中海·云邸玖章-上海杨浦(2025中海·云邸玖章售楼中心楼盘详情)-中海·云邸玖章户型配套-小区环境-最新房价
扫描到手机,新闻随时看
扫一扫,用手机看文章
更加方便分享给朋友
中海·云邸玖章售楼处电话:400-1010-064☎️☎️
在2024年四季度的土地出让中,中海分别拿下杨浦滨江三幅地块,三个地块相距不远,预计很快就会入市!

中海·云邸玖章售楼处电话:400-1010-064☎️☎️中海杨浦区K2-04地块(定海街道134街坊)商品住宅项目规划设计方案进行公示,拟建3幢17-18高层、4幢3F别墅。
方案显示,该地块总占地面积14206㎡,容积率2.5,总建筑面积58267㎡,地上建筑面积38114.91平方米,地下建筑面积20153㎡,计容建筑面积35517㎡。
中海·云邸玖章售楼处电话:400-1010-064☎️☎️2024年10月25日,中海地产于六批次土拍中以32.1亿拿下杨浦区定海社区K204地块(定海街道134街坊)和杨浦区定海社区G2-5地块(定海街道137街坊)两宗地块,出让楼面价69158元/㎡,中小套型占比40%,装标集采价4000元/㎡。
中海·云邸玖章售楼处电话:400-1010-064☎️☎️
据此前G2-5地块的项目设计公示,拟建设1幢15F高层、1幢18F公租房,其中1#商品住宅由三个单元组成,局部架空,物业、业委会、快递柜也都集中在1层。
中海·云邸玖章售楼处电话:400-1010-064☎️☎️项目坐落于上海一江一河规划中唯一的世界级科创中心承载区——杨浦滨江,是中海地产继徐汇滨江中海领邸·玖章之后,再次延续「玖系」产品系择址观。
海的滨江概念盘很多。但仔细数数,但凡贴着江边,几分钟就能走到的项目,就那么几个,价格还都要高出一大截。项目价格暂时尚未有过多披露,但参考上海今年土拍溢价行情,笔者个人猜测项目未来售价极有可能达到15万+!
相较于同级别内环滨江段新盘价格梯度,黄浦滨江17万+/㎡、徐汇滨江20万+/㎡,中海·云邸玖章售楼处电话:400-1010-064☎️☎️当前均价11.49万/㎡的价格存在不小的优势。
中海·云邸玖章售楼处电话:400-1010-064☎️☎️是当下距离江最近的项目。直线距江岸线仅约500米,这是一个能够把滨江真正融入生活的距离,晚饭后你会很乐意去滨江遛弯、遛娃、遛狗……

北区有4栋楼,以下为北区效果图及北区景观:

北区单元门大堂效果图

中海·云邸玖章售楼处电话:400-1010-064☎️☎️

中海·云邸玖章售楼处电话:400-1010-064☎️☎️北区5号楼架空层前效果图
南区有7栋楼,以下为南区效果图及南区景观:

