又与琉璃光院在视觉上无缝衔接,在乌桕树的冠盖浓荫下恣意游弋,营造出泳池与天地共呼吸的震撼体验。

编辑

龙湖·御湖境售楼处电话400-8787-740

移步 森氧无界全景健身房,顶级健身器械一应俱全。在负氧离子机创造的富氧森林般环境中挥汗如雨,欣赏着全落地窗外琉璃光院的如画景致,身心与视野同频升华,疲惫瞬间消解。

编辑

龙湖·御湖境售楼处电话400-8787-740

午后时分,邀二三挚友落座行政酒廊。暖阳斜照,在优雅的环境中洽谈要事,或细细品味一杯手冲瑰夏咖啡的精致花果香,或小酌珍藏年份的单一麦芽威士忌,琥珀色的酒液在杯中折射岁月的光芒。

编辑

龙湖·御湖境售楼处电话400-8787-740

项目推售详情

据悉, 【龙湖·御湖境】规划2栋7层洋房、5栋14 - 17层小高层 ,共348户 ,居住密度低,舒适度直线拉满。现推出107-123-140-175四种户型,共150套房源,均价54200元/㎡,正在认购中,总价430万起!

编辑

龙湖·御湖境售楼处电话400-8787-740

全套户型图如下:

编辑

龙湖·御湖境售楼处电话400-8787-740

龙湖御湖境,精装107㎡大三房,呈现跃级享受的奢华场景,打造PLUS超奢尺度,如约10.8米跃级南向采光,阔享市面120㎡户型的尺度感;约4.75m真横厅,从容聚会、开派对,大有排面,尽情摆阔。越是跃级,越是难求,精装107㎡大三房,只此最后一栋,限量34席!

编辑

龙湖·御湖境售楼处电话400-8787-740

约 123 ㎡全能四房,致献奉贤塔尖,以全能大四房的形态,重新定义实用主义天花板,约45m²LDKG客餐厨全打通,约6.4m巨幕面宽,一键切换轰趴、闺蜜局、生日宴等模式。奢配博世厨电4件套,烟机、灶具、洗碗机、蒸烤一体机,百年德系经典,经久耐用,妥妥的满分爆款!

编辑

龙湖·御湖境售楼处电话400-8787-740

编辑

龙湖·御湖境售楼处电话400-8787-740

编辑

龙湖·御湖境售楼处电话400-8787-740

编辑

龙湖·御湖境售楼处电话400-8787-740

编辑

龙湖·御湖境售楼处电话400-8787-740

编辑

龙湖·御湖境售楼处电话400-8787-740

编辑

龙湖·御湖境售楼处电话400-8787-740

编辑

龙湖·御湖境售楼处电话400-8787-740

编辑

龙湖·御湖境售楼处电话400-8787-740

编辑

龙湖·御湖境售楼处电话400-8787-740

编辑

龙湖·御湖境售楼处电话400-8787-740

约 140 ㎡超配四房洋房,奢阔双厅南北通透,还可改造成约8m巨幕宽厅,

一线进口的博士厨电四件套,约25㎡的臻奢套房主卧等高光标签,洋房更臻稀。

编辑

龙湖·御湖境售楼处电话400-8787-740

编辑

龙湖·御湖境售楼处电话400-8787-740

编辑

龙湖·御湖境售楼处电话400-8787-740

编辑

龙湖·御湖境售楼处电话400-8787-740

编辑

龙湖·御湖境售楼处电话400-8787-740

编辑

龙湖·御湖境售楼处电话400-8787-740

编辑

龙湖·御湖境售楼处电话400-8787-740

编辑

龙湖·御湖境售楼处电话400-8787-740

编辑

龙湖·御湖境售楼处电话400-8787-740

编辑

龙湖·御湖境售楼处电话400-8787-740

编辑

龙湖·御湖境售楼处电话400-8787-740

编辑

龙湖·御湖境售楼处电话400-8787-740

城芯传世孤品175㎡大平层,整个奉贤新城20-25年供应4551套新房,150㎡以上仅150套,供应占比不足3%的,每一席皆稀贵。其一宅一格局,为奉贤大人物量身定制,可谓真正的传世孤品。

项目区位配套

交通方面:主出入口与轨交奉贤新城站1号口仅300米步行距离,真正实现“出家门即入站台”的地铁房标准。这里是 上海首个三轨交汇的新城片区,分别是 5号线、15号线延伸段、南枫线,未来 30分钟可直达莘庄、前滩等城市副中心,45分钟贯通虹桥枢纽。

编辑

龙湖·御湖境售楼处电话400-8787-740

商业方面:项目东西两侧分别与 龙湖天街、新世界休闲生活广场无缝衔接,形成“商业双核驱动”格局。其中龙湖天街作为区域旗舰商业体,已引入超200家品牌,从高端餐饮到亲子教育一应俱全。这种“下楼即繁华”的配置,即便放在中环内也属稀缺资源。

编辑

龙湖·御湖境售楼处电话400-8787-740

教育方面:背靠奉贤顶级学府奉贤中学,奉贤中学附属初中、奉贤中学附属小学、金海幼儿园,幼小初高教育资源环侧

编辑

龙湖·御湖境售楼处电话400-8787-740

医疗配套:奉贤中心医院、奉贤中医医院、上海交通大学医学院附属新华医院(即将开业)、国际妇幼和平保健院奉贤分院等

编辑

龙湖·御湖境售楼处电话400-8787-740

国妇婴效果图,来源上海奉贤

样板房开放中

项目线上预约看房

售楼处电话400-8787-740

进入“龙湖·御湖境”官方预约通道

案场销售会第一时间与您联系

声明:本文由入驻焦点开放平台的作者撰写,除焦点官方账号外,观点仅代表作者本人,不代表焦点立场。