中海·云邸玖章售楼处电话:400-1010-064☎️☎️社区主出入口效果图

南区下沉式庭院效果图

南区架空层水晶效果图

中海·云邸玖章售楼处电话:400-1010-064☎️☎️
杨浦滨江中海玖系新著「中海·云邸玖章售楼处电话:400-1010-064☎️☎️」首开售罄!二批次最终认购234组,认购率223%,开盘热销几成定局!现场人气堪称火爆,有图有真相!
中海·云邸玖章售楼处电话:400-1010-064☎️☎️
中海·云邸玖章售楼处电话:400-1010-064☎️☎️
最新消息!杨浦滨江热盘「中海·云邸玖章售楼处电话:400-1010-064☎️☎️」至今已三开三罄!南区压轴楼王32套约148㎡4房;11月1日已过会均价12.6万/㎡!售楼处线上火热预约中!
往期南区少量约104-148㎡3-4房;总价1150万起!实景会所展示区已开放! 发现没有,中海云邸玖章南区的价格一直 在往上走,从11.49万 /㎡ → 11.66万/㎡ → 12.00万/㎡→ 12.60万/㎡,每一次推盘都是一次价值重估。
中海·云邸玖章售楼处电话:400-1010-064☎️☎️
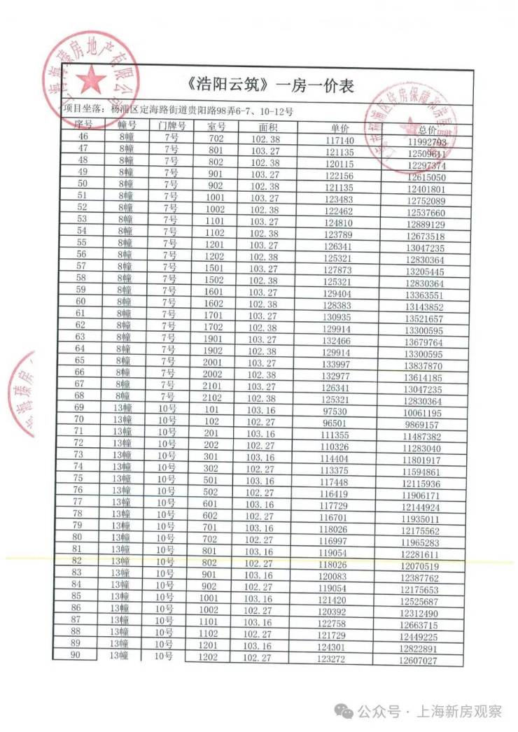
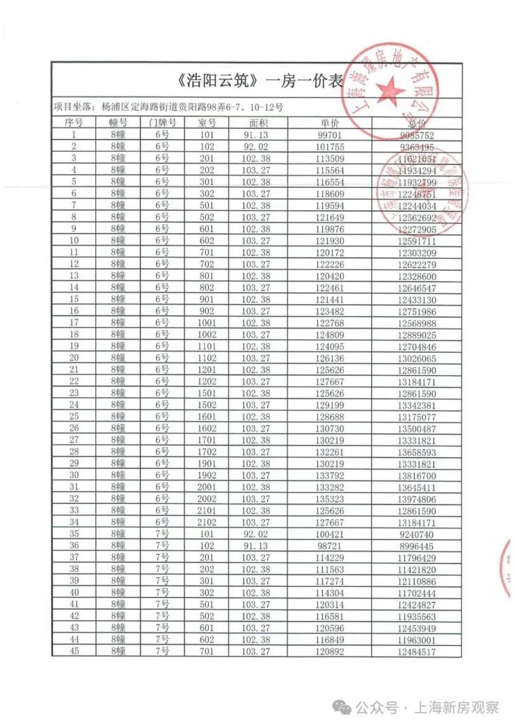
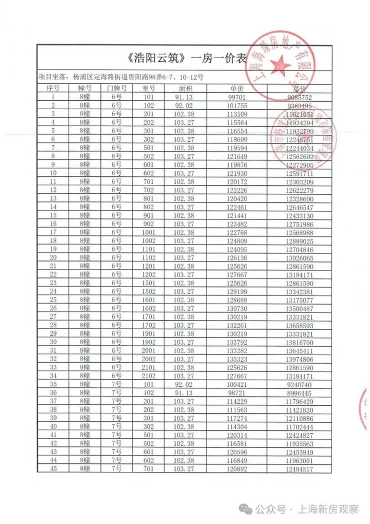
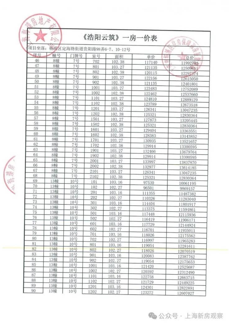
上期一房一价表如下:
中海·云邸玖章售楼处电话:400-1010-064☎️☎️
中海·云邸玖章售楼处电话:400-1010-064☎️☎️
中海·云邸玖章售楼处电话:400-1010-064☎️☎️
中海·云邸玖章售楼处电话:400-1010-064☎️☎️
项目最新户型图如下:
中海·云邸玖章售楼处电话:400-1010-064☎️☎️
样板间内部实景:104㎡户型





中海·云邸玖章售楼处电话:400-1010-064☎️☎️



再来重点看楼王7号楼,全部是建面约148㎡4房改善大户型,可以说集项目所有精华于一体。

7号楼西面就是入户大门和大堂,紧挨着下沉庭院和会所,下楼即享整个杨浦滨江独一份的豪华会所体验,对 泳池、健身房爱好者更是具备致命的吸引力!
而且7号楼一层全架空,打造的精致架空层,为业主增添归家仪式感和保障私密性的同时,也增强了日常休闲娱乐氛围。堪称 “0距离双 会所”配置!
仔细看西边这条动线,从进小区到进大门,纵览项目所有精华社区配置,来访客人必然惊叹其品质,这一条无比尊崇的归家路线当真是楼王专属!
再看楼栋南北前后,南面是一望无际的核心景观,日照视野无敌。北面同样几无遮挡,这种前后皆一往无前的配置,才配得上楼王的气质!

别急,室内还有惊喜!针对7号楼王建面约148㎡大户型,项目打造了全新样板间让尊崇再加码,预计本周末盛大开放。全 新样板间,除了原来的豪宅装标,还大量选用了 鱼肚灰、安第斯雪景、水云沙、雅柏灰...等多种名贵奢石。
比如,客厅的电视背景墙、地面、主卫、飘窗等区域选材都升级为奢石。另外,客厅沙发背景墙、卧室背景墙升级为精美皮革,木饰面升级为温润影木,室内的豪宅气质更胜往昔!
中海·云邸玖章售楼处电话:400-1010-064☎️☎️
全新楼王样板间实景谍照独家首发:


中海·云邸玖章售楼处电话:400-1010-064☎️☎️



中海·云邸玖章售楼处电话:400-1010-064☎️☎️距离江岸直线距离仅约500m,作为当下片区内离江最近的项目,享美团、B站、超级合生汇等地标综合体配套,杨浦滨江生活中心。

作为中海“玖”系豪宅之作,项目从建筑立面、社区大堂、会所、单元大堂、宅间景观等不同维度进行精研,通过考究的用材用料、松弛的场景感,为生活情境适度的留白,打造恒贵的产品质感。
与徐汇滨江中海·领邸玖章的同源会所空间,原班设计人马打造,中海·云邸玖章会所最新效果图过程稿独家首发:
中海·云邸玖章售楼处电话:400-1010-064☎️☎️
从地理上看,中海杨浦定海社区项目紧邻缦云上海,直线距离12号线隆昌路站约500米,向东是复兴岛和金滩,向南是杨浦滨江南段的众多企业总部聚集区,是近年来杨浦重点开发区域。

在上海“一江一河”的顶层设计规划中,杨浦滨江南段是50km滨江带中唯一的科创研发板块,定位世界级的科创中心。将联动北外滩-陆家嘴,形成了上海的“滨江CAZ圈”,一条千亿秀带集聚中节能、美团、哔哩哔哩总部等在内的国内外100余家知名头部企业,到2027年都将基本实现竣工。
届时杨浦滨江将至少导入20万高知人才,超30家在线新经济头部企业、超3000家在线新经济创新型企业将在此汇聚,实现超3000亿元规模产值。

中海·云邸玖章售楼处电话:400-1010-064☎️☎️就在去年5月29日,“2024年首届杨浦滨江世界未来水岸峰会”正式召开。会上就杨浦滨江的发展,作出了最权威的解读,同时,也释放出了杨浦滨江正式进入规划红利兑现期的重大信号——2-3年之内,杨浦滨江将全面建成!
杨浦滨江南段核心区正打造在线新经济的“总部秀园”,商办项目总投资额达1000亿元,总开发量约260万平方米,其中已建成项目开发量约32万平方米,未开工项目开发量约58万平方米,在建项目开发量约170万平方米。
如在建的美团上海科技中心、哔哩哔哩新世代产业园、抖音集团上海滨江中心、中交集团上海总部、中节能上海首座项目、杨浦滨江创智中心等重大项目都将于2026年底左右陆续竣工并投用。

中海·云邸玖章售楼处电话:400-1010-064☎️☎️以B站总部为例,约31万㎡的办公,其中,高150米办公楼是园内最高建筑。园区内商业面积约14万㎡,是杨浦最大的商业体之一。球体状Bili星球、广场中央橙色巨型哔哩哔哩二次元小电视IP形象为整个产业园营造活力、欢乐氛围。这将是上海为新一代年轻人提供的世界级二次元地标!

中海·云邸玖章售楼处电话:400-1010-064☎️☎️美团总部,同样拥有约6.5万方自持商业,未来也将积极引入首店和旗舰店,汇聚必吃榜、黑珍珠餐厅、全球特色美食,将成为杨浦的全新商业地标。

美团,更将带来先进的无人机配送技术,未来将在杨浦起航,覆盖办公场景、校园场景、甚至医疗运输场景!

中海·云邸玖章售楼处电话:400-1010-064☎️☎️超级合生汇,是合生商业在上海的第三座合生汇,同时也是“超极合生汇”的首个滨江高端落地项目。如果说五角场合生汇是杨浦的一颗宝石,那超级合生汇,就是杨浦的璀璨明珠!

总体量达11万平方米,将引入一批首店和全新业态,将带给消费者全新体验,为杨浦滨江消费将迎来全面升级。作为杨浦滨江重要商业节点,依托轨道交通站点,利用地下与空中连廊立体连通,历史建筑新旧融合保留百年杨浦特色,全维促进区域商业能级提升,构建世界级滨水生活街区。

更重要的是,这一座超级合生汇的重点,不仅仅是商业的招商,更是对于人的运营。这里提供的,是一个人文的空间,是除了家庭、工作、居住以外的第三空间,跑步爱好者可以在这里找到自己的跑友,广场舞爱好者同样可以在这里找到独属于自己的社群!这里,将是一个大型的社区群聚的空间。

中海·云邸玖章售楼处电话:400-1010-064☎️☎️而以上种种,在大会上都已经明确,将在2026年建成!限定世界500强企业开发的杨浦滨江,正在加速兑现!
无论是B站还是美团,都从科技、从人文、从艺术出发,先有内容筑基,再发展硬件,打造了一个不一样的滨江秀带。在整个杨浦滨江上面看到的是有很多工业的遗存,从工业的秀带如何带到缤纷的滨江秀带。
杨浦滨江独占约1/3黄浦江滨江线,滨江步道、跑道、骑行道已全线贯通,同时规划约48.5万㎡公共绿地。此外,根据规划未来将有40幢,总建面约16万㎡历史保护建筑陆续更新为城市文化艺术空间。
声明:本文由入驻焦点开放平台的作者撰写,除焦点官方账号外,观点仅代表作者本人,不代表焦点立场。